Ôn thi Đại học môn Vật Lí có đáp án - Đề số 10
VnDoc xin giới thiệu tới bạn đọc Ôn thi Đại học môn Vật Lí có đáp án - Đề số 10. Nội dung tài liệu sẽ giúp các bạn làm bài thi trắc nghiệm Vật lý 12 hiệu quả hơn. Mời các bạn tham khảo.
Câu hỏi trắc nghiệm ôn thi Đại học môn Vật Lí đề 10
1. Câu hỏi ôn thi Đại học môn Vật Lí
Câu 1: Chu kì dao động của con lắc lò xo phụ thuộc vào
A. gia tốc rơi tự do
B. Biên độ của dao động
C. Điều kiện kích thích ban đầu.
D. Khối lượng của vật năng
Câu 2: Một vật nhỏ dao động điều hòa theo trục cố định Ox. Phát biểu nào sau đây đúng?
A. Quỹ đạp chuyển động của vật là một đường hình sin.
B. Lực kéo về tác dụng vào vật không đổi
C. Quỹ đạo chuyển động của vật là một đoạn thẳng
D. Li độ của vật tỉ lệ với thời gian dao động
Câu 3: Một chất điểm dao động điều hòa với biên độ A. Biết khoảng thời gian giữa ba lần liên tiếp chất điểm đi qua vị trị nằm cách vị trí cân bằng một khoảng thời gian bằng a (0 < a < A) là 0,2 s. Chu kì của dao động là:
A. 0,4 s.
B. 0,2s
C. 0,6s
D. 0,5s
Câu 4: Xét sóng truyền trên một sợi dây đàn hồi dài vô hạn với bước sóng λ thì khoảng cách giữa hai gợn sóng lồi kề nhau là :
A. λ/4
B. λ/2
C. λ
D. Không xác định
Câu 5: Độ cao của âm phụ thuộc vào
A. Cường độ âm
B. Đồ thị âm
C. Mức cường độ âm
D. Tần số âm
Câu 6: Sóng cơ có tần số 50 Hz truyền trong một môi trường với tốc độ 80 m/s. Ở cùng một thời điểm, hai điểm gần nhau nhất trên một phương truyền sóng dao động cùng pha cách nhau một đoạn.
A. 1,6 m
B. 2,4m
C. 3,2m
D. 0,8m
Câu 7: Một đoạn mạch xoay chiều gồm một cuộn dây và một tụ điện mắc nối tiếp. Biết điện áp hiệu dụng hai đầu đoạn mạch, hai đầu cuộn dây, hai đầu tụ điện đều bằng nhau. Hệ số công suất của đoạn mạch là
A. 0,866
B. 0,5
C. 0,25
D. 0,707
Câu 8: Trong một đoạn mạch xoay chiều, cường độ dòng điện luôn trễ pha so với điện áp hai đầu đoạn mạch khi đoạn mạch
A. Chỉ có C.
B. Có R và C mắc nối tiếp
C. Có L và C mắc nối tiếp
D. Có R và L mắc nối tiếp
Câu 9: Cảm kháng của cuộn dây giảm khi
A. Điện áp hiệu dụng hai đầu đoạn mạch giảm
B. Tần số dòng điện qua cuộn dây giảm
C. Điện trở thuần của cuộn dây giảm
D. Cuộn dây thuần cảm.
Câu 10: Tất cả các sóng điện từ đều truyền được trong
A. Nước
B. Chân không
C. Thủy tinh
D. Kim loại
Câu 11: Dao động điện tử trong mạch dao động là một dòng điện xoay chiều có
A. Tần số rất lớn
B. Cường độ rất lớn
C. Hiệu điện thế rất lớn
D. Chu kì rất lớn
Câu 12: Trong dao động điện từ với chu kì T của mạch LC, năng lượng từ trường trên cuộn dây biến thiên tuần hoàn với chu kì
A. T/2
B. T
C. 2T
D. Không điều hòa
Câu 13: Quang phổ vạch hấp thụ là
A. Quang phổ gồm những vạch màu riêng biệt trên một nền tối
B. Quang phổ gồm những vạch màu biến đổi liên tục
C. Quang phổ gồm những vạch tối trên nền quang phổ liên tục
D. Quang phổ gồm những vạch tối trên nền sáng
Câu 14: Thí nghiệm có thể sử dụng để đo bước sóng ánh sáng là thí nghiệm
A. Tán sắc ánh sáng của Niu-tơn
B. Tổng hợp ánh sáng trắng
C. Giao thoa với khe Y-âng
D. Về áng sáng đơn sắc
Câu 15: Trong thí nghiệm giao thoa ánh sáng với khe Y-âng, biết D = 1 m , a = 1 mm, khoảng cách từ vân sáng thứ 4 đến vân sáng thứ 10 ở cùng một phía so với vân trung tâm là 3,6 mm. Bước sóng của ánh sáng được dùng trong thí nghiệm là
A. 0,44 μm
B. 0,52 μm
C. 0,60 μm
D. 0,58 μm
Câu 16: Giới hạn quang điện của khi loại phụ thuộc vào
A. Năng lượng của phôtôn chiếu tới kim loại
B. Động năng ban đầu của êlectron khi bật ra khỏi kim loại
C. Bản chất của kim loại
D. Bước sóng của ánh sáng chiếu vào kim loại
Câu 17: Trong các tia sau, tia nào thể hiện tính chất hạt (lượng tử ) rõ nhất ?
A. Tia hồng ngoại
B. Tia tử ngoại
C. Tia gamma
D. Tia X.
Câu 18: Giới hạn quang điện của một kim loại là λo = 0,6 μm. Công thoát của kim loại đó là
A. 3,31.10-18 J.
B. 20,7 eV.
C. 2,07 eV.
D. 3,31.10-20J
Câu 19: Lực hạt nhân chỉ tác dụng khi khoảng cách giữa hai nuclôn
A. Bằng kích thước nguyên tử
B. Lớn hơn kích thước nguyên tử
C. Rất nhỏ (khoảng vài mm).
D. Bằng hoặc nhỏ hơn kích thước của hạt nhân
Câu 20: Để đánh giá độ bền vững của các hạt nhân nguyên tử người ta dựa vào
A. Số khối A của hạt nhân
B. Năng lượng liên kết riêng của hạt nhân
C. Năng lượng liên kết của hạt nhân
D. Độ hụt khối của hạt nhân
Câu 21: Phóng xạ và phân hạch hạt nhân đều
A. Có sự hấp thụ nơtron chậm.
B. Đều là phản ứng hạt nhân thu năng lượng
C. Đều không phải là phản ứng hạt nhân
D. Đều là phản ứng hạt nhân tỏa năng lượng
Câu 22: 
A. 2,2.105
B. 1,2.1025
C. 3,01.1023
D. 4,4.1025
Câu 23: Tia tử ngoại được phát ra rất mạnh từ nguồn
A. Hồ quang điện
B. Lò sưởi điện
C. Lò vi sóng
D. Màn hình vô tuyến
Câu 24: Một rada phát một xung sóng điện từ về phía chiếc máy bay đang bay thẳng, đều về phía rada và thu được sóng phản xạ trở lại sau khoảng thời gian Δt = 2.10-4s tính từ lúc phát ra. Biết tốc độ truyền sóng c = 3.108 m/s. Khoảng cách từ máy bay đến rada vào thời điểm sóng điện từ phản xạ từ máy bay là
A. 30 km
B. 60km
C. 15km
D. 45km
Câu 25: Một vật dao động điều hòa theo phương trình x = Acos(2πt/T+ π), vận tốc của vật có độ lớn cực đại tại thời điểm
A. t = 0,25T
B. t = 0,5T
C. t = 0,6T
D. t = 0,8T
Câu 26: Một con lắc đơn khi treo thẳng đứng tại nơi có gia tốc rơi tự do g thì dao động nhỏ với chu kì T = 1 s. Cho con lăc đơn dao động nhỏ trên mặt nghiên 30o không ma sát (Hình vẽ) tại chính nơi đó thì chu kì của nó bằng
A. 1 s.
B. 1/2s
C. √2 s
D. √3/2 s.
Câu 27: Con lắc lò xo nằm ngang có khối lượng m = 250 g. Từ vị trí cân bằng, kéo vật đến vị trí lò xo dãn 4 cm rồi buông không vận tốc đầu để nó dao động điều hòa với cơ năng 0,08 J. Chọn gốc thời gian là lúc bắt đầu dao động, chiều dương là chiều kéo vật. Cường độ lớn nhất, nhỏ nhất của lực kéo về lần lượt là
A. 4 N ; 0
B. 4 N ; 2 N
C. 2 N ; 0
D. 3 N ; 1,5 N
Câu 28: Một vật đang dao động điều hòa dọc theo đường thẳng. Một điểm M nằm trên đường thẳng đó, phía ngoài khoảng chuyển động của vật, tại thời điểm t thì vật xa điểm M nhất, sau một khoảng thời gian ngắn nhất là Δt thì vật gần điểm M nhất. Độ lớn vận tốc vật sẽ đạt được cực đại vào thời điểm:
A. t + Δt
B. 0,5(t + Δt)
C. 0,5t và 0,25Δt
D. t + Δt/2
Câu 29: Một sợi dây thép treo thẳng đứng, đầu trên cố định, đầu dưới tự do. Dùng một nam châm điện có tần só 25Hz để kích thích dao động của dây thì thấy trên dây có sóng dừng với 9 bụng sóng. Cắt ngắn bớt sợi dây 21 cm thì trên dây chỉ con 6 bụng sóng. Coi tốc độ truyền sóng trên dây không đổi. Tốc độ bằng
A. 7 m/s
B. 3,5m/s
C. 21m/s
D. 700m/s
Câu 30: Hai nguồn kết hợp A, B cách nhau 10 cm dao động theo phương trình u = Acos100πt trên mặt thoáng của thủy ngân, coi biên độ không đổi. Xét về một phía đường trung trực của AB ta thấy vân bậc k đi qua điểm M có MA – MB = 1 cm và vân bậc (k + 5) cùng tính chất dao động với vân bậc k đi qua điểm N có NA – NB = 3 cm. Tốc độ truyền sóng trên mặt thủy ngân là
A. 10 cm/s
B. 20cm/s
C. 30 cm/s
D. 40cm/s
Câu 31: Một máy phát điện xoay chiều một pha có 4 cặp cực từ. Khi từ thông qua mạch là 0,4 Wb thì suất điện động máy phát là 100π (V), còn khi từ thông qua mạch là 2 Wb thì suất điện động máy phát là 20π (V). Tốc độ quay của rôto là
A. 600 vòng/phút
B. 750 vòng/phút
C. 20 vòng/phút
D. 375 vòng/phút
Câu 32: Biểu thức của điện áp giữa hai đầu đoạn mạch chỉ chứa tụ điện có điện dung C = 31,8 μF là: u = 80cos(100πt+ π/6) (V). Biểu thức cường độ dòng điện qua đoạn mạch là:
A. i = 0,8√2cos(100πt- π/2)(A)
B. i = 0,8cos(100πt+ 2π/3)(A)
C. i = 0,8cos(100πt- π/3)(A)
D. i = 0,8cos(100πt+ π/2)(A)
Câu 33: Một dòng điện I phụ thuộc thời gian t(s) theo quy luật sau: dòng điện có cường độ 3 A vào các thời điểm 4k (s) ≤ t ≤ (4k + 3), k là số nguyên không âm, dòng điện có cường độ -√5A vào các thời điểm (4k + 3)(s) ≤ t ≤ (4k + 4) (s). Cường độ dòng điện hiệu dụng chạy trong đoạn mạch này là
A. 4√2 A.
B. 0,76A
C. 5,23A
D. 2√2 A
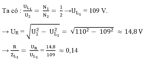
Câu 34: Một máy biến áp có số vòng cuộn sơ cấp và thứ cấp là N1 = 1500 vòng, N2 = 3000 vòng. Điện áp hiệu dụng của cuộn sơ cấp là U1 = 110 V và cuộn thứ cấp khi để hở là U2 = 218 V. Tỉ số giữa điện trở thuần và cảm kháng của cuộn sơ cấp là
A. 2
B. 0,14
C. 1,98
D. 0,5
Câu 35: Một đoạn mạch có R, L, C mắc nối tiếp, cuộn cảm thuần có độ tự cảm L = 2 H, tụ điện có điện dung C = 2 μF và điện trở thuần R được mắc với một nguồn điện xoay chiều có tần số thay đổi được nhưng biên độ của điện áp không đổi. Điều kiện để trong khi tăng tần số, thì điện áp hiệu dụng giữa hai bản tụ ban đầu tăng và sau đó sẽ giảm là:
A. R = 3000 Ω
B. R = 1000√3 Ω
C. R < 103√2 Ω
D. R > 103√2 Ω
Câu 36: Trong thí nghiệm Y-âng về giao thoa ánh sáng với ánh sáng đơn sắc có bước sóng λ, khoảng cách giữa hai khe a = 2 mm. Vân giao thoa được quan sát một kính lúp có tiêu cự 5 cm, đặt cách mặt phẳng chứa hai khe một khoảng L = 85 cm. Một người có mắt bình thường đặt mắt sát kính lúp và quan sát hệ vân trong trạng thái không điều tiết thì thấy góc trông khoảng vân là 15’. Bước sóng của ánh sáng là
A. 0,62 μm
B. 0,50 μm
C. 0,58 μm
D. 0,45 μm
Câu 37: Trong thí nghiệm Y-âng về giao thoa ánh sáng, khoảng cách giữa hai khe a = 1 mm, khoảng cách từ hai khe đến màn quan sát D = 2 m, khoảng cách giữa ba vân giao thoa liên tiếp (gồm cả vân sáng và vân tối) đo được trên màn là 0,92 mm, biết c = 3.108 m. Tần số của ánh sáng đơn sắc dùng trong thí nghiệm là
A. 13.1015 Hz
B. 5,9.1014 Hz
C. 7,2.1014 Hz
D. 6,5.1014 Hz
Câu 38: Chiếu ánh sáng đơn sắc có bước sóng 0,3 μm vào một chất thì thấy có hiện tượng phát quang. Cho biết công suất của chùm sáng phát quang chỉ bằng 0,5% công suất của chùm sáng kích thích và cứ 300 phôtôn ánh sáng kích thích cho 2 phôtôn ánh sáng phát quang. Bước sóng ánh sáng phát quang là
A. 0,5 μm
B. 0,4 μm
C. 0,48 μm
D. 0,6 μm
Câu 39: Một đồng hồ quả lắc (quả lắc được coi như con lắc đơn) có dây treo làm bằng vật liệu có hệ số nở dài α = 1,8.10-5 K-1. Biết đồng hồ chạy đúng giờ khi đặt trên mặt đất ở nhiệt độ t = 20oC. Đưa đồng hồ lên đỉnh núi có nhiệt độ t’ = -5oC và ở độ cao h so với mặt đát thấy đồng hồ vẫn chạy đúng giờ. Coi bán kính Trái Đất là 6400 km. Độ cao của đỉnh núi là
A. 2,88 km
B. 1,4km
C. 2,3km
D. 1,15km
Câu 40: Một dòng hạt α có động năng 5,3 MeV va chạm với bia chứa các hạt nhân 9Be, tạo ra hạt 12C và một nơtron, năng lượng của phản ứng là 5,7 MeV. Các nơtron bay vuông góc với phương chuyển động của hạt α có động năng bằng
A. 8,52 MeV
B. 8,4 MeV
C. 9,71 MeV
D. 9,54 MeV
2. Đáp án câu hỏi trắc nghiệm ôn thi Đại học môn Vật Lí
| Câu | 1 | 2 | 3 | 4 | 5 | 6 | 7 | 8 | 9 | 10 |
| Đáp án | D | A | B | B | D | D | C | C | D | B |
| Câu | 11 | 12 | 13 | 14 | 15 | 16 | 17 | 18 | 19 | 20 |
| Đáp án | D | A | A | A | A | D | D | B | A | B |
| Câu | 21 | 22 | 23 | 24 | 25 | 26 | 27 | 28 | 29 | 30 |
| Đáp án | B | A | B | C | C | B | D | A | D | D |
| Câu | 31 | 32 | 33 | 34 | 35 | 36 | 37 | 38 | 39 | 40 |
| Đáp án | C | C | B | C | A | C | B | C | B | A |
3. Hướng dẫn giải câu hỏi trắc nghiệm ôn thi Đại học môn Vật Lí
Câu 25:
Vận tốc có độ lớn cực đại khi x = 0 hay cos(2πt/T+ π) = 0
Giải phương trình, ta được: t = 0,25T
Câu 26:

Câu 27:

Câu 28:
Vật đại tới Vmax khi đi tới trung điểm O của đoạn PQ.
Từ hình vẽ ta thấy, nếu thời gian để vật đi từ P tới Q là Δt thì thời gian để vật đi từ P tới O là Δt/2. Vậy vật đạt tới vmax vào thời điểm: t + Δt/2
Câu 29:
Ta có: fsóng = 2fđiện = 50 Hz.
Dây ngắn bớt 3 bụng sóng nên:
3λ/2 = 21 cm → λ = 14 cm → v = λf = 7 m/s
Câu 30:

Câu 31:

Câu 32:

Câu 34:

Câu 35:

Câu 39:

Câu 40:

Mời các bạn tham khảo thêm các bài viết dưới đây của chúng tôi:
- Phương pháp làm bài thi trắc nghiệm môn Vật lí
- Ôn thi Đại học môn Vật Lí có đáp án - Đề số 1
- Ôn thi Đại học môn Vật Lí có đáp án - Đề số 2
- Ôn thi Đại học môn Vật Lí có đáp án - Đề số 3
- Ôn thi Đại học môn Vật Lí có đáp án - Đề số 4
- Ôn thi Đại học môn Vật Lí có đáp án - Đề số 5
- Ôn thi Đại học môn Vật Lí có đáp án - Đề số 6
- Ôn thi Đại học môn Vật Lí có đáp án - Đề số 7
- Ôn thi Đại học môn Vật Lí có đáp án - Đề số 8
- Ôn thi Đại học môn Vật Lí có đáp án - Đề số 9
Trên đây VnDoc đã giới thiệu tới các bạn Ôn thi Đại học môn Vật Lí có đáp án - Đề số 10. Để có kết quả cao hơn trong học tập, VnDoc xin giới thiệu tới các bạn học sinh tài liệu Soạn bài lớp 12, Giải bài tập Toán lớp 12, Giải bài tập Hóa học lớp 12, Giải bài tập Vật Lí 12, Tài liệu học tập lớp 12 mà VnDoc tổng hợp và đăng tải.