Ôn thi Đại học môn Vật Lí có đáp án - Đề số 14
VnDoc xin giới thiệu tới bạn đọc Ôn thi Đại học môn Vật Lí có đáp án - Đề số 14. Nội dung tài liệu sẽ giúp các bạn làm bài thi trắc nghiệm Vật lý 12 hiệu quả hơn. Mời các bạn tham khảo.
Câu hỏi trắc nghiệm ôn thi Đại học môn Vật Lí đề 14
1. Câu hỏi ôn thi Đại học môn Vật Lí
Câu 1: Hiện tượng cộng hưởng xảy ra đối với một hệ dao động khi ngoại lực cưỡng bức tác dụng vào hệ
A. có biên độ đạt cực đại.
B. có biên độ không đổi.
C. biến thiên tuần hoàn với tần số nhỏ hơn tần sổ riêng của hệ.
D. có chu kì bằng chu kì dao động riêng của hệ.
Câu 2: Chu kì của dao động điều hòa là
A. khoảng thời gian vật đi từ vị trí biên âm đến vị trí biên dương.
B. thời gian ngắn nhất vật có li độ như cũ.
C. khoảng thời gian mà vật thực hiện một dao động.
D. khoảng thời gian giữa hai lần vật đi qua vị trí cân bằng.
Câu 3: Một con lắc đơn gồm sợi dây không dãn, chiều dài l và một quả cầu nhỏ khối lượng m, dao động điều hòa ở nơi có gia tốc trọng trường không đổi. Nếu cắt bớt 75% chiều dài của sợi dây và tăng khối lượng của quả cầu lên 2 lần thì tần số dao động điều hòa của con lắc
A. tăng 2 lần.
B. không thay đổi.
C. giảm 2 lần.
D. tăng 4 lần.
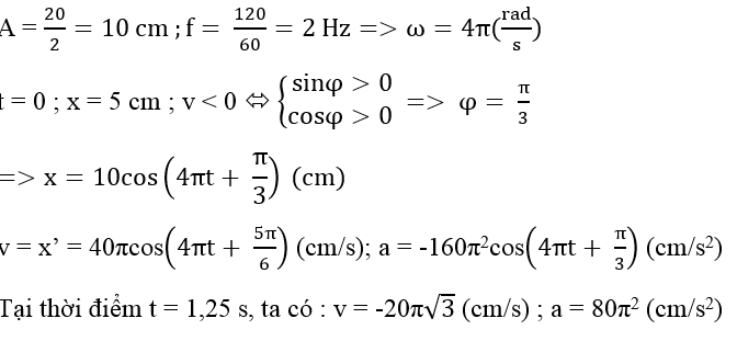
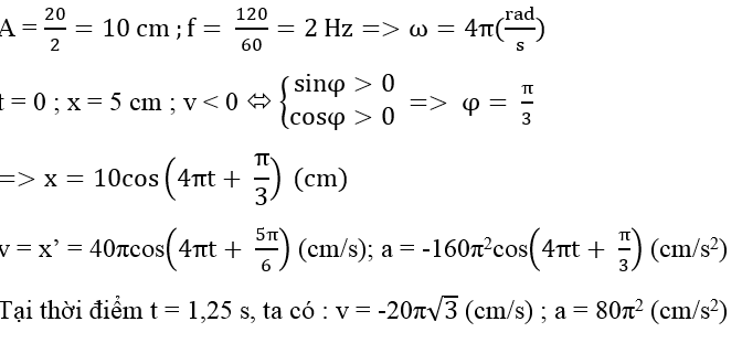
Câu 4: Một vật dao động điều hòa dọc theo đoạn thẳng có chiều dài 20 cm và thực hiện được 120 dao động trong một phút. Chọn gốc thời gian là lúc vật đi qua vị trí cố li độ 5 cm theo chiều hướng về vị trí cân bằng. Vận tốc và gia tốc của vật tại thời điểm t = 1,25 s lần lượt là
A. -20π√3 (cm/s) ; 80π2 (cm/s2).
B. 20π√3 (cm/s) ; -80π2 (cm/s2)
C. 20√3 cm/s ; 802 cm/s2.
D. -20√3 (cm/s) ; -802 (cm/s2).
Câu 5: Con lắc đơn dài l = 1 m treo vât có khối lượng m = 100 g. Kéo con lắc khỏi vị trí cân bằng đến vị trí có li độ góc ao = 45° rồi thả không vận tốc đầu. Lấy g = 10 m/s 2. Tốc độ của vật và lực căng dây tại vị trí có li độ α= 30° lần lượt là
A. 1,78 m/s; 1,18 N.
B. 17,8 m/s ; 11,8 N.
C. 3,16 m/s ; 1,18 N.
D. 3,16 m/s ; 11,8 N.
Câu 6: Một con lắc đơn có chiều dài dây treo l= 45 cm, khối lượng vật nặng là m = 100 g. Con lắc dao động tại nơi có gia tốc trọng trường g = 10 m/s2. Khi con lắc đi qua vị trí cân bằng, lực căng dây treo bằng 3 N, vận tốc của vật nặng khi đó có độ lớn là
A. 3√2 m/s.
B. 3 m/s.
C. 3√3 m/s.
D. 2 m/s.
Câu 7: Một con lắc lò xo có độ cứng k = 50 N/m được treo thẳng đứng vào điểm I cố định. Cho biết trong quá trình con lắc dao động điều hòa, lực đàn hồi tác dụng lên điểm I có độ lớn cực đại và cực tiểu lần lượt là 4 N và 1 N. Lấy mốc thế năng ở vị trí cân bằng, khi lực đàn hồi tác dụng lên điểm I có độ lớn là 3 N thì động năng của quả cầu là
A. 0,02 J.
B. 0,01 J.
C 0,15 J.
D.0,20J.
Câu 8: Sóng âm truyền trong chất rắn
A. có cả sóng dọc và sóng ngang.
B. luôn là sóng dọc.
C. luôn là sóng ngang.
D. luôn là siêu âm.
Câu 9: Một sóng cơ có tần số f, truyền trên dây đàn hồi với tốc độ truyền sóng v và bước sóng λ. Hệ thức đúng là:
A. v = λ/f
B. v = λf
C. v = f/λ
D.v = 1/λf
Câu 10: Biết cường độ âm chuẩn là Io= 10-12 w/m2. Mức cường độ âm của sóng âm có cường độ 10-5 w/m2 là
A. 70 dB.
B. 50 dB.
C. 12 dB.
D. 65 dB.
Câu 11: Tại hai điểm A, B trên mặt chất lỏng có hai nguồn sóng kết hợp, dao động cùng pha với tần số f = 60 Hz. Biết AB = 60 cm, tốc độ truyền sóng trên mặt chất lỏng là V = 4,8 m/s. M là một điểm thuộc đường trung trực của đoạn AB nằm trên mặt chất lỏng mà phần tử tại đó luôn dao động ngược pha với phần tử tại trung điểm O của AB. M cách O một khoảng nhỏ nhất là
A. 8 cm.
B. 16 cm.
C. 4 cm.
D. 6 cm.
Câu 12: Một sóng cơ truyền từ nguồn O theo chiều dương của trục Ox với bước sóng bằng 20 cm. Phương trình dao động của nguồn O là u = 5cos10πt(cm). Biết biên độ sóng truyền đi không đổi. Xét hai phần tử ở M, N nằm trên Ox, N cách M một khoảng 5 cm theo chiều dương của trục, ở thời điểm t1, li độ của phần tử ở M là 3 cm. Ở thời điểm t2 = (t1 + 0,l)(s), li độ của phần tử tại N có độ lớn là
A. 3 cm.
B. 1,5 cm.
C. 2 cm.
D. 4 cm.
Câu 13: Khi nói về đoạn mạch điện xoay chiều chỉ có điện trở thuần R, phát biểu nào dưới đây là sai?
A. Dòng điện và điện áp hai đầu điện trở cùng pha.
B. Mối liên hệ giữa cường độ dòng điện và điện áp hiệu dụng là I =U/R.
C. Hệ số công suất của đoạn mạch đạt cực đại.
D. Mạch có cộng hưởng điện
Câu 14: Công suất của đoạn mạch điện xoay chiều R, L, C được tính bằng công thức
A. P= UI.
B. P= ZI2.
C. P = ZI2cosφ
D. P = RI2cosφ.
Câu 15: Cho dòng điện xoay chiều i = Iocos(100πt – π/4) (V). Khoảng thời gian ngắn nhất kể từ thời điểm t = 0 đến lúc i đạt giá trị bằng 0 là
A. 3/400 s
B. 1/400 s
C. 1/75 s
D. 1/50 s
Câu 16: Một máy biến áp có tỉ số vòng dây giữa cuộn sơ cấp và thứ cấp là N1 = 4N2, hiệu suất 96%, nhận một công suất 10 kW ở cuộn sơ cấp. Biết điện áp hiệu dụng ở hai đầu cuộn sơ cấp là 1 kV. Nếu hệ số công suất của mạch thứ cấp là 0,8, thì cường độ dòng điện chạy trong cuộn thứ cấp là
A. 48A.
B. 40A.
C. 60A.
D. 30 A.
Câu 17: Cho mạch điện gồm điện trở thuần có giá trị R = 100 Ω, tụ điện có điện dung C = (10-4/π) (F) và cuộn cảm thuần có độ tự cảm L = 1/π(H). Đặt vào hai đầu đoạn mạch một điện áp xoay chiều u = U√2cosωt với ω biến đổi. Khi tần số góc ω biến thiên từ 50π(rad/s) đến 100π(rad/s) thì UL
A. tăng đến cực đại rồi giảm.
B. giảm đến cực tiểu rồi tăng.
C. luôn giảm.
D. luôn tăng.
Câu 18: Một động cơ điện xoay chiều có điện trở dây quấn là 50Ω mắc vào mạng điện xoay chiều có điện áp hiệu dụng 200 V. Hệ số công suất của động cơ bằng 0,9. Biết công suất toả nhiệt của động cơ bằng 20% công suất cơ của động cơ. Cường độ hiệu dụng của dòng điện chạy qua động cơ bằng
A. 0,5 A.
B. 0,72 A.
C. 0,6 A.
D. 0,4 A.
Câu 19: Đặt điện áp xoay chiều ổn định vào hai đầu đoạn mạch mắc nối tiếp gồm điện trở thuần R và tụ điện C. Điện áp tức thời giữa hai đầu R và C tại thời điếm t1 là UR = 0 V ; u C = -100 V và tại thời điểm t 2 là uC = -50 V ; UR = 50√3 V. Hệ số công suất của đoạn mạch là
A. √3/2
B. 1
C. 1/2
D. √2/2
Câu 20: Đoạn mạch gồm điện trở thuần R, cuộn cám thuần có hệ số tự cảm L và tụ điện có điện dung c mắc nối tiếp vào nguồn điện xoay chiều u = Uocosωt, trong đó Uo không đổi và tần số góc ω thay đổi được. Khi ω = ω1 = 60π√2 (rad/s) thì trong mạch có cộng hưởng điện và điện áp hiệu dụng ở hai đầu cuộn cảm bằng điện áp hiệu dụng ở hai đầu điện trở R. Để điện áp giừa hai đầu tụ điện đạt cực đại thì tần số góc của điện áp có giá trị là
A. 100π (rad/s).
B. 60π (rad/s).
C. 90π (rad/s).
D. 120π (rad/s).
Câu 21: Nguyên tắc thu sóng điện từ dựa vào
A. hiện tượng hấp thụ sóng điện từ của môi trường.
B. hiện tượng giao thoa sóng điện từ.
C. hiện tượng cộng hưởng của mạch dao động LC.
D. hiện tượng bức xạ sóng điện từ của mạch dao động hở.
Câu 22: Tại một điểm xác định bên trong một điện từ trường ờ một thời điểm bất kì, vectơ cường độ điện trường không bao giờ
A. vuông góc với vectơ cảm ứng từ.
B. dao động cùng pha với vectơ cảm ứng từ.
C. song song với vectơ cảm ứng từ.
D. vuông góc với phương truyền sóng.
Câu 23: Mạch chọn sóng của một máy thu vô tuyến điện gồm một cuộn cảm thuần có hệ số tự cảm L = 30 μH và tụ điện có điện dung c = 0,1 nF. Lấy tốc độ truyền sóng trong chân không là c = 3.108 m/s. Mạch dao động trên có thể thu sóng vô tuyến thuộc loại
A. sóng trung.
B. sóng dài.
C. sóng ngắn.
D. sóng cực ngắn.
Câu 24: Để thu được quang phổ vạch hấp thụ thì
A. nhiệt độ của đám khí hay hơi hấp thụ phải lớn hơn nhiệt độ của nguồn ánh sáng trắng.
B. nhiệt độ của đám khí hay hơi hấp thụ phải nhỏ hơn nhiệt độ của nguồn ánh sáng trắng.
C. nhiệt độ của đám khí hay hơi hấp thụ phải bằng nhiệt độ của nguồn ánh sáng trắng.
D. áp suất của đám khí hấp thụ phải rất lớn.
Câu 25: Phát biểu nào sau đây là đúng?
A. Tia hồng ngoại có tần số cao hơn tần số của tia sáng vàng.
B. Tia tử ngoại có bước sóng lớn hơn bước sóng của tia sáng đỏ.
C. Bức xạ tử ngoại có tần số cao hơn tần số của bức xạ hồng ngoại.
D. Bức xạ tử ngoại có chu kì lớn hơn chu kì của bức xạ hồng ngoại.
Câu 26: Trong một thí nghiệm về giao thoa ánh sáng. Hai khe Y-âng cách nhau 2 mm, hình ánh giao thoa được hứng trên màn cách hai khe 2 m. Sử dụng ánh sáng trắng có bước sóng từ 0,40 μm đến 0,75 μm. Trên màn quan sát thu được các dải quang phổ. Bề rộng của dải quang phổ thứ ba kể từ vân sáng trắng trung tâm là
A. 0,75 mm.
B. 0,60 mm.
C. 1,05 mm.
D. 0,85 mm.
Câu 27: Trong thí nghiệm về giao thoa ánh sáng với hai khe Y-âng, dùng đồng thời hai ánh sáng đơn sắc có bước sóng λ1 = 0,5 μm (màu lam) và λ2 = 0,4 μm (màu tím). Khoảng cách giữa hai khe a = 1 mm, khoảng cách từ mặt phẳng chứa hai khe đến màn quan sát D = 1 m. Vị trí cách vân trung tâm gần nhất có cả vân tím và vân lam là
A. 2 mm.
B. 4 mm.
C. 4,812 mm.
D. 2,46 mm.
Câu 28: Trong thí nghiệm giao thoa ánh sáng với khe Y-âng, dùng đồng thời hai bức xạ đơn sắc có bước sóng tương ứng là λ1 ,λ2, khoảng vân tương ứng của hai bức xạ thu được trên màn là i1 = 0,5 mm và i1 = 0,6 mm. số vân sáng trên màn có màu của λ2, trong vùng giao thoa rộng 15 mm đối xứng hai bên vân sáng trung tâm là
A. 18.
B. 20.
C. 22.
D. 25
Câu 29: Hiện tượng quang dẫn là
A. hiện tượng giảm mạnh điện trở của chất bán dẫn khi bị chiếu sáng.
B. hiện tượng giảm mạnh điện trở của chất bán dẫn khi giảm nhiệt độ.
C. hiện tượng giảm mạnh điện trở của chất bán dẫn khi tăng nhiệt độ.
D. hiện tượng bắn electron ra khỏi chất bán dẫn.
Câu 30: Tìm phát biểu sai về giới hạn quang điện của kim loại.
A. mỗi kim loại có một giới hạn quang điện nhất định.
B. các kim loại khác nhau thì giới hạn quang điện của chúng cũng khác nhau.
C. giới hạn quang điện phụ thuộc vào tần số của ánh sáng kích thích.
D. giới hạn quang điện của kim loại được tính theo công thức λo = hc/A.
Câu 31: Trong hiện tượng quang - phát quang, nếu ánh sáng phát quang là ánh sáng màu lục thì ánh sáng kích thích không thể là ánh sáng nào sau đây?
A. Ánh sáng cam.
B. Ánh sáng chàm.
C. Ánh sáng lam.
D. Ánh sáng tím.
Câu 32: Theo mẫu nguyên tử Bo, bán kính quỹ đạo K. của electron trong nguyên từ hidro là ro. Khi electron chuyển từ quỹ đạo L lên quỹ đạo O thì bán kính quỹ dạo tăng thêm
A. 25ro.
B. 21ro.
C. 5ro.
D. 3ro.
Câu 33: Phát biểu nào sau đây đúng?
A. Lực gây ra phóng xạ là lực đẩy tĩnh điện.
B. Tốc độ phóng xạ phụ thuộc vào điều kiện bên ngoài như áp suất, nhiệt độ.
C. Trong phóng xạ có sự bảo toàn khối lượng.
D. Phóng xạ là một dạng phản ứng hạt nhân toả năng lượng.
Câu 34: Notron nhiệt là
A. nơtron nhanh.
B. nơtron nóng.
C. nơtron chậm.
D. nơtron nguội
Câu 35: Trong các điều kiện sau đây, điều kiện nào cần đề phản ứng phân hạch dây chuyền xảy ra?
A. Hệ số nhân nơtron lớn hơn hoặc bằng l.
B. Hệ số nhân nơtron nhỏ hơn 1.
C. Hệ thống phải nằm trong trạng thái dưới hạn.
D. Toàn bộ số nơtron sinh ra đều không bị hấp thụ trở lại.
Câu 36: Lượng hạt nhân của một đồng vị phóng xạ sau 10 ngày giảm 64 lần. Lượng hạt nhân của đồng vị phóng xạ đó sẽ giảm bao nhiêu lần sau 5 ngày?
A. 32 lần.
B. 16 lần.
C. 8 lần.
D. 4 lần.
Câu 37: Cho phản ứng hạt nhân: 13T+ 12D → 24He+X
Biết độ hụt khối của hạt nhân T, hạt nhân D, hạt nhân He lần lượt là 0,009106 u ; 0,002491 u và 0,030382 u. uc =931,5 MeV. Năng lượng tỏa ra của phản ứng là
A. 15,017 MeV.
B. 17,498 MeV.
C. 200,025 MeV.
D. 21,076 Me
Câu 38: Nguyên tắc hoạt động của máy quang phổ lăng kính dựa trên hiện tượng
A. giao thoa ánh sáng.
B. tán sắc ánh sáng.
C. phản xạ ánh sáng.
D. khúc xạ ánh sáng.
Câu 39: Một sóng điện từ có chu kì T = 10 -6 s truyền theo phương thẳng đứng. Tại điểm M trên phương truyền vào thời điểm t vectơ cường độ điện trường E đang có độ lớn cực đại và hướng về phía Bắc. Vào thời điểm t tại điếm N trên phương truyền sóng cách M là 1,5 km thì vectơ cảm ứng từ B đang
A. hướng về phía Tây và có độ lớn cực đại.
B. hướng về phía Đông và có độ lớn cực đại.
C. hướng về phía Tây và có độ lớn bằng 0.
D. hướng về phía Đông và có độ lớn bằng 0.
Câu 40: Một điện tích điểm đứng yên tại điểm O trong phòng thí nghiệm. Giá trị của điện tích biến thiên theo quy luật: q = 10-6cos105 t (C). Tại điểm M cách O một khoảng r = 30 km
A. chỉ có điện trường biến thiên và EM = 105cosl05t.
B. không cỏ điện từ trượng biến thiên.
C. Chỉ có từ trường biến thiên.
D. có điện từ trường biến thiên và EM = 10-5cosl05t
2. Đáp án câu hỏi trắc nghiệm ôn thi Đại học môn Vật Lí
| Câu | 1 | 2 | 3 | 4 | 5 | 6 | 7 | 8 | 9 | 10 |
| Đáp án | D | C | A | A | A | B | A | A | B | A |
| Câu | 11 | 12 | 13 | 14 | 15 | 16 | 17 | 18 | 19 | 20 |
| Đáp án | B | D | D | C | A | A | D | B | D | B |
| Câu | 21 | 22 | 23 | 24 | 25 | 26 | 27 | 28 | 29 | 30 |
| Đáp án | C | C | A | B | C | C | A | B | A | C |
| Câu | 31 | 32 | 33 | 34 | 35 | 36 | 37 | 38 | 39 | 40 |
| Đáp án | A | B | D | C | A | C | B | B | A | D |
3. Hướng dẫn giải câu hỏi trắc nghiệm ôn thi Đại học môn Vật Lí
Câu 4:

Câu 6:

Câu 11:

Câu 17:

Câu 20:

Câu 32:
Bán kính quỹ đạo dừng rn = n2.ro . Quỹ đạo dừng L ứng với n = 2 => rL = 4ro.
Quỹ đạo dừng O ứng với n = 5 => r0 = 25ro => r0 – rL = 21ro
Câu 40:

Mời các bạn tham khảo thêm các bài viết dưới đây của chúng tôi:
- Ôn thi Đại học môn Vật Lí có đáp án - Đề số 7
- Ôn thi Đại học môn Vật Lí có đáp án - Đề số 8
- Ôn thi Đại học môn Vật Lí có đáp án - Đề số 9
- Ôn thi Đại học môn Vật Lí có đáp án - Đề số 10
- Ôn thi Đại học môn Vật Lí có đáp án - Đề số 11
- Ôn thi Đại học môn Vật Lí có đáp án - Đề số 12
- Ôn thi Đại học môn Vật Lí có đáp án - Đề số 13
Trên đây VnDoc đã giới thiệu tới các bạn Ôn thi Đại học môn Vật Lí có đáp án - Đề số 14. Để có kết quả cao hơn trong học tập, VnDoc xin giới thiệu tới các bạn học sinh tài liệu Soạn bài lớp 12, Giải bài tập Toán lớp 12, Giải bài tập Hóa học lớp 12, Giải bài tập Vật Lí 12, Tài liệu học tập lớp 12 mà VnDoc tổng hợp và đăng tải.