Ôn thi Đại học môn Vật Lí có đáp án - Đề số 8
VnDoc xin giới thiệu tới bạn đọc Ôn thi Đại học môn Vật Lí có đáp án - Đề số 8. Nội dung tài liệu sẽ giúp các bạn làm bài thi trắc nghiệm Vật lý 12 hiệu quả hơn. Mời các bạn tham khảo.
Câu hỏi trắc nghiệm ôn thi Đại học môn Vật Lí đề 8
1. Câu hỏi ôn thi Đại học môn Vật Lí
Câu 1: Một vật đang thực hiện một dao động điều hòa dưới tác dụng của một lực đàn hồi. Vật đổi chiều chuyển động vào lúc
A. Lực tác dụng đổi chiều
B. Lực tác dụng đạt giá trị cực đại
C. Lực tác dụng đạt giá trị bằng 0
D. Vận tốc của vật đạt giá trị cực đại
Câu 2: Ở cùng một nơi làm thí nghiệm, một con lắc đơn có chiều dài dây treo là l1 thì có chu kì là T1, một con lắc đơn có chiều dài dây treo là l2 thì có chu kì là T2. Hệ thức đúng là

Câu 3: Một sóng cơ truyền dọc theo trục Ox với phương trình u=2√2 cos (20πt -πx) (mm). Biên độ của sóng này tại điểm có tọa độ x bất kì là
A. 2 mm
B. 2√2 mm
C. 20π (mm)
D. π (mm)
Câu 4: Phương trình dao động điều hòa của chất điểm là x = A cos(wt +φ). Biểu thức gia tốc của chất điểm này là
A. a= -wAcos(wt + φ)
B. a= -wAcos(wt + φ)
C. a= w2Acos(wt + φ)
D. a= -w2Acos(wt + φ)
Câu 5: Một sóng cơ đang truyền trên sợi dây thì gặp một vật cản cố định. Các đại lượng đặc trưng cho sóng không thay đổi khi bị phản xạ là
A. tần số sóng và hướng truyền sóng
B. tốc độ sóng và cường độ sóng
C. biên độ và pha của sóng
D. chu kì và pha của sóng
Câu 6: Một sóng cơ truyền dọc theo trục Ox có phương trình u=Acos(πt-πx) với x tính bằng mét. Bước sóng của sóng này bằng
A. 2m
B. 4m
C. πm
D. 2πm
Câu 7: Trong đoạn mạch xoay chiều gồm điện trở, cuộn cảm thuần và tụ điện mắc nối tiếp thì
A. Điện áp giữa hai đầu tụ điện trễ pha so với cường độ dòng điện trong đoạn mạch
B. Điện áp giữa hai đầu tụ điện ngược pha với điện áp giữa hai đầu đoạn mạch
C. Điện áp giữa hai đầu cuộn cảm trễ pha so với điện áp giữa hai đầu đoạn mạch
D. Điện áp giữa hai đầu cuộn cảm cùng pha với điện áp giữa hai đầu tụ điện
Câu 8: Một máy phát điện xoay chiều một pha có roto gồm 4 cặp cực từ. Muốn tần số dòng điện do máy phát ra là 50Hz thì roto phải quay với tốc độ bao nhiêu vòng /phút
A. 3000
B. 1500
C. 750
D. 500
Câu 9: Phát biểu nào sau đây là đúng với mạch điện xoay chiều chỉ chứa tụ điện
A. Cường độ dòng điện sớm pha hơn điện áp góc π/2
B. Cường độ dòng điện sớm pha hơn điện áp góc π/4
C. Cường độ dòng điện trễ pha hơn điện áp góc π/2
D. Cường độ dòng điện trễ pha hơn điện áp góc π/4
Câu 10: Tần số dao động của năng lượng điện trường trong tụ điện của một mạch dao động LC lí tưởng là

Câu 11: Dao động điện từ trong mạch LC là quá trình
A. Biến đổi không tuần hoàn của điện tích trên tụ điện
B. Biến đổi theo hàm số mũ của chuyển động
C. Chuyển hóa tuần hoàn giữa năng lượng từ trường và năng lượng điện trường
D. Bảo toàn hiệu điện thế giữa hai bản cực tụ điện
Câu 12: Trong mạch dao động LC đang có dao động điện từ tự do với tần số góc 104 rad/s. Điện tích cực đại của một bản tụ điện là 10-9C. Khi cường độ dòng điện trong mạch bằng 6.10-6A thì điện tích của bản tụ điện đó là
A. 2.10-10C
B. 4.10-10C
C. 6.10-10C
D. 8.10-10C
Câu 13: Một người đứng trước cách nguồn âm điểm S một đoạn d. Nguồn này phát sóng cầu. Coi môi trường không hấp thụ âm. Khi người đó đi lại gần nguồn âm thêm 50m thì thấy cường độ âm tăng lên gấp đôi. Khoảng cách d xấp xỉ bằng
A. 221m
B. 22,5m
C. 171m
D. 29,3m
Câu 14: Tìm phát biểu sai. Hai sóng cùng tần số và dao động điều hòa cùng phương được gọi là sóng kết hợp nếu có
A. Cùng biên độ và cùng pha
B. Cùng biên độ và hiệu số pha không đổi theo thời gian
C. Hiệu biên độ không đổi theo thời gian
D. Hiệu số pha không đổi theo thời gian
Câu 15: Chiếu xiên góc một tia sáng hẹp gồm bức xạ đơn sắc đỏ, lam, tím đi từ không khí vào nước. Gọi rd, rl, rt lần lượt là góc khúc xạ ứng với tia đỏ, lam, tím. Các góc này sắp xếp theo thứ tự giảm dần là
A. rt, rl, rd
B. rd, rl, rt
C. rt, rd, rl
D. rl, rt, rd
Câu 16: Nguyên tử hidro đang ở trạng thái cơ bản, sau khi bị kích thích nó phát ra ánh sáng có tối đa ba vạch quang phổ. Electron trong nguyên tử hidro đã chuyển sang quỹ đạo ứng với n bằng
A. 5
B. 4
C. 2
D. 3
Câu 17: Giới hạn quang điện của kim loại natri là 0,58μm. Hiện tượng quang điện không xảy ra khi chiếu vào kim loại đó
A. Bức xạ màu đỏ
B. Tia tử ngoại
C. Tia Rơn-ghen
D. Bức xạ màu tím
Câu 18: Trong các ánh sáng đơn sắc sau đây, ánh sáng nào có khả năng gây ra hiện tượng quang điện mạnh nhất
A. Ánh sáng tím
B. Ánh sáng lam
C. Ánh sáng đỏ
D. Ánh sáng lục
Câu 19: Đồng vị là các nguyên tử mà hạt nhân của chúng
A. Có số khối A bằng nhau
B. Có cùng số proton và khác số nơtron
C. Có khối lượng bằng nhau
D. Có cùng số nơtron và khác số proton
Câu 20: Phạm vi tác dụng của lực hạt nhân cỡ
A. 10-15m
B. 10-12m
C. 10-10m
D. 10-8m
Câu 21: Bản chất của lực tương tác giữa các nucleon trong hạt nhân là
A. Lực tĩnh điện
B. Lực hấp dẫn
C. Lực điện từ
D. Lực tương tác mạnh
Câu 22: Cho khối lượng của hạt nhân 107Ag là 106,8783u; của notron là 1,0087 ul của proton là 1,0073u. Độ hụt khối của hạt nhân Ag là
A. 0,6868u
B. 0,6986u
C. 0,9868u
D. 0,9686u
Câu 23: Chiếu một tia sáng trắng hẹp từ trong nước ra không khí. Trong chùm tia ló ra khỏi mặt nước, tia sáng nằm gần mặt phân cách giữa hai môi trường nhất là
A. Tia sáng lục
B. Tia sáng đỏ
C. Tia sáng tím
D. Tia sáng trắng
Câu 24: Ở những vùng hoang vu trên thế giới để liên lạc với nhau, người ta thường dùng điện thoại vệ tinh. Thiết bị đó sử dụng loại sóng vô tuyến nào sau đây để liên lạc
A. Sóng cực ngắn
B. Sóng ngắn
C. Sóng dài
D. Sóng trùng
Câu 25: Dao động cơ học là
A. chuyển động tuần hoàn quanh một vị trí cân bằng.
B. chuyển động lặp lại nhiều lần quanh vị trí cân bằng.
C. chuyển động đung đưa nhiều lần quanh vị trí cân bằng.
D. chuyển động thẳng biến đổi quanh một vị trí cân bằng.
Câu 26: Một vật dao đông điều hòa trên trục Ox. Tốc độ trung bình của vật trong một nửa chu kì dao động là 20cm/s. Tốc độ cực đại của vật là
A. 62,8 cm/s
B. 28,8 cm/s
C. 31,4 cm/s
D. 57,6 cm/s
Câu 27: Một vật nhỏ dao động điều hòa cứ sau thời gian T thì lại có một lần động năng của vật bằng một nửa giá trị cực đại của nó. Tần số dao động của vật nhỏ là
A. π/2T
B. π/T
C. 1/4T
D. 1/2T
Câu 28: Con lắc đơn có độ dài l, vật nặng có khối lượng m=0,2kg, được treo ở điểm l tại nơi có gia tốc trọng trường g. Kích thước để vật dao động với biên độ góc ao =60o khi qua vị trí cân bằng, dây bị vướng vào một chiếc đinh nhô ra tại điểm I’. Đoạn I’I nhỏ nhất để sau khi vướng đinh, vật có thể quay tròn quanh điểm I’ là
A. 0,6l
B. 0,2l
C. 0,4l
D. 0,8l
Câu 29: Một sợi dây căng giữa hai điểm cố định cách nhau 75cm. Người ta tạo sóng dừng trên dây. Hai tần số gần nhau nhất cùng tạo ra sóng dừng trên dây là 150Hz và 200Hz. Tốc độ truyền sóng trên dây đó bằng
A. 75 m/s
B. 300m/s
C. 225m/s
D. 50m/s
Câu 30: Giả thiết sóng cơ có tần số f= 5 Hz, truyền đi với biên độ không đổi trên bề mặt chất lỏng. Tại thời điểm t, các điểm M, N, P, E, F là năm điểm liên tiếp trên cùng phương truyền sóng dao động với li độ có độ lớn bằng nhau và khác 0. Khoảng cách giữa hai điểm ngoài cùng có vị trí cân bằng cách nhau MF =20cm. Tốc độ truyền sóng là
A. 120 cm/s
B. 50cm/s
C. 100cm/s
D. 200cm/s
Câu 31: Đoạn mạch AB gồm đoạn mạch AM mắc nối tiếp với đoạn mạch MB. Trong đó đoạn mạch AM chỉ chứa cuộn cảm thuần, đoạn mạch MB có một biến trở R mắc nối tiếp với một tụ điện có điện dung thay đổi được. Đặt vào hai đầu đoạn mạch AB một điện áp xoay chiều u=U√2 cos wt (V). Điều chỉnh điện dung của tụ điện sao cho điện áp hiệu dụng của đoạn mạch MB không phụ thuộc vào giá trị của biến trở R. Điện áp hiệu dụng trên đoạn mạch MB lúc đó là
A. U
B. 2U
C. U/2
D. U√2
Câu 32: Đặt điện áp u=240cos2πft (V) (tần số f thay đổi được) vào hai đầu một đoạn mạch gồm điện trở 120Ω nối tiếm với một tụ điện có điện dung 10-3/12π (F), Điểu chỉnh tần số f để cường độ dòng điện hiệu dụng chạy qua đoạn mạch bằng 1A. Giá trị của f bằng
A. 200 Hz
B. 100Hz
C. 50Hz
D. 25Hz
Câu 33: Một đoạn mạch AB gồm điện trở thuần R, cuộn cảm thuần và tụ điện nối tiếp. Điện áp hiệu dụng trên các phần tử trên lần lượt là 40V, 35V, 75V. Khi điện áp trên điện trở R cực đại thì điện áp giữa hai đầu đoạn mạch là
A. 80V
B. 40√2
C. 40V
D. 20V
Câu 34: Cho đoạn mạch R, L, C mắc nối tiếp. Đặt vào hai đầu đoạn mạch điện áp xoay chiều có giá trị hiệu dụng không đổi. Dùng ampe kế mắc nối tiếp vào đoạn mạch để đo cường độ dòng điện, khi đó số chỉ ampe kế là 2A. Dùng một dây dẫn có điện trở r rất nhỏ nối tắt tụ điện C thì số chỉ ampe kế cũng là 2A, vẫn dung dậy đó nối tắt đoạn mạch chứa L,C thì số chỉ ampe kế là 2,5A. Khi dùng dây này nối tắt hai đầu cuộn cả thuần L thì ampe kế chỉ
A. 13/√5 A
B. √5/13 A
C. 5/√13 A
D. √13A
Câu 35: Cho mạch điện xoay chiều có R, L, C mắc nối tiếp cuộn cảm thuần có L=1/π (H), tụ điện có điện dung C =10-4/2 π (F) . Khi đặt vào giữa hai đầu mạch điện áp xoay chiều u= Uocos100 πt (V) thì cường độ dòng điện qua đoạn mạch lệch pha với điện áp góc π/6. Điện trở R có giá trị bằng
A. 100/√3 Ω
B. 100√3 Ω
C. 100Ω
D. 50Ω
Câu 36: Trong thí nghiệm Y-âng về giao thoa ánh sáng đơn sắc, khoảng vân trên màn 1,2mm. Trên màn, trong khoảng giữa hai điểm M và N ở cùng một phái so với vân sáng trung tâm, cách vân trung tâm lần lượt 2mm và 4,5mm có
A. 2 vân sáng và 2 vân tối
B. 3 vân sáng và 2 vân tối
C. 2 vân sáng và 3 vân tối
D. 3 vân sáng và 3 vân tối
Câu 37: Trong thí nghiệm giao thoa ánh sáng với khe Y-âng, nguồn sáng S gồm hai thành phần đơn sắc có bước sóng λ1 =0,6μm và λ2 = 0,4 μm. Trong khoảng từ vân trung tâm đến vân sáng cùng màu gần nhất có tổng số vân sáng là
A. 2
B. 3
C. 4
D. 5
Câu 38: Chiếu một chùm bức xạ tử ngoại có bước sóng 0,36 μm vào một chất thì thấy chất này phát quang ra ánh sáng có bước sóng 0,6 μm. Biết công suất của ánh sáng phát quang bằng 1/1000 công suất của chùm tử ngoại chiếu vào. Tỉ số giữa số photon phát quang với số photon chiếu vào chất ấy trong 1s là
A. 1/300
B. 1/400
C. 1/600
D. 1/900
Câu 39: Một mẫu chất phóng xạ có chu kì bán rã 2 ngày, gồm 6,4.1011 hạt nhân nguyên tử. Một mẫu chất phóng xạ khác, có chu kì bán rã 3 ngày, gồm 8.1010 hạt nhân nguyên tử. Thời gian để số hạt nhân nguyên tử chưa phóng xạ của hai mẫu đó bằng nhau là
A. 18 ngày
B. 9 ngày
C. 4,5 ngày
D. 36 ngày
Câu 40: Trong dao động điều hoà, phát biểu nào sau đây là không đúng.
A. Cứ sau một khoảng thời gian T thì vật lại trở về vị trí ban đầu.
B. Cứ sau một khoảng thời gian T thì vận tốc của vật lại trở về giá trị ban đầu.
C. Cứ sau một khoảng thời gian T thì gia tốc của vật lại trở về giá trị ban đầu.
D. Cứ sau một khoảng thời gian T thì biên độ vật lại trở về giá trị ban đầu.
2. Đáp án câu hỏi trắc nghiệm ôn thi Đại học môn Vật Lí
| Câu | 1 | 2 | 3 | 4 | 5 | 6 | 7 | 8 | 9 | 10 |
| Đáp án | B | B | B | D | B | A | A | C | A | A |
| Câu | 11 | 12 | 13 | 14 | 15 | 16 | 17 | 18 | 19 | 20 |
| Đáp án | C | D | C | C | B | D | A | A | B | A |
| Câu | 21 | 22 | 23 | 24 | 25 | 26 | 27 | 28 | 29 | 30 |
| Đáp án | D | C | C | A | B | C | C | D | A | C |
| Câu | 31 | 32 | 33 | 34 | 35 | 36 | 37 | 38 | 39 | 40 |
| Đáp án | A | C | C | C | B | A | B | C | A | D |
3. Hướng dẫn giải câu hỏi trắc nghiệm ôn thi Đại học môn Vật Lí
Câu 26:
vTB = 4A / T
Vmax = wA = 2πA/T = πvTB/2 = 3,14.20/2 = 31,4 cm/s
Câu 27:
Khi Wd = 1/2 Wđ max thì v= ±vmax /√2
Từ giản đồ hình vẽ => chu kì dao động là 4T tần số dao động là 1/4T

Câu 28:

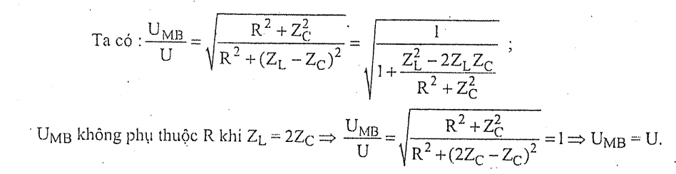
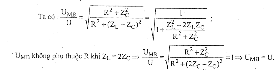
Câu 31:

Câu 32:

Câu 35:

Câu 36:
Vị trí vân sáng : x = ki => 2mm ≤ ki ≤4,5 => 1,6 ≤ k ≤ 3,8
K={2,3} có 2 vân sáng
Vị trí vân tối: x = (k+0,5) I => 2mm ≤(k+0,5)I ≤ 4,5 => 1,1≤ k ≤ 3,3
K={2,3} có 2 vân tối
Câu 37:
Tại vị trí đầu tiên hai vân sáng trùng nhau
ta có x1 = x2 hay k1 λ1 = k2 λ2
k1/k2 = 0,4/0,6 = 2/3 => k1 =2 : k2 =3
Trong khoảng từ vân trung tâm đến vân sáng cùng màu gần nhất có : 2 -1 = 1 vân sáng của λ1 ; 3-1 =2 vân sáng của λ2
Vậy tổng số vân sáng là 3
Câu 39:

Mời các bạn tham khảo thêm các bài viết dưới đây của chúng tôi:
- Phương pháp làm bài thi trắc nghiệm môn Vật lí
- Ôn thi Đại học môn Vật Lí có đáp án - Đề số 1
- Ôn thi Đại học môn Vật Lí có đáp án - Đề số 2
- Ôn thi Đại học môn Vật Lí có đáp án - Đề số 3
- Ôn thi Đại học môn Vật Lí có đáp án - Đề số 4
- Ôn thi Đại học môn Vật Lí có đáp án - Đề số 5
- Ôn thi Đại học môn Vật Lí có đáp án - Đề số 6
- Ôn thi Đại học môn Vật Lí có đáp án - Đề số 7
Trên đây VnDoc đã giới thiệu tới các bạn Ôn thi Đại học môn Vật Lí có đáp án - Đề số 8. Để có kết quả cao hơn trong học tập, VnDoc xin giới thiệu tới các bạn học sinh tài liệu Soạn bài lớp 12, Giải bài tập Toán lớp 12, Giải bài tập Hóa học lớp 12, Giải bài tập Vật Lí 12, Tài liệu học tập lớp 12 mà VnDoc tổng hợp và đăng tải.