Ôn thi Đại học môn Vật Lí có đáp án - Đề số 18
VnDoc xin giới thiệu tới bạn đọc Ôn thi Đại học môn Vật Lí có đáp án - Đề số 18. Nội dung tài liệu sẽ giúp các bạn làm bài thi trắc nghiệm Vật lý 12 hiệu quả hơn. Mời các bạn tham khảo.
Câu hỏi trắc nghiệm ôn thi Đại học môn Vật Lí đề 18
1. Câu hỏi ôn thi Đại học môn Vật Lí
Câu 1: Thế năng con lắc đơn phụ thuộc vào
A. chiều dài dây treo và khối lượng vật.
C. gia tốc trọng trường nơi làm thí nghiệm.
B. li độ của con lắc.
D. tất cả các yếu tố trên.
Câu 2: Nguyên nhân làm vật dao động tắt dần là do
A. không có lực tác dụng vào vật.
B. lực tác dụng vào vật không đủ lớn.
C. có ma sát giữa vật và môi trường.
D. cả ba nguyên nhân trên.
Câu 3: Tại mọi thời điểm, li độ của hai dao động điều hoà cùng phương cùng tần số luôn bằng nhau về độ lớn và trái dấu nhau. Có thể kết luận gì về độ lệch pha và biên độ của chúng?
A. Cùng pha nhau và cùng biên độ.
B. Cùng pha nhau và khác biên độ.
C. Ngược pha nhau và cùng biên độ.
D. Ngược pha nhau và khác biên
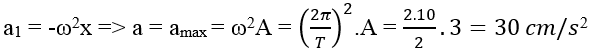
Câu 4: Một vật dao động điều hoà với biên độ 3 cm, chu kì T = 2 s, lấy π2 = 10. Lúc vật ở một trong hai vị trí biên thì gia tốc của vật
A. lớn nhất và bàng 20 cm/s2.
B. lớn nhất và bằng 30 cm/s2.
C. nhỏ nhất và bàng 40 cm/s2.
D. nhỏ nhất và bằng 0 cm/s2.
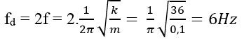
Câu 5: Một con lắc lò xo dao động điều hoà. Biết lò xo có độ cứng 36 N/m và vật nhỏ có khối lượng 100 g. Lây π2 = 10. Động năng của con lăc biên thiên theo thời gian với tần số
A. 6 Hz.
B. 3 Hz.
C. 12 Hz.
D. 1 Hz.
Câu 6: Con lắc lò xo dao động điều hoà trên phương nằm ngang, cứ mồi giây thực hiện được 4 dao động toàn phân. Khôi lượng vật nặng của con lắc là m = 250 g (lấy π2 = 10). Động năng cực đại của vật là 0,288 J. Quỹ đạo dao động của vật là một đoạn thẳng dài
A. 6 cm.
B. 12 cm.
C. 5 cm.
D. 10 cm
Câu 7: Một con lắc lò xo năm ngang gồm vật có khối lượng 400 g, lò xo có độ cứng 100 N/m Ban đầu người ta kéo vật khởi VTCB một đoạn 3 cm rồi thả nhẹ cho nó dao động hệ số ma sát giữa vật và mặt phang ngang là 0,005. Biết g = 10 m/s2. Biên dộ dao động sau chu kì đầu tiên là
A 2,92 cm.
B. 2,9992 cm.
C. 2,95 cm.
D. 2,992 cm.
Câu 8: Sóng ngang dao động theo phương
A. vuông góc với phương truyền sóng.
B. thẳng đứng.
C. trùng với phương truyền sóng.
D. nằm ngang.
Câu 9: Tốc độ truyền sóng trong môi trường phụ thuộc yếu tố nào sau đây?
A. Tần số sóng.
B. Độ mạnh của sóng.
C. Biên độ sóng.
D. Bản chất của môi trường.
Câu 10: Khi biên độ của sóng tăng gấp đôi, năng lượng do sóng truyền
A. giảm 4 lần.
B. giảm 2 lần.
C. tăng 4 lần.
D. tăng 2 lần.
Câu 11: Cho sóng âm biểu thị bới phương trình u = 28cos(20x - 2000t) (m). Tốc độ của sóng này là
A. 334 m/s.
B. 100m/s.
C. 314 m/s.
D. 331 m/s.
Câu 12: Ở mặt nước có hai nguồn sóng cơ A và B cách nhau 15 cm, dao động điều hoà cùng tần số, cùng pha theo phương vuông góc với mặt nước. Điểm M nằm trên AB, cách trung điểm O là 1,5 cm, là điểm gần O nhất luôn dao động với biên độ cực đại. Trên đường tròn tâm O, đường kính 20 cm, nằm ở mặt nước có số điểm luôn dao động với biên độ cực đại là
A. 18.
B. 16.
C. 32.
D. 17
Câu 13: Nếu đoạn mạch điện xoay chiều chỉ có cuộn cảm thuần thì
A. hiệu điện thế tức thời chậm pha hơn dòng điện tức thời một góc π/2.
B. cường độ dòng điện hiệu dụng tỉ lệ thuận với độ tự cảm.
C. công suất tiêu thụ của đoạn mạch bằng 0.
D. công suất tiêu thụ của đoạn mạch bằng một giá trị bất kì ta tính được.
Câu 14: Tìm câu trả lời không đúng về ý nghĩa của hệ số công suất cosφ.
A. Công suất của các thiết bị điện thường phải ≥ 0,85.
B. Hệ số công suất càng lớn thì công suất tiêu thụ của mạch càng lớn.
C. Hệ số công suất càng lớn thì công suất hao phí của mạch càng lớn.
D. Để tăng hiệu quả sử dụng điện năng, ta phải tìm cách nâng cao hệ số công suất.
Câu 15: Cho điện áp giữa hai đầu đoạn mạch là u = 100√2 cos314t(V), cường độ dòng điện trong mạch là i = 3√2 cos(314t+ π/4)(A). Độ lệch pha giữa điện áp và cường độ dòng điện là
A. π/4
B. 0
C. -π/4
D. Không xác định được
Câu 16: Cho mạch điện xoay chiều có điện áp hai đầu đoạn mạch và cường độ dòng điện qua mạch không đông pha và cũng không ngược pha. Trong một chu kì của dòng điện, số lần công suất tức thời bằng 0 là
A. 4.
B. 2.
C. 8.
D. 1.
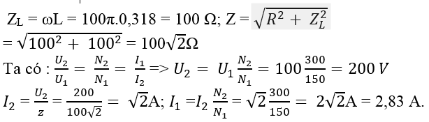
Câu 17: Cho một máy biển áp có cuộn sơ cấp có 150 vòng, cuộn thứ cấp có 300 vòng. Hai đầu cuộn thứ cấp nối với một cuộn dây có điện trở hoạt động 100 Ω, độ tự cảm 0,318 H. Hai đầu cuộn sơ cấp được đặt ớ điện áp xoay chiều có U1 = 100 V tần số dòng điện 50 Hz. Cường độ hiệu dụng ở mạch sơ cấp là
A. 0,71 A.
B. 2,83 A
C. 2,72 A.
D. 1,5 A.
Câu 18: Cho mạch điện xoay chiều RLC. Biết điện áp hiệu dụng giữa hai đầu đoạn mạch là 15 V, giữa hai đầu cuộn dây thuần cảm là 25 V, giữa hai đầu tụ điện và điện trở thuần là 20 V. Vậy hệ số công suất của mạch là
A. 0,6.
B. 0,8.
C. 0,9.
D. 0,7.
Câu 19: Cho mạch điện như hình vẽ. Điện áp hai đầu mạch là UAB = 100√2cos100πt (V); cuộn dây có điện trở trong r = 30 Ω; C = 31,8 μF ; L = 14/10π(H). Khi R thay đổi, công suất của mạch đạt giá trị cực đại. Lúc đó giá trị R và giá trị cực đại của công suất lần lượt là
A. 20 Ω và 250 W
B. 15 Ω và 62,5 W
C. 10 Ω và 125 W
D. 15 Ω và 125 W
Câu 20: Một đoạn mạch gồm một điện trở thuần R = 40 Ω, một cuộn cảm thuần có độ tự cám L và một tụ điện có điện dung C mắc nối tiếp. Đặt vào hai đầu đoạn mạch một điện áp xoay chiều có tần số f thay đổi được. Khi tần số f = f1 = 50√3 Hz thì điện áp hiệu dụng giữa hai đầu điện trở R đạt cực đại. Khi tần số f = f2 = 50 Hz thì điện áp hiệu dụng giữa hai đầu tụ điện đạt cực đại. Độ tự cảm L bằng
A. L = 0,6/π (H)
B. L = 0,3/π (H)
C. L = 0,4/π (H)
D. L = 0,2/π (H)
Câu 21: Chọn phát biểu đúng
A. Tại mỗi điểm trên phương truyền của sóng điện từ thì dao động của cường độ điện trường vecto E đồng pha với dao động của cảm ứng từ vecto B.
B. Trong sóng điện từ, dao động của điện trường trề pha π/2 so với dao động của từ trường.
C. Trong sóng điện từ, dao động của điện trường trề pha π so với dao động của từ trường.
D. Trong sóng điện từ, dao động của điện trường sớm pha π/2 so với dao động của từ trường
Câu 22: Phát biểu nào sau đây không đúng?
A. Sóng điện từ mang năng lượng tỉ lệ với lũy thừa bậc bốn của tần số
B. Trong sóng điện từ, dao động điện và dao động điện từ luôn đồng pha nhau
C. Sóng điện từ không truyền trong chân không
D. Sóng điện từ là sóng ngang
Câu 23: Chọn sóng ở đầu vào của một máy thu vô tuyến điện gồm tụ điện C = 1 nF và cuộn cmar L = 100 μH, lấy π2 = 10, cho c = 3.108 m/s. Bước sóng điện từ mà mạch thu được là
A. 300 m
B. 600 m
C. 300 km
D. 1000 m
Câu 24: Khi một chùm ánh sáng đơn sắc truyền từ không khí vào thủy tinh thì
A. Tần số tăng, bước sóng giảm
B. Tần số không đổi, bước sóng tăng
C. Tần số giảm, bước sóng giảm
D. Tần số không đổi, bước sóng giảm
Câu 25: Chọn phát biểu đúng
A. Quang phổ liên tục của một vật phụ thuộc vào bản chất của vật nóng sáng
B. Quang phổ liên tục không phụ thuộc vào nhiệt độ của vật nóng sáng
C. Quang phổ liên tục phụ thuộc vào nhiệt độ của vật nóng sáng
D. Quang phổ liên tục phụ thuộc vào nhiệt độ và bản chất của vật nóng sáng
Câu 26: Công thoát electron của một kim loại là A = 1,88 eV. Giới hạn quang điện của kim loại này có giá trị bằng
A. 0,55.10-6 m.
B. 0,22.10-6 m.
C. 1,06.10-6 m.
D. 0,66.10-6 m.
Câu 27: Trong thí nghiệm giao thoa ánh sáng với khe Y-âng, khi dùng ánh sáng có bước sóng 600 nm trên một đoạn rộng L thuộc miền giao thoa trên màn, người ta đếm được 7 vân sáng mà ở 2 mép là 2 vân sáng. Nếu dùng ánh sáng có bước sóng 400 nm thì số vân sáng quan sát được trên đoạn đó là
A. 10
B. 13
C. 11
D. 12
Câu 28: Thực hiện giao thoa ánh sáng với khe Y-âng cách nhau a = 1mm. Di chuyển màn quan sát ra xa hai khe thêm một đoạn 50 cm thì khoảng vân trên màn tăng thêm 0,3 mm. Bước sóng của bức xạ dùng trong thí nghiệm là
A. 0,60 μm.
B. 0,54 μm.
C. 0,50 μm.
D. 0,40 μm.
Câu 29: Theo quan điểm của thuyết lượng tử, phát biểu nào sau đây là không đúng?
A. Chùm ánh sáng là một dòng hạt, mỗi hạt là một photon mang năng lượng
B. Các photon có năng lượng bằng nhau vì chúng lan truyền với vận tốc mang năng lượng
C. Cường độ chùm sáng tỉ lệ thuận với số photon trong chùm
D. Khi ánh sáng truyền đi các photon ánh sáng có năng lượng không đổi, không phụ thuộc khoảng cách đến nguồn sáng
Câu 30: Pin quang điện là hệ thống biến đổi
A. Hóa năng thành điện năng
B. Cơ năng thành điện năng
C. Nhiệt năng thành điện năng
D. Năng lượng bức xạ thành điện năng
Câu 31: Phát biểu nào là không đúng?
A. Điện trở của quang trở giảm mạnh khi có ánh sáng thích hợp chiếu vào.
B. Nguyên tắc hoạt động của tất cả các tế bào quang điện đều dựa trên hiện tượng quang dẫn
C. Trong pin quang điện, quang năng biến đổi trực tiếp thành điện năng.
D. Có một số tế bào quang điện hoạt động khi được kích thích bằng ánh sáng nhìn thấy
Câu 32: Giới hạn quang điện của natri là 0,5 μm. Chiếu vào natri tử ngoại có bước sóng 0,25 μm. Coi toàn bộ năng lượng còn lại của photon chuyển thành động năng của electron. Vận tốc ban đầu cực đại của quang electron là
A. 9.105 m/s
B. 8,35.105 m/s
C. 8.105 m/s
D. 9,34.105 m/s
Câu 33: Phát biểu nào sau đây đúng khi nói về một tính chất của tia α?
A. Không có tính đam xuyên mạnh
B. Có tốc độ lớn hơn hoặc bằng tốc độ ánh sáng
C. Là chùm hạt nhân của nguyên tử nito
D. Có tính đâm xuyên mạnh
Câu 34: Hạt nhân càng bền vững thì
A. Độ hụt khối càng lớn
B. Khối lượng càng lớn
C. Năng lượng liên kết càng lớn
D. Năng lượng liên kết riêng càng lớn
Câu 35: Quá trình phóng xạ hạt nhân là quá trình
A. Thu năng lượng
B. Không thu, không tỏa năng lượng
C. Có trường hợp thu, có trường hợp tỏa năng lượng
D. Tỏa năng lượng
Câu 36: Số proton trong hạt nhân là đại lượng giúp xác định mối quan hệ nào của các nguyên tố?
A. Liền kề trong bảng tuần hoàn
B. Có cùng tính chất vật lí
C. Cùng một dãy hóa học
D. Là đồng vị của nhau
Câu 37: Biết khối lượng của proton là 1,00728 u; notron là 1,00866 u; hạt nhân 2311Na là 22,98373 u và 1 u = 931,5 MeV/c2. Năng lượng kiên kết của 2311Na bằng
A. 186,55 MeV
B. 8,11MeV
C. 81,11MeV
C. 18,66 MeV
Câu 38: Trong các vật dao động tắt dần sau đây, sự tắt dần nhanh nào là có lợi?
A. Khung xe khi qua đoạn đường gập ghềnh
B. Quả lắc đồng hồ đang hoạt động
C. Sự đung đưa của cái võng đang hoạt động
D. Con lắc lò xo trong phòng thí nghiệm đang hoạt động
Câu 39: Một người xách một xô nước đi trên đường, mỗi bước đi được 50 cm. Chu kì dao động riêng của nước trong xô là 1s. Nước trong xô bị sóng sánh mạnh nhất khi người đó đi với tốc độ là
A. 0,5 m/s
B. 25cm/s
C. 0,5cm/s
D. 50m/s
Câu 40: Trong giờ thực hành, một học sinh mắc đoạn mạch AB gồm điện trở thuần 32 Ω, tụ điện có điện dung C thay đổi được và cuộn dây có độ tự cảm L nối tiếp nhau đúng thứ tự trên. Gọi M là điểm nối giữa điện trở thuần và tụ điện. Đặt vào hai đầu đoạn mạch AB một điện áp xoay chiều có giá trị hiệu dụng 150 V và tấn số 50 Hz. Điều chỉnh điện dung của tụ điện đến một giá trị xác định nào đó, thì thấy điện áp hiệu dụng giữa hai đầu đoạn mạch MB đạt giá trị cực tiểu bằng 54 V. Điện trở thuần của cuộn dây là
A. 24 Ω
B. 20 Ω
C. 16 Ω
D. 18 Ω
2. Đáp án câu hỏi trắc nghiệm ôn thi Đại học môn Vật Lí
| Câu | 1 | 2 | 3 | 4 | 5 | 6 | 7 | 8 | 9 | 10 |
| Đáp án | D | C | C | B | A | B | A | A | D | C |
| Câu | 11 | 12 | 13 | 14 | 15 | 16 | 17 | 18 | 19 | 20 |
| Đáp án | B | A | C | C | C | A | B | B | C | D |
| Câu | 21 | 22 | 23 | 24 | 25 | 26 | 27 | 28 | 29 | 30 |
| Đáp án | A | C | B | D | C | D | A | A | B | D |
| Câu | 31 | 32 | 33 | 34 | 35 | 36 | 37 | 38 | 39 | 40 |
| Đáp án | B | D | D | D | D | D | A | A | A | D |
3. Hướng dẫn giải câu hỏi trắc nghiệm ôn thi Đại học môn Vật Lí
Câu 4:

Câu 5:

Câu 11:

Câu 17:

Câu 18:

Câu 19:

Câu 27:

Câu 32:

Câu 40:

Mời các bạn tham khảo thêm các bài viết dưới đây của chúng tôi:
- Ôn thi Đại học môn Vật Lí có đáp án - Đề số 11
- Ôn thi Đại học môn Vật Lí có đáp án - Đề số 12
- Ôn thi Đại học môn Vật Lí có đáp án - Đề số 13
- Ôn thi Đại học môn Vật Lí có đáp án - Đề số 14
- Ôn thi Đại học môn Vật Lí có đáp án - Đề số 15
- Ôn thi Đại học môn Vật Lí có đáp án - Đề số 16
- Ôn thi Đại học môn Vật Lí có đáp án - Đề số 17
Trên đây VnDoc đã giới thiệu tới các bạn Ôn thi Đại học môn Vật Lí có đáp án - Đề số 18. Để có kết quả cao hơn trong học tập, VnDoc xin giới thiệu tới các bạn học sinh tài liệu Soạn bài lớp 12, Giải bài tập Toán lớp 12, Giải bài tập Hóa học lớp 12, Giải bài tập Vật Lí 12, Tài liệu học tập lớp 12 mà VnDoc tổng hợp và đăng tải.