Ôn thi Đại học môn Vật Lí có đáp án - Đề số 12
VnDoc xin giới thiệu tới bạn đọc Ôn thi Đại học môn Vật Lí có đáp án - Đề số 12. Nội dung tài liệu sẽ giúp các bạn làm bài thi trắc nghiệm Vật lý 12 hiệu quả hơn. Mời các bạn tham khảo.
Câu hỏi trắc nghiệm ôn thi Đại học môn Vật Lí đề 12
1. Câu hỏi ôn thi Đại học môn Vật Lí
Câu 1: Hai dao động điều hòa cùng phương, cùng chu kì, có biên độ lần lượt là A1, A2, độ lệch pha là Δφ. Biểu thức của biên độ của dao động tổng hợp là:

Câu 2: Một vật đang thực hiện một giao động điều hòa. Tìm phát biểu sai
A. Vận tốc của vật đổi chiều khi gia tốc của vật đạt giá trị cực đại
B. Gia tốc của vật đổi chiều khi vận tốc của vật đạt giá trị bằng 0
C. Gia tốc của vật bằng 0 khi vận tốc đạt giá trị cực đại
D. Vận tốc và gia tốc của vật không bao giờ cùng đạt cực đại hoặc cùng bằng 0
Câu 3: Một con lắc lò xo gồm một lò xo có độ cứng không đổi. Khi khối lượng quả nặng là m thì tần số dao động là 1Hz. Khi khối lượng quả nặng là 2m thì tần số là
A. 2 Hz
B. √2 Hz
C. 1/√2 Hz
D. 0,5Hz
Câu 4: Kết luận nào sau đây là sai khi nói về sóng cơ?
A. Khi gặp vật cản cố định, sóng phản xạ ngược pha với sóng tới ở điểm phản xạ
B. Sóng ngang có thể truyền được trong chất rắn và chất lỏng
C. Khi gặp vật cản tự do, sóng phản xạ cùng pha với sóng tới ở điểm phản xạ
D. Sóng có các phân tử môi trường dao động theo phương trùng với phương truyền sóng là sóng dọc
Câu 5: Trên một sợi dây dài căng ngang có sóng tới và sóng phản xạ truyền đi với bước sóng λ và biên độ a không đổi. Tại M cách điểm sóng bị phản xạ một khoảng d, biên độ của sóng tổng hợp tạo bởi sự giao thoa của sóng tới và một sóng phản xạ là
A. 2asinπd/λ
B. asinπd/λ
C. 2asin2πd/λ
D. 4asin2πd/λ
Câu 6: Phát biểu nào dưới đây không đúng đối với sóng cơ?
A. Có tính tuần hoàn theo không gian
B. Có tính tuần hoàn theo thời gian
C. Tốc độ truyền pha dao động biến thiên tuần hoàn theo thời gian và theo không gian
D. Li độ của sóng phụ thuộc tọa độ các điểm trong miền có sóng truyền tới
Câu 7: Phát biểu nào sau đây là sai khi nói về máy biến áp?
A. Máy biến áp là một thiết bị cho phép biến đổi điện áp của dòng điện một chiều
B. Máy biến áp có các cuộn sơ cấp và thứ cấp
C. Máy biến áp hoạt động dựa trên hiện tượng cảm ứng điện từ
D. Tần số của dòng điện trong các cuộn sơ cấp và thứ cấp bằng nhau
Câu 8: Một máy phát điện xoay chiều một pha có p cặp cực và roto quay với tốc độ n vòng/giây, tần số của suất điện động trong máy là
A. f = n/p
B. f = np
C. f = np/60
D. f = p/n
Câu 9: Đặt điện áp u = 200√2cos100πt (V) vào hai đầu đoạn mạch mắc nối tiếp gồm điện trở 100 Ω và cuộn cảm thuần có độ tự cảm 1/π (H). Biểu thức cường độ dòng điện trong đoạn mạch là
A. i = 2√2cos(100πt+ π/4) (A)
B. i = 2cos(100πt- π/4) (A)
C. i = 2cos(100πt+ π/4) (A)
D. i = 2√2cos(100πt- π/4) (A)
Câu 10: Trong mạch dao động LC lí tưởng, năng lượng điện trường biến thiên tuần hoàn cùng tần số với
A. năng lượng từ trường
B. dòng điện trong mạch
C. năng lượng điện trường
D. điện tích trên một bản tụ
Câu 11: Trong mạch dao động điện từ LC với cuộn day có điện trở R. Sự tắt dần nhanh hay chậm phụ thuộc vào
A. tần số dao động riêng của mạch
B. điện trở R của cuộn dây
C. điện dung C
D. độ tự cảm L
Câu 12: Một đài phát thanh sử dụng phương pháp biến điệu biên độ để trộn dao động âm tần với dao động cao tần. Điện trường của sóng do anten của đài phát thanh phát ra có dạng E = Acos(104πt)cos(2.106πt + π/2) (V/m), với A là hằng số, t tính bằng giây. Tần số của dao động âm tần được sóng điện từ mang đi là
A. 5000 Hz
B. 5000kHz
C. 1000Hz
D. 1000KHz
Câu 13: Mạch chọn sóng của một máy thu vô tuyến điện gồm tụ điện có điện dung C = 1 nF và cuộn cảm có độ tự cảm L = 100 μH. Lấy π2 = 10. Bước sóng điện từ mà mạch thu được bằng
A. 600 m
B. 300m
C. 3000m
D. 1000m
Câu 14: Tìm phát biểu sai về đặc điểm của tia laze
A. Có tính đơn sắc cao
B. Là chùm sáng kết hợp
C. Có tần số lớn
D. Là chùm sáng song song
Câu 15: Hiện tượng quang học được sử dụng trong máy phân tích quang phổ là hiện tượng
A. Khúc xạ ánh sáng
B. Phản xạ ánh sáng
C. Tán sắc ánh sáng
D. Giao thoa ánh sáng
Câu 16: Tìm phát biểu sai
A. Chỉ có ánh sáng mới có tính chất sóng
B. Ánh sáng vừa có tính chất sóng, vừa có tính chất hạt
C. Ánh sáng được tạo thành bởi các hạt gọi là photon
D. Ánh sáng có bản chất sóng điện từ
Câu 17: Nguyên tử hidro ở trạng thái cơ bản có mức năng lượng -13,6 eV. Để chuyển lên trạng thái dừng có mức năng lượng -3,4 eV thì nó phải hấp thụ một photon có năng lượng là
A. -10,2 eV
B. -17eV
C. 10,2eV
D. 4eV
Câu 18: Một đám nguyên tử hidro ở trạng thái kích thích thứ ba. Số bức xạ không nhìn thấy được mà đám nguyên tử hidro phát ra nhiều nhất là
A. 6
B. 4
C. 3
D. 2
Câu 19: Trong phản ứng phân hạch, phần lớn năng lượng giải phóng ngay khi phân hạch dưới dạng
A. Động năng của các mảnh
B. Động năng của các electron
C. Đông năng của các notron phát ra
D. Động năng của các notrino
Câu 20: eV/c2 là đơn vị của
A. Năng lượng
B. Công
C. Hiệu điện thế
D. Khối lượng
Câu 21: Trong vật lí hạt nhân, đơn vị nào sau đây không phải là đơn vị năng lượng?
A. eV
B. MeV
C. MeV/c2
D. J
Câu 22: 
A. y = 8
B. y = 6
C. y = 5
D. y = 4
Câu 23: Trong thí nghiệm giao thoa ánh sáng với khe Y-âng. Tại vị trí cách vân sáng trung tâm 4,5 mm, thu được vân tối thứ 5. Vân sáng bậc 4 cách vân trung tâm một khoảng
A. 3,6 mm
B. 4mm
C. 2,8mm
D. 5mm
Câu 24: Công thức nào sau đây dùng để xác định vị trí vân sáng trên màn?

Câu 25: Một chất điểm thực hiện đồng thời hai dao động cùng phương theo các phương trình: x1= acosωt. Vận tốc cực đại của chất điểm gần nhất với giá trị nào dưới đây?
A. vmax ≈ 2,7aω
B. vmax ≈ 1,7aω
C. vmax ≈ 1,5aω
D. vmax ≈ 2,3aω
Câu 26: Một chất điểm dao động điều hòa với chu kì T và biên độ bằng 8 cm. Biết rằng trong một chu kì, khoảng thời gian để vận tốc có độ lớn vượt quá 2π(m/s) là 2T/3. Chu kì dao động của chất điểm là
A. 0,08 s
B. 0,04s
C. 0,03s
D. 0,015s
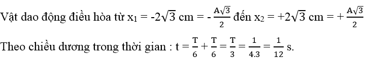
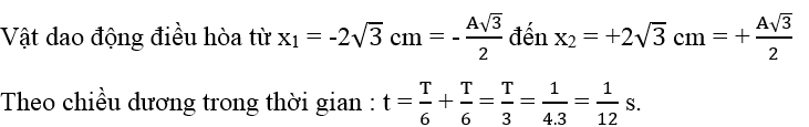
Câu 27: Vật dao động điều hòa theo phương trình: x = 4cos(8πt – π/6) (cm). Thời gian ngắn nhất vật đi từ vị trí có li độ x1 = -2√3 cm theo chiều dương đến vị trí có li độ x2 = +2√3 cm theo chiều dương là
A. 1/16 s
B. 1/12s
C. 1/10s
D. 1/20s
Câu 28: Một con lắc lò xo nằm ngang, gồm lò xo có độ cứng k = 20 N/m và vật nhỏ có khối lượng m = 200 g, dao động trên mặt phẳng ngang với hệ số ma sát μ = 0,1. Đúng thời điểm t = 0, người ta kéo vật hướng theo trục của lò xo cho đến khi lò xo dãn Δl = 5 cm thì buông cho dao động, lấy g = 10 m/s 2. Thời điểm vật tới vị trí lò co không bị biến dạng lần thứ hai (tính theo đơn vị s) là
A. 0,1π
B. 0,15π
C. π/6
D. π/12
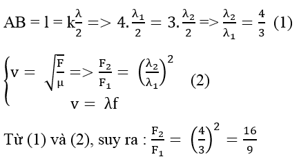
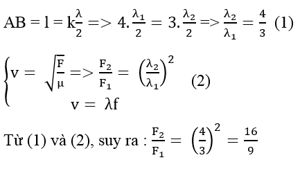
Câu 29: Một sợi dây đàn hồi AB, có hai đầu A, B cố định đang rung với 4 múi. Biết tốc độ truyền sóng trên dây thay đổi được theo quy luật: v = √(F/μ) trong đó μ là khối lượng của 1 đơn vị chiều dài của dây, F là lực làm căng dây. Để dây rung với 3 múi (tần số dao động của dây không đổi) thì lực F2 làm căng dây phải tăng hay giả bao nhiêu lần so với F1 ?
A. 16/9
B. 4/9
C. 4/3
D. 3/4
Câu 30: Các điểm A, B, C, D trên mặt nước tạo thành hình thang cân ABCD. Biết AB = 50 cm, CD = 30 cm, đường cao hình thang h = 20 cm. Tại hai điểm A, B người ta đặt hai nguồn sóng kết hợp, dao động ngược pha nhau và phát sóng có bước sóng λ = 3 cm. Số điểm có biên độ dao động cực đại trên đáy nhỉ CD là
A. 16
B. 15
C. 14
D. 13
Câu 31: Điện năng từ một trạm phát điện được đưa đến một khu dân cư bằng đường dây truyền tải một pha. Nếu điện áp tại nơi truyền tải năng từ U lên 2U thì số hộ dân được trạm cung cấp đủ công suất điện tăng từ 93 hộ lên 120 hộ. Coi rằng công suất điện truyền từ trạm phát không đổi, công suất tiêu thụ điện của mối hộ dân như nhau và không đổi. Hệ số công suất trên đường truyền tải không đổi. Khi tăng điện áo tại nơi truyền tải lên 3U thì số hộ dân được trạm phát cung cấp đủ công suất điện là :
A. 125 hộ
B. 120 hộ
C. 150 hộ
D. 245 hộ
Câu 32: Đặt điện áp xoay chiều có giá trị hiệu dụng không đổi, tần số 100 Hz vào hai đầu đoạn mạch như hình vẽ. Biết điện trở R xác định, độ tự cảm L = 0,3 H, điện dung C của tụ điện thay đổi được. Để điện áp hai đầu cuộn cảm thuần lệch pha π/2 so với điện áp hai đầu đoạn mạch thì C có giá trị là
A. 6,6 μF
B. 13,2 μF
C. 1102 μF
D. 8,33 μF
Câu 33: Trong mạch điện xoay chiều gồm R, L, C mắc nối tiếp đang xảy ra cộng hưởng điện thì điều nào sau đây là sai?
A. Ω 2 LC = 1
B. P = UI
C. U = U R
D. Z > R
Câu 34: Đồ thị biến đổi theo thời gian của cường độ dòng điện trong mạch xoay chiều có dạng như hình vẽ. Biểu thức của cường độ dòng điện tức thời là:
A. i = 2√2 cos(50πt- 3π/4) (A)
B. i = 2cos(50πt- 3π/4) (A)
C. i = 2√2 cos(100πt) (A)
D. i = 2cos(100πt- π/2) (A)
Câu 35: Một phân xưởng cơ khí sử dụng một động cơ điện xoay chiều có hiệu suất 80%. Khi động cơ hoạt động nó sinh ra một công suất cơ bằng 7,5 kW. Biết rằng, mỗi ngày động cơ hoạt động 8 giờ và coi giá tiền của một kW.h (1 số điện công nghiệp) là 2000 đ. Trong 30 ngày, số tiền điện mà phân xưởng đó phải trả cho ngành điện do sử dụng động cơ trên là
A. 1350000 đ
B. 5400000 đ
C. 2700000 đ
D. 4500000 đ
Câu 36: Trong thí nghiệm giao thoa ánh sáng với khe Y-âng, nguồn sáng S phát đồng thời hai ánh sáng đơn sắc màu đỏ λ1 = 60 nm và màu lục λ2 = 560 nm. Trên màn quan sát, trong khoảng giữa hai vân sáng cùng màu với vân sáng chính giữa có
A. 7 vân màu đỏ, 7 vân màu lục
B. 5 vân màu đỏ, 6 vân màu lục
C. 6 vân màu đỏ, 7 vân màu lục
D. 4 vân màu đỏ, 5 vân màu lục
Câu 37: Trong thí nghiệm Y-âng về giao thoa ánh sáng, hai khe được chiếu đồng thời bằng hai ánh sáng đơn sắc có bước sóng 450 nm và 750 nm. Khoảng cách giữa hai khe là 1,6 mm, khoảng cách từ hai khe đến màn là 2,4 m. Trên màn, tại điểm M có vân tối của hai bức xạ trùng nhau gần vân trung tâm nhất. Điểm M cách vân sáng trung tân một khoảng bằng
A. 0,1964 mm
B. 2,2124mm
C. 1,6875mm
D. 3,3755mm
Câu 38: Theo mẫu nguyên tử Be, trong nguyên tử hidro các mức năng lượng được tính bằng công thức En = -(13,6/n2)(eV) với n = 1,2,3... chiếu bức xạ điện tử có bước sóng 1,0938 μm vào khối hơi hidro đang ở cùng một trạng thái kích thích, nguyên tử hidro hấp thụ photon thì sau đó có thể phát ra tối đa bao nhiêu bức xạ có bước sóng khác nhau?
A. 3
B. 6
C. 10
D. 15
Câu 39: Chất phóng xạ 21084Po phóng xạ hạt α và biến thành hạt nhân 20682Pb. Trong 0,168 g poloni sau 3 chu kì bán rã số hạt nhân nguyên tử bị phân rã là
A. 4,214.1020
B. 3,182.1019
C. 4,214.1018
D. 3,182.1020
Câu 40: Một học sinh thực hiện phép đo khoảng vân trong thí nghiệm giao thoa khe Y-âng. Học sinh đó đo được khoảng cách hai khe a = 1,2 ± 0,03 (mm); khoảng cách từ hai khe đến màn là D = 1,6 ± 0,05 (mm). Bước sóng dùng trong thí nghiệm là λ = 0,68 ± 0,007 (μm). Sai số tương đối của phép đo là
A. 1,17 %
B. 1,28%
C. 4,59%
D. 6,65%
2. Đáp án câu hỏi trắc nghiệm ôn thi Đại học môn Vật Lí
| Câu | 1 | 2 | 3 | 4 | 5 | 6 | 7 | 8 | 9 | 10 |
| Đáp án | C | B | C | B | C | C | A | B | B | A |
| Câu | 11 | 12 | 13 | 14 | 15 | 16 | 17 | 18 | 19 | 20 |
| Đáp án | B | A | A | C | C | A | C | D | A | D |
| Câu | 21 | 22 | 23 | 24 | 25 | 26 | 27 | 28 | 29 | 30 |
| Đáp án | C | B | B | C | A | B | B | C | A | D |
| Câu | 31 | 32 | 33 | 34 | 35 | 36 | 37 | 38 | 39 | 40 |
| Đáp án | A | D | D | A | D | C | C | D | A | D |
3. Hướng dẫn giải câu hỏi trắc nghiệm ôn thi Đại học môn Vật Lí
Câu 25
x = acosωt + acos2ωt
Đạo hàm hai vế: v = x’ = -aωsinωt – 2aωsin2ωt ; vmax khi v’= x’’ = 0
=> 8cos2ωt + cosωt – 4 = 0 => cosωt ≈ 0,644 => vmax ≈ 2,7aω
Câu 26:

Câu 27:

Câu 29:

Câu 30:

Câu 32:

Câu 33:

Câu 35:

Câu 37:

Câu 38:

Câu 40:

Mời các bạn tham khảo thêm các bài viết dưới đây của chúng tôi:
- Ôn thi Đại học môn Vật Lí có đáp án - Đề số 5
- Ôn thi Đại học môn Vật Lí có đáp án - Đề số 6
- Ôn thi Đại học môn Vật Lí có đáp án - Đề số 7
- Ôn thi Đại học môn Vật Lí có đáp án - Đề số 8
- Ôn thi Đại học môn Vật Lí có đáp án - Đề số 9
- Ôn thi Đại học môn Vật Lí có đáp án - Đề số 10
- Ôn thi Đại học môn Vật Lí có đáp án - Đề số 11
Trên đây VnDoc đã giới thiệu tới các bạn Ôn thi Đại học môn Vật Lí có đáp án - Đề số 12. Để có kết quả cao hơn trong học tập, VnDoc xin giới thiệu tới các bạn học sinh tài liệu Soạn bài lớp 12, Giải bài tập Toán lớp 12, Giải bài tập Hóa học lớp 12, Giải bài tập Vật Lí 12, Tài liệu học tập lớp 12 mà VnDoc tổng hợp và đăng tải.