Ôn thi Đại học môn Vật Lí có đáp án - Đề số 16
VnDoc xin giới thiệu tới bạn đọc Ôn thi Đại học môn Vật Lí có đáp án - Đề số 16. Nội dung tài liệu sẽ giúp các bạn làm bài thi trắc nghiệm Vật lý 12 hiệu quả hơn. Mời các bạn tham khảo.
Câu hỏi trắc nghiệm ôn thi Đại học môn Vật Lí đề 16
1. Câu hỏi ôn thi Đại học môn Vật Lí
Câu 1: Khi vật dao động điều hòa đi từ biên về vị trí cân bằng thì
A. vận tốc ngược chiều với gia tốc.
B. lực tác dụng lên vật ngược chiều với vận tốc
C. vận tốc cùng chiều với gia tốc.
D. độ lớn lực tác dụng lên vật đang tăng.
Câu 2: Chu kì dao động điều hòa của con lắc đơn
A. phụ thuộc khối lượng vật nặng của con lắc.
B. phụ thuộc vào chiều dài dây treo con lắc.
C. tỉ lệ nghịch với gia tốc trọng trường tại nơi treo con lắc.
D. tỉ lệ thuận với gia tốc trọng trường tại nơi treo con lắc
Câu 3: Xét một vật dao động điều hòa, thời gian ngắn nhất để vật đi từ vị trí cân bằng đến vị trí có li độ cực đại là 0,1 s. Chu kì dao động của vật bằng
A. 0,05 s.
B. 0,1 s.
C. 0,2 s.
D. 0,4 s.
Câu 4: Một vật dao động điều hòa, khi vật có li độ X1= 4 cm thi vận tốc V1= -40√3 π(cm/s); khi vật có li độ X2 = 4√2 cm thì vận tốc V2 = 40√2π (cm/s). Động năng và thế năng biến thiên với chu kì
A. 0,1 s.
B. 0,8 s.
C. 0,2 s.
D. 0,4 s.
Câu 5: Khi con lắc lò xo thẳng đứng ở vị trí cân bằng thì lò xo dãn 5 cm. Lấy g = 10 m/s2. Biết rằng trong một chu kì, thời gian lò xo bị nén bằng một nửa thời gian lò xo dãn. Tại thời điểm lò xo không bị dãn và không bị nén, vận tốc của vật có độ lớn là
A. 50√3 cm/s.
B. 50√6 cm/s.
C. 50 cm/s.
D. 100 cm/s.
Câu 6: Người ta đưa một con lắc đơn từ nơi có gia tốc g = 9,81 m/s2 đến nơi có gia tốc g’ thì thấy chu kì dao động giảm 0,25%. Biết tại nơi mới chiều dài con lắc giảm 1%. Gia tốc g' có giả trị là
A. 9,83 m/s2.
B. 9,68 m/s2
C. 9,76 m/s2
D. 9,65 m/s2
Câu 7: Một con lắc lò xo có tần sổ dao động riêng là 25 rad/s, con lắc được thả rơi tự do theo phương lò xo thẳng đứng, vật nặng bên dưới. Ngay sau khi thả rơi được 0,042 s thì người ta giữ đầu trên của lò xo lại, coi gần đúng g = 10 m/s2. Trong khi dao động, tốc độ cực đại mà vật nặng đạt được là
A. 60 cm/s.
B. 58 cm/s.
C. 73 cm/s.
D. 67 cm/s.
Câu 8: Trong những phát biểu dưới đây, phát biểu nào đúng?
A. Sóng dọc là sóng truyền dọc theo một sợi dây.
B. Sóng dọc là sóng truyền theo phương thẳng đứng, còn sóng ngang là sóng truyền theo phương nằm ngang.
C. Sóng dọc là sóng có phương dao động (của phần tử môi trường) trùng với phương truyền sóng.
D. Sóng dọc là sóng có phương dao động (của phần tử môi trường) vuông góc với phương truyền sóng.
Câu 9: Khi nói về sóng âm, phát biểu nào sau đây sai?
A. Sóng âm có thể truyền được trong các môi trường rắn, lỏng, khí
B. Sóng âm không truyền được trong chân không.
C. Tốc độ truyền âm trong một môi trường phụ thuộc vào nhiệt độ của môi trường.
D. Sóng âm truyền trong nước với tốc độ nhỏ hơn trong không khí.
Câu 10: Tại một điểm, khi cường độ âm tăng lên 10n lần thì mức cường độ âm
A. tăng lên n lần (dB).
B. tăng thêm 10n (dB).
C. giảm đi n lần (dB).
D. giảm bớt 10n (dB).
Câu 11: Tại hai điểm A, B có hai nguồn phát sóng kết hợp và vuông pha với nhau. Biết bước sóng là 4 cm. Trên đoạn AB, điểm có cực đại giao thoa, cách trung điểm của AB một đoạn ngắn nhất là
A. 0,5 cm.
B. 1 cm.
C. 1,5 cm.
D. 2 cm
Câu 12: Hai điểm A, B nằm trên cùng một đường thẳng đi qua nguồn âm s và ở cùng một phía so với nguồn âm. Coi nguồn âm là đẳng hướng và môi trường không hấp thụ âm. Biết mức cường độ âm tại A là LA = 50 dB, tại B là LB = 30 dB. Cho C là một điểm trên đoạn AB mà CB = 2CA. Mức cường độ âm tại C là
A. 38 dB.
B. 36 dB.
C. 44dB.
D. 42 dB.
Câu 13: Một khung dây dẫn phăng diện tích s, quay đều với tốc độ góc ω quanh một trục vuông góc với các đường sức từ của một từ trường đều có cảm ứng từ B. Trong khung dây sẽ xuất hiện
A. suất điện động có độ lớn không đổi.
B. suất điện động tự cảm.
C. dòng điện không đổi.
D. suất điện động biến thiên điều hòa.
Câu 14: Tìm phát biểu sai khi nói về đoạn mạch xoay chiều chỉ có tụ điện?
A. Tụ điện cho dòng điện xoay chiều đi qua.
B. Dòng điện qua tụ điện sớm pha 0,5π so với hiệu điện thế hai đầu tụ điện.
C. Điện dung tụ điện càng lớn thì dung kháng càng lớn.
D. Cường độ dòng điện qua tụ điện tính theo công thức I = CUω
Câu 15: Một máy phát điện xoay chiều một pha cổ phần cảm gồm 8 cặp cực. Để tạo suất điện động xoay chiều với tần số 50 Hz thì rôto của máy phát điện phải quay với tốc độ
A. 750 vòng/phút.
B. 400 vòng/phút.
C. 375 vòng/phút.
D. 300 vòng/phứt.
Câu 16: Một động cơ điện xoay chiều có điện trở dây cuốn là 30Ω. Khi mắc vào mạch có điện áp hiệu dụng 200 V thì sinh ra một công suất cơ học 82,5 w. Biết hệ số công suất của động cơ là 0,9. Cường độ dòng điện hiệu dụng qua động cơ là
A. 1,1 A.
B. 1,8 A
C. 11 A.
D. 0,5 A.
Câu 17: Đặt vào hai đầu đoạn mạch có L, R, C mắc nối tiếp (trong đó cuộn dây L thuần cảm và thay đổi được) một điện áp u = 160√2cos100πt (V). Điều chỉnh L để điện áp hiệu dụng trên cuộn cảm cực đại là 200 V. Khi điện áp tức thời hai đầu mạch là 80 V thì độ lớn điện áp tức thời trên cuộn cảm gần giá trị nào nhất sau đây?
A. 70 V.
B. 80 V.
C. - 70 V.
D. - 80 V.
Câu 18: Đoạn mạch điện xoay chiều AB gồm một tụ điện có điện dung C nối tiếp với hộp kín X. Biết hộp kín X chứa một trong ba phần tử: điện trở thuần, cuộn dây, tụ điện. Khi đặt vào hai đầu AB một điện áp xoay chiều có giá trị hiệu dụng 120 V, người ta đo được UC = 80 V và UX = 200 V. Hộp kín X chứa
A. tụ điện.
B. cuộn dây không thuần cảm
C. điện trở thuần.
D. cuộn dây thuần cảm.
Câu 19: Một động cơ điện xoay chiều hoạt động liên tục trong một ngày - đêm, tiêu thụ lượng điện năng là 24 kw.h. Biết hệ số công suất của động cơ là 0,83. Động cơ tiêu thụ điện năng với công suất tức thời cực đại bằng
A. 2,205 kW.
B. 1,205 kW.
C. 1,0 kW.
D. 0,83 kW.
Câu 20: Đặt điện áp u = Uocosωt (Uo không đổi, ω thay đổi được) vào hai đầu đoạn mạch gồm điện trở thuần R = 50 Ω, cuộn cảm thuần có độ tự cảm L = 2.10-3 H và tụ điện mắc nối tiếp. Biết cường độ dòng điện hiệu dụng qua đoạn mạch đạt giá trị cực đại Im. Khi ω nhận giá trị bằng ω1 hoặc ω2 thì cường độ dòng điện hiệu dụng qua đoạn mạch bằng nhau và bằng Im /√2. Đại lượng |ω1 – ω2| có giá trị bằng
A. 2,5.104rad/s.
B. 1,25.104rad/s.
C. 5,0.103rad/s.
D. l,0.104rad/s.
Câu 21: Trong các thiết bị sau thiết bị nào chỉ là máy phát sóng vô tuyến điện?
A. Cải điều khiển từ xa của các thiết bị điện tử.
B. Máy phát thanh (radio)
C. Tivi.
D. Điện thoại di động.
Câu 22: Sóng vô tuyến có bước sóng vào cỡ vài mét thuộc loại nào trong các dải sóng vô tuyến sau?
A. Sóng cực ngắn.
B. Sóng ngắn.
C. Sóng dài.
D. Sóng trung.
Câu 23: Trong một mạch dao động LC lí tưởng gồm cuộn dây thuần cảm có độ tự cảm L không đổi và tụ điện có điện dung Cv thay đổi. Chu kì dao động riêng của mạch
A. tăng khi điện dung của tụ điện tăng.
B. tăng gấp đôi khi điện dung của tụ điện tăng hai lần.
C. giảm khi điện dung của tụ điện tăng.
D. tăng tỉ lệ thuận với độ tăng của điện dung tụ điện.
Câu 24: Phát biểu nào sau đây là đúng khi nói về quang phổ liên tục?
A. Quang phổ liên tục của một vật phụ thuộc vào bản chất của vật.
B. Quang phổ liên tục phụ thuộc vào nhiệt độ của vật nóng sáng.
C. Quang phổ liên tục không phụ thuộc vào nhiệt độ và bản chất của vật.
D. Quang phổ liên tục phụ thuộc cả nhiệt độ và bản chất của vật.
Câu 25: Tia hồng ngoại
A. là một bức xạ đơn sắc có màu hồng
B. do các vật có nhiệt độ lớn hơn độ không tuyệt đối phát ra.
C. bị lệch trong điện trường và từ trường.
D. là sóng điện từ có bước sóng nhỏ hơn 0,38 μm.
Câu 26: Một ống tia X có bước sóng ngắn nhất là 50 nm. Để tăng khả năng đâm xuyên của tia X người ta tăng điện áp giữa anôt và catôt thêm 20 %. Bước sóng ngán nhất của tia X do ống phát ra khi đó là
A. 42 nm.
B. 12,5 nm.
C. 60 nm.
D. 125 nm.
Câu 27: Thí nghiệm giao thoa ánh sáng đơn sắc với hai khe hẹp S1 và S2 được thực hiện trong không khí và trong chất lỏng có chiết suất n. Để vị trí vân tối thứ 5 khi thực hiện trong không khí trùng với vị trí vân sáng bậc 8 khi thực hiện trong chất lỏng thì chiết suất của chất lỏng là
A. 1,45.
B. 1,60.
C. 1,33.
D. 1,78.
Câu 28: Trong thí nghiệm Y-âng về giao thoa ánh sáng, khoảng cách giữa mặt phẳng chứa hai khe và màn quan sát là 2 m. Hai khe S1, S2 được chiếu đồng thời ba bức xạ với bước sóng lần lượt là λ1 = 0,4 μm; λ2 = 0,5 μm và λ3 = 0,6 μm. Khoảng cách ngắn nhất giữa hai vân sáng cùng màu với vân trung tâm đo được trên màn là 24 mm. Khoảng cách giữa hai khe là
A. 0,4 mm.
B. 0,5 mm.
C. 0,3 mm.
D. 0,6 mm.
Câu 29: Quang phổ liên tục không được phát ra bởi chất nào dưới đây khi bị nung nóng?
A. Chất rắn.
B. Chất lỏng.
C. Chất khí ở áp suất cao.
D. Chất khí ở áp suất thấp.
Câu 30: Theo thuyết lượng tử ánh sáng thì
A. năng lượng của một phôtôn tỉ lệ thuận với bước sóng ánh sáng tương ứng với phôtôn đó.
B. năng lượng của một phôtôn bằng năng lượng nghỉ của nó.
C. năng lượng của một phôtôn phụ thuộc vào khoảng cách từ phôtôn đó tới nguồn phát ra nó.
D. năng lượng của các phôtôn trong chùm ánh sáng đơn sắc bằng nhau.
Câu 31: Công thoát electron khỏi bề mặt kim loại canxi (Ca) là 2,76 eV. Giới hạn quang điện của kim loại này là
A. 0,36 μm.
B. 0,66 μm.
C. 0,72 μm.
D. 0,45 μm
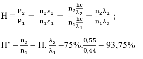
Câu 32: Một chất phát quang, khi hấp thụ ánh sáng có bước sóng λ1 = 0,44 μm thì phát ra ánh sáng có bước sóng X2 = 0,55 μm. Hiệu suất của sự phát quang (tỉ số giữa năng lượng của ánh sáng phát quang và năng lượng của ánh sáng hấp thụ trong 1 đơn vị thời gian) là 75%. Tính phần trăm số phôtôn bị hấp thụ đã dẫn đến sự phát quang?
A. 93,75%.
B. 75%.
C. 93%.
D. 84%.
Câu 33: Các đồng vị phóng xạ không sử dụng phổ biến trong việc nào sau đây?
A. Xác định niên đại của các cổ vật.
B. Theo dõi sự thâm nhập và di chuyển của các nguyên tố nhất định.
C. Nghiên cứu về biến đổi di truyền.
D. Dò tìm khuyết tật trong các chi tiết máy.
Câu 34: Độ hụt khối của hạt nhân là hiệu số của
A. khối lượng hạt nhân với tổng khối lượng của các nuclôn tạo thành hạt nhân đó.
B. tổng khối lượng của các nuclôn tạo thành hạt nhân đó với khối lượng hạt nhân đó
C. khối lượng hạt nhân trước phản ứng với khối lượng hạt nhân tạo thành sau phản ứng
D. khối lượng hạt nhân phóng xạ với tổng khối lượng hạt nhân con và khối lượng hạt phóng xạ
Câu 35: Hạt nhân sắt 5626Fe được cấu tạo nên từ
A. 56 nơtron, 56 electron.
B. 30 nơtron, 26 prôtôn và 26 electron
C. 26 nơtron và 30 prôtôn.
D. 30 nơtron và 26 prôtôn.
Câu 36: Chu kì bán rã của một chất phóng xạ là 2,5 năm. Sau năm năm tỉ số giữa các hạt còn lại và số hạt nhân ban đầu của chất phóng xạ đó là
A. 0,125.
B. 4.
C. 0,25.
D. 2.
Câu 37: Biết rằng năng lượng liên kết cho một nuclôn trong các hạt nhân 2010Ne, 42He và 126C tương ứng bằng 8,03 MeV ; 7,07 MeV và 7,68 MeV. Năng lượng cần thiết để tách một hạt nhân 2010Ne thành hai hạt α và một hạt nhân 126C là
A. 3,79 MeV.
B. 7,59 MeV.
C. 22,78 MeV.
D. 11,88 MeV.
Câu 38: Nếu đưa một lõi sắt non vào trong lòng cuộn cảm của mạch dao động LC thì chu kì dao động điện từ sẽ
A. tăng.
B. giảm.
C. không đổi.
D. có thể tăng hoặc giảm.
Câu 39: Khi ánh sáng truyền từ nước ra không khí thì
A. vận tốc và bước sóng ánh sáng giảm.
B. vận tốc và tần số ánh sáng tăng
C. vận tốc và bước sóng ánh sáng tăng.
D. bước sóng và tần số ánh sáng không đổi.
Câu 40: Cho một con lắc lò xo nằm ngang lí tưởng gồm một lò xo nối với một vật nặng trượt không ma sát trên một mặt phẳng nằm ngang. Khi công suất của lực đàn hồi của lò xo đạt độ lớn cực đại thì tỉ số giữa động năng và thế năng của con lắc bằng
A.2.
B. 0,5.
C. 0,75.
D. 1.
2. Đáp án câu hỏi trắc nghiệm ôn thi Đại học môn Vật Lí
| Câu | 1 | 2 | 3 | 4 | 5 | 6 | 7 | 8 | 9 | 10 |
| Đáp án | C | B | D | A | B | C | B | C | D | B |
| Câu | 11 | 12 | 13 | 14 | 15 | 16 | 17 | 18 | 19 | 20 |
| Đáp án | A | A | D | C | C | D | D | D | A | A |
| Câu | 21 | 22 | 23 | 24 | 25 | 26 | 27 | 28 | 29 | 30 |
| Đáp án | B | A | A | B | B | A | D | B | D | D |
| Câu | 31 | 32 | 33 | 34 | 35 | 36 | 37 | 38 | 39 | 40 |
| Đáp án | D | A | D | B | D | C | D | A | C | D |
3. Hướng dẫn giải câu hỏi trắc nghiệm ôn thi Đại học môn Vật Lí
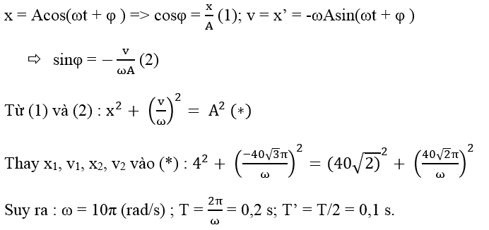
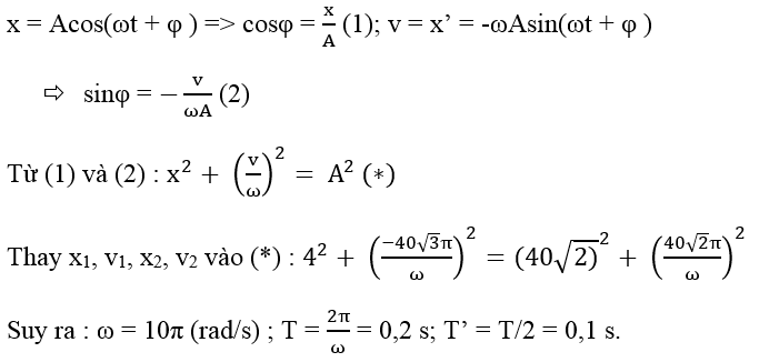
Câu 4:

Câu 5:

Câu 7:

Câu 12:

Câu 16:
Uicosφ = 82,5 + I2R.
Thay số ta có: 30I2 – 180I + 82,5 = 0 => I = 0,5A và 5,5 A.
Nghiệm 5,5 A loại vì Php rất lớn. Vậy I = 0,5A.
Câu 17:

Câu 32:

Câu 40:

Mời các bạn tham khảo thêm các bài viết dưới đây của chúng tôi:
- Ôn thi Đại học môn Vật Lí có đáp án - Đề số 9
- Ôn thi Đại học môn Vật Lí có đáp án - Đề số 10
- Ôn thi Đại học môn Vật Lí có đáp án - Đề số 11
- Ôn thi Đại học môn Vật Lí có đáp án - Đề số 12
- Ôn thi Đại học môn Vật Lí có đáp án - Đề số 13
- Ôn thi Đại học môn Vật Lí có đáp án - Đề số 14
- Ôn thi Đại học môn Vật Lí có đáp án - Đề số 15
Trên đây VnDoc đã giới thiệu tới các bạn Ôn thi Đại học môn Vật Lí có đáp án - Đề số 16. Để có kết quả cao hơn trong học tập, VnDoc xin giới thiệu tới các bạn học sinh tài liệu Soạn bài lớp 12, Giải bài tập Toán lớp 12, Giải bài tập Hóa học lớp 12, Giải bài tập Vật Lí 12, Tài liệu học tập lớp 12 mà VnDoc tổng hợp và đăng tải.