Ôn thi Đại học môn Vật Lí có đáp án - Đề số 13
VnDoc xin giới thiệu tới bạn đọc Ôn thi Đại học môn Vật Lí có đáp án - Đề số 13. Nội dung tài liệu sẽ giúp các bạn làm bài thi trắc nghiệm Vật lý 12 hiệu quả hơn. Mời các bạn tham khảo.
Câu hỏi trắc nghiệm ôn thi Đại học môn Vật Lí đề 13
1. Câu hỏi ôn thi Đại học môn Vật Lí
Câu 1: Cơ năng của một con lắc lò xo tỉ lệ thuận với
A. li độ dao động.
B. biên độ dao động.
C. bình phương biên độ dao động.
D. tần số dao động.
Câu 2: Trong một dao động điều hòa, lấy mốc thế năng là vị trí cân bằng, đại lượng tỉ lệ thuận với tần số dao động là
A. tốc độ cực đại.
B. gia tốc cực đại.
C. lực kéo về cực đại.
D. cơ năng.
Câu 3: Một con lắc lò xo dao động điều hoà theo phương thẳng đứng, trong quá trình dao động của vật lò xo có chiều dài biển thiên từ 20 cm đến 28 cm. Biên độ dao động của vật là
A. 8 cm.
B. 24 cm.
C. 4 cm.
D. 2 cm.
Câu 4: Trên mặt nước có hai nguồn kết hợp dao động ngược pha A và B. Những điểm năm trên đường trung trực của đoạn AB trên mặt nước sẽ
A. dao động với biên độ cực đại.
B. dao động với biên độ cực tiểu.
C. dao động với biên độ trung bình.
D. đứng yên, không dao động.
Câu 5: Trên một sợi dây đàn hồi đang có sóng dừng với bước sóng là X. Khoảng cách giữa hai điểm nút gần nhau nhất là
A. λ/2
B. λ/4
C. λ/3
D. λ
Câu 6: Công thức nào dưới đây nêu không đúng mối liên hệ giữa các đại lượng đặc trưng
A. v = λ/T
B. fT = 1
C. f = v/λ
D. ω = 2π/f
Câu 7: Đoạn mạch xoay chiều có cường độ dòng điện tức thời cùng pha với điện áp ở hai đầu của đoạn mạch, đoạn mạch này
A. chứa điện trở thuần.
B. chứa tụ điện.
C. chứa cuộn thuần cảm.
D. gồm tụ điện nối tiếp với cuộn cảm thuần.
Câu 8: Tổng trở của đoạn mạch RLC nối tiếp
A. bằng tổng đại số điện trở, cảm kháng và dung kháng của đoạn mạch.
B. không thể nhỏ hơn cảm kháng của đoạn mạch.
C. không thể nhỏ hơn dung kháng của đoạn mạch.
D. không thể nhỏ hơn điện trở thuần của đoạn mạch.
Câu 9: Một đoạn mạch nổi tiếp gồm điện trở thuần R = 40√3 Ω, cuộn dây thuần cảm có hệ số tự cảm L = (4/5π) (H), tụ điện có điện dung C = (10-3/4π) (F). Mắc đoạn mạch vào điện áp xoay chiều có tần số 50 Hz thì tổng trở của đoạn mạch là
A. 80 Ω.
B. 60 Ω
C. 100 Ω.
D. 120 Ω
Câu 10: Sóng điện từ được ứng dụng trong thông tin liên lạc ở môi trường nước là
A. sóng dài.
B. sóng trung.
C. sóng ngắn.
D. sóng cực ngắn.
Câu 11: Để thông tin liên lạc giữa các phi hành gia trên tàu vũ trụ bay quanh Trái Đất với trạm điều hành dưới mặt đất, người ta thường sử dụng sóng vô tuyến có bước sóng trong khoảng
A. 100 - 1000 (m)
B. 50 - 100 (m)
C. 100 - 10 (m)
D. 10 - 0,01 (m)
Câu 12: Sóng điện từ và sóng cơ không có chung tính chất
A. truyền được trong chân không.
B. mang năng lượng.
C. khúc xạ.
D. phản xạ.
Câu 13: Bức xạ có tác dụng chữa bệnh còi xương là
A. tia tử ngoại.
B. tia hồng ngoại.
C. tia X.
D. ánh sáng đơn sắc màu tím.
Câu 14: Trạng thái cơ bản của nguyên từ hiđrô là trạng thái dừng
A. có năng lượng lớn nhất.
B. có năng lượng nhỏ nhất.
C. mà electron chuyển động quanh hạt nhân với bán kính quỹ đạo lớn nhất.
D. mà electron có tốc độ nhỏ nhất.
Câu 15: Trong thí nghiệm Y-âng về giao thoa ánh sáng, vân sáng bậc 4 xuất hiện ở trên màn quan sát mà hiệu đường đi của ánh sáng từ hai nguồn tới vị trí đó bằng 2,4 μm. Bước sóng của ánh sáng dùng trong thí nghiệm là
A. 0,6 μm.
B. 0,7 μm.
C. 0,4 μm.
D. 0,5 μm.
Câu 16: Phôtôn có năng lượng 3,6 eV ứng với bức xạ thuộc vùng
A. tử ngoại.
B. hồng ngoại.
C. tia X.
D. sóng vô tuyến.
Câu 17: Theo thuyết lượng tử ánh sáng, phát biểu nào sau đây không đúng?
A. Các phôtôn bay dọc theo tia sáng với tốc độ 3.10 8 m/s.
B. Các phôtôn của cùng một ánh sáng đơn sắc thì mang năng lượng giống nhau.
C. Phôtôn chỉ tồn tại trong trạng thái chuyển động.
D. Khi ánh sáng truyền đi xa, năng lượng của các phôtôn vẫn không thay đổi.
Câu 18: Biết giới hạn quang điện của nhôm là 360 nm, công thoát êlectron của đồng lớn gấp 1,2 lần công thoát electron của nhôm. Giới hạn quang điện của đồng là
A. 300 nm.
B. 430 nm.
C. 270 nm.
D 360 nm.
Câu 19: Năng lượng liên kết riêng
A. giống nhau với mọi hạt nhân.
B. lớn nhất với các hạt nhân nhẹ.
C. lớn nhất với các hạt nhân trung bình.
D. lớn nhất với các hạt nhân nặng.
Câu 20: Hiện nay, lượng cacbon 14 trên bề mặt Trái Đất
A. thường xuyên giảm vì bị phóng xạ.
B. thường xuyên tăng.
C. hầu như không đổi.
D. có độ phóng xạ ngày càng giảm.
Câu 21: Trong nguyên tử hiđrô, khi êlectron chuyển từ quỹ đạo dừng L lên quỹ đạo dừng X thì lực điện giữa electron và hạt nhân giảm 4 lần. số lượng tử của quỹ đạo X là
A. 4
B. 3
C. 5
D. 6
Câu 22: Trong quá trình phóng xạ của một số chất, số hạt nhân phóng xạ
A. giảm đều theo thời gian.
B. không giảm.
C. giảm theo quy luật hàm bậc hai của thời gian.
D. giảm theo quy luật hàm số mũ.
Câu 23: Cơ thể con người ở nhiệt độ 37o C có thể phát ra những bức xạ
A. hồng ngoại.
B. tử ngoại.
C. tia X.
D. nhìn thấy.
Câu 24: Chiếu chùm ánh sáng hẹp đơn sắc song song màu vàng theo phương vuông góc với mặt bên của một lăng kính thì tia ló đi là là trên mặt bên thứ hai của lăng kính. Nếu thay chùm ánh sáng trên bằng chùm sáng gồm ba ánh sáng đơn sắc: đỏ, chàm và tím thì các tia ló ra khỏi lăng kính ở mặt bên thứ hai
A. chỉ là tia đỏ.
B. gồm tia chàm và tím.
C. chỉ là tia tím.
D. gồm tia đỏ và tím.
Câu 25: Một con lắc lò xo treo thẳng đứng vào điểm I cố định, quả cầu có khối lượng 200 g. Con lắc dao động điều hoà theo phương trình: y = 5cos20t(cm) với t tính theo giây. Lấy g = 10 m/s2. Lực đàn hồi do lò xo tác dụng lên điểm I có độ lớn cực đại và cực tiểu lần lượt là
A. 6 N ; 0 N.
B. 3N; 0N.
C. 3 N ; 1 N.
D. 6 N ; 3 N.
Câu 26: Một con lắc lò xo đặt trên một giá đỡ nằm ngang nhẵn. Biết quả cầu có khối lượng m1 = 300 g. Kéo quả cầu dọc theo trục lò xo đến vị trí lò xo nén 5 cm rồi thả nhẹ cho con lắc dao động. Khi đến vị trí cân bằng quả cầu va chạm đàn hồi xuyên tâm với quả cầu có khối lượng m2= 100 g đang đứng yên ở đó. Sau va chạm con lắc tiếp tục dao động điều hòa với tốc độ cực đại là 30 cm/s. Độ cứng của lò xo là
A. 43,2 N/m.
B. 40N/m.
C. 10,8 N/m.
D. 20N/m.
Câu 27: Hai con lắc đơn có chiều dài dây treo như nhau, cùng đặt trong một điện trường đều có phương nằm ngang. Quả nặng của con lắc thứ nhất không tích điện và có chu kì dao động nhỏ là T. Quả nặng của con lắc thứ hai được tích điện, khi nằm cân bằng thì dây treo của con lắc này tạo với phương thẳng đứng một góc a = 60°. Chu kì dao động nhỏ của con lắc thứ hai là
A. 4 cm
B. 6cm
C. 8cm
D. 10cm
Câu 28: Một vật dao động theo phương trình x = 10cos(5πt/3+ π/2), với x đo bằng cm, t đo bằng s. Quãng đường đi được của vật từ lúc t = 0 đến t = 2,3 s là
A. 30 cm.
B. 60 cm.
C. 35 cm.
D. 75 cm.
Câu 29: Tại hai điểm A, B trên mặt chất lỏng có hai nguồn sóng kết hợp, dao động đồng pha với tần số f = 80 Hz. Biết AB = L = 30 cm, tốc độ truyền sóng trên mặt chất lỏng là V = 6,4 m/s. M là một điểm thuộc đường trung trực của đoạn AB nằm trên mặt chất lỏng mà phần tử tại đó luôn dao động vuông pha với phần tử tại trung điểm 0 của AB. M cách O một khoảng nhỏ nhất là
A. 4 cm.
B. 6 cm.
C. 8 cm.
D. 10 cm.
Câu 30: Trong thí nghiệm giao thoa sóng gây bởi hai nguồn kết hợp A, B dao động theo phương trình: uA=acosωt; uB=acos(ωt+ π/2) với bước sóng λ. Biết phương dao động vuông góc với phương truyền sóng và hiệu đường đi của các sóng từ hai nguồn A, B đến hai điểm C, D lần lượt là: ΔdC = AC - BC = -4λ ; ΔdD = AC - BC = 7λ. Số điểm trên đoạn CD có cực đại giao thoa là
A. 7
B. 6
C. 10
D. 11
Câu 31: Điện năng được truyền từ nơi phát đến nơi tiêu thụ bằng đường dây tải điện một pha với hiệu suất truyền tải là 90%. Nếu công suất sử dụng điện của khu dân cư này tăng 2 lần và giữ nguyên điện áp ở nơi phát thì hiệu suất truyền tải điện năng trên chính đường dây đó là bao nhiêu? Coi hao phí điện năng chỉ do toả nhiệt trên đường dây và không vượt quá 30% công suất truyền đi.
A. 85,5%.
B. 67,5%.
C. 23,5%.
D. 76,5%.
Câu 32: Một đoạn mạch điện gồm điện trở thuần, tụ điện và cuộn dây thuần cảm (có độ tự cảm thay đổi được) mắc nối tiếp. Đặt vào hai đầu đoạn mạch một điện áp xoay chiều u = 220√2cosωt (V). Điều chỉnh độ tự cảm sao cho điện áp hiệu dụng ở hai đầu cuộn cảm đạt cực đại. Khi đó điện áp hiệu dụng giữa hai bản tụ và giữa hai đầu điện trở bằng nhau. Điện áp hiệu dụng ở hai đầu cuộn cảm là
A. 220√2 V.
B. 220 V.
C. 22 V.
D. 22√2 V.
Câu 33: Đặt vào hai đầu một đoạn mạch có R, L, C mắc nối tiếp một điện áp xoay chiều u = Uo cos(ωt+ π/2) thì cường độ dòng điện trong mạch là i = Io cos(ωt+ π/3). Đoạn mạch này có:
A. ZC- ZL= R√3
B. ZL- ZC= R√3
C. ZL- ZC= R/√3
D. ZC- ZLL= R/√3
Câu 34: Một đoạn mạch gồm cuộn dây có điện trở r, độ tự cảm L, nói tiếp với tụ điện C rồi được mắc vào một điện áp xoay chiều. Cường độ hiệu dụng của dòng điện qua đoạn mạch I = 0,5 A. Điện áp hiệu dụng giữa hai đầu đoạn mạch, giữa hai đầu cuộn dây và giữa hai bản tụ điện lần lượt là 17 V, 10 V, 21 V. Hệ số công suất của cuộn dây có giá trị gần giá trị nào nhất dưới đây?
A. 0,2.
B. 0,4.
C. 0,5.
D. 0,8.
Câu 35: Một động cơ điện xoay chiều một pha được mắc vào điện áp u =220√2cos100πt (V) thì cường độ dòng điện tức thời trong mạch là i = 2,2√2cos(100πt- π/6) (A). Điện năng do động cơ tiêu thụ trong thời gian 24 giờ có giá trị gần với giá trị nào nhất dưới đây?
A. 10 kW.h.
B. 20 kw.h.
C. 15 kw.h.
D. 7,5 kw.h.
Câu 36: Trong một thí nghiệm Y-âng, hai khe cách nhau một khoảng a. Khi khoảng cách giữa mặt phẳng hai khe và màn quan sát là D thì khoảng vân đo được là 2 mm. Bước sóng của bức xạ dùng trong thí nghiệm λ = 0,54 μm. Nếu dịch chuyển màn ra xa thêm 30 cm thì đo được khoảng vân là 2,3 mm. Khoảng cách giữa hai khe là
A. 0,54 mm.
B. 0,36 mm.
C. 2,7 mm.
D. 1,8 mm.
Câu 37: Sóng mang của đài phát thanh có tần số 600 kHz ; cho c = 3.108 m/s. Khoảng cách từ đài phát đến máy thu là 100 km. số bước sóng trong đoạn đường từ đài phát đến máy thu là
A. 200λ
B. 500 λ.
C. 100 λ.
D. 20 λ
Câu 38: Nguyên tử hiđrô ở trạng thái cơ bản hấp thụ một phôtôn có năng lượng thích hợp, chuyển lên trạng thái kích thích. Bán kính quỹ đạo dừng của electron tăng lên 25 lần. Số các bức xạ tối đa mà nguyên tử có thể phát ra là
A. 6.
B. 12.
C. 8.
D. 10.
Câu 39: Công suất của lò phản ứng hạt nhân trên một tàu phá băng là 18 MW. Nguyên liệu urani đã làm giàu chứa 25% 235U. Biết một hạt nhân 3 U khi phân hạch toả ra năng lượng Q = 3,2.10-11J. Cho số A-vô-ga-đrô NA = 6,02.1023 mol1. Khối lượng nhiên liệu cần thiết để tàu hoạt động liên tục trong 60 ngày là
A. 4553,2 g.
B 5164,4 g
C. 4952,3 g.
D. 3841,7 g.
Câu 40: Có bốn bạn học sinh thực hành đo gia tốc trọng trường nhờ đo chu kì dao động của con lắc đơn. Chiều dài con lắc đơn của các bạn lần lượt là l1= 1,2 m, l2= 0,9 m, l3= 2,0 m, và l4= 1,5 m. Để con lắc dao động điều hoà, các bạn đều kéo quả cầu của con lăc lệch qua khỏi vị trí cân bằng một cung có độ dài bằng nhau. Kết quả đo của bạn có độ chính xác lớn nhất là
A. bạn thứ ba.
B. bạn thứ nhất.
C. bạn thứ hai.
D. bạn thứ tư.
2. Đáp án câu hỏi trắc nghiệm ôn thi Đại học môn Vật Lí
| Câu | 1 | 2 | 3 | 4 | 5 | 6 | 7 | 8 | 9 | 10 |
| Đáp án | C | A | C | B | A | D | A | D | A | A |
| Câu | 11 | 12 | 13 | 14 | 15 | 16 | 17 | 18 | 19 | 20 |
| Đáp án | D | A | A | B | A | A | A | A | C | C |
| Câu | 21 | 22 | 23 | 24 | 25 | 26 | 27 | 28 | 29 | 30 |
| Đáp án | A | D | A | A | A | A | B | D | C | D |
| Câu | 31 | 32 | 33 | 34 | 35 | 36 | 37 | 38 | 39 | 40 |
| Đáp án | D | A | C | C | A | A | A | D | A | A |
3. Hướng dẫn giải câu hỏi trắc nghiệm ôn thi Đại học môn Vật Lí
Câu 25:

Câu 26:

Câu 27:

Câu 29:

Câu 31:

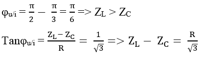
Câu 33:

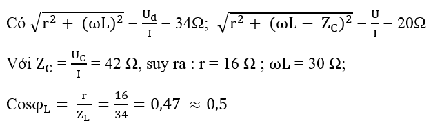
Câu 34:

Câu 39:
Bán kính quỹ đạo dừng rn = n2r0 mà rn = 25r0 => n = 5 => các nguyên tử hidro chuyển lên mức năng lượng E5. Khi chuyển về các mức năng lượng thấp hơn số các bức xạ tối đa mà nguyên tử có thể phát ra là 10.
Câu 40:

Mời các bạn tham khảo thêm các bài viết dưới đây của chúng tôi:
- Ôn thi Đại học môn Vật Lí có đáp án - Đề số 5
- Ôn thi Đại học môn Vật Lí có đáp án - Đề số 6
- Ôn thi Đại học môn Vật Lí có đáp án - Đề số 7
- Ôn thi Đại học môn Vật Lí có đáp án - Đề số 8
- Ôn thi Đại học môn Vật Lí có đáp án - Đề số 9
- Ôn thi Đại học môn Vật Lí có đáp án - Đề số 10
- Ôn thi Đại học môn Vật Lí có đáp án - Đề số 11
- Ôn thi Đại học môn Vật Lí có đáp án - Đề số 12
Trên đây VnDoc đã giới thiệu tới các bạn Ôn thi Đại học môn Vật Lí có đáp án - Đề số 13. Để có kết quả cao hơn trong học tập, VnDoc xin giới thiệu tới các bạn học sinh tài liệu Soạn bài lớp 12, Giải bài tập Toán lớp 12, Giải bài tập Hóa học lớp 12, Giải bài tập Vật Lí 12, Tài liệu học tập lớp 12 mà VnDoc tổng hợp và đăng tải.