Bộ đề thi học kì 1 lớp 7 môn Toán năm học 2019 - 2020
Bộ đề thi học kì 1 lớp 7 môn Toán năm 2019 - 2020 là bộ đề thi học kì 1 môn Toán mới nhất trên VnDoc.com với 5 đề thi khác nhau có đáp án đi kèm, sẽ là tài liệu tham khảo hữu ích dành cho thầy cô tham khảo ra đề, cũng như các em học sinh ôn luyện, chuẩn bị cho kì thi học kì 1 môn Toán đạt kết quả cao. Mời các bạn tải về để xem toàn bộ 5 đề và đáp án của Bộ đề thi học kì 1 lớp 7 môn Toán năm 2019 của chúng tôi.
Nhằm mang đến nguồn tài liệu hữu ích cho các em học sinh ôn tập chuẩn bị cho bài thi học kì 1 sắp tới, VnDoc giới thiệu Bộ đề kiểm tra học kì 1 lớp 7 được biên soạn bám sát với đề thi thực ,giúp các em ôn luyện hiệu quả. Đây cũng là nguồn tài liệu hữu ích cho các thầy cô giáo tham khảo ra đề thi.
Bộ 5 đề thi Toán 7 học kỳ 1 có đáp án năm 2019
ĐỀ THI HỌC KÌ 1 MÔN TOÁN LỚP 7 SỐ 1
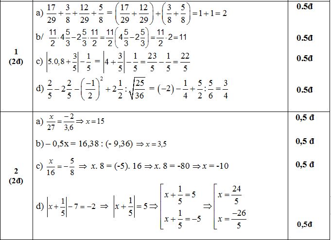
Bài 1. (2 điểm) Thực hiện phép tính (tính hợp lí nếu có thể):

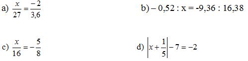
Bài 2. (2 điểm) Tìm x, biết:

Bài 3. (3 điểm):
a) Cho hàm số y = f(x) = 2x - 1. Tính f(-2), f(
\(\frac{1}{2}\))
b) Hai thanh đồng có thể tích là 20cm3 và 27cm3. Hỏi mỗi thanh đồng nặng bao nhiêu gam biết rằng tổng khối lượng của cả hai thanh là 141 gam. Tính khối lượng của mỗi thanh?
Bài 4. (2,5 điểm): Cho góc xOy < 900. Vẽ tia Oz là tia phân giác của góc xOy. Trên tia Ox lấy điểm A, trên tia Oy lấy điểm B sao cho OA = OB. Gọi M là giao điểm của đoạn AB với tia Oz.
a) Chứng minh: AOM = BOM và AM = BM.
b) Chứng minh: OM là đường trung trực của đoạn thẳng AB.
c) Trên tia Ox lấy điểm C, trên tia Oy lấy điểm D sao cho AC = BD. Chứng minh: AB // CD
Bài 5. (0,5 điểm)
Một tổ có 11 học sinh thảo luận về học tập. Có 1 học sinh phát biểu 4 lần, các học sinh khác đều phát biểu nhưng có số lần phát biểu ít hơn. Chứng minh rằng ít nhất cũng có 4 học sinh có số lần phát biểu như nhau ?
---------- HẾT ----------
Chú ý: Học sinh không được phép dùng máy tính
ĐÁP ÁN ĐỀ THI HỌC KÌ 1 MÔN TOÁN 7 SỐ 1





ĐỀ KIỂM TRA HỌC KÌ 1 LỚP 7 MÔN TOÁN - ĐỀ SỐ 2

Câu 5: Nếu một đường thẳng c cắt hai đường thẳng a, b và trong các góc tạo thành có một cặp góc...... thì a//b. Cụm từ trong chỗ trống (...) là:
A. so le trong
B. đồng vị bằng nhau
C. trong cùng phía bằng nhau
D. Cả A, B đều đúng
Câu 6: Cho a⊥b và b//c thì:
A. a//c
B. a ⊥ c
C. b ⊥ c
D. a//b//c
Câu 7: Cho tam giác ABC có
\(\hat{A}\) = 300,
\(\hat{B}\) = 500 Số đo góc ngoài tại đỉnh C bằng:
A. 400
B. 500
C. 800
D. 1800
Câu 8: Cho Δ DEF = Δ MNP suy ra
A. DE = MP
B. DF = NM
C. FE = NP
D. Cả B và C đúng.
Câu 9: y tỉ lệ thuận với x theo hệ số tỉ lệ – 3 thì y và x liên hệ với nhau theo công thức:
A. y = - 3x
B. y =
\(-\frac{1}{3} x\)
C. y =
\(\frac{1}{3}x\)
D. y = 3x
Câu 10: Cho y tỉ lệ nghịch với x theo hệ số tỉ lệ là a, khi x = 1 thì y = 3. Vậy hệ số tỉ lệ a bằng:
A. 2
B. 0,5
C. 18
D. 3
Câu 11: Cho hàm số y =f(x) = 2x + 1.Thế thì f(-1) bằng :
A. 1
B. – 1
C. 3
D. – 3
Câu 12: Trong các điểm sau, điểm nào thuộc đồ thị hàm số y = 3x
A. (- 1; - 3)
B. (- 1; 3)
C. (- 2: 1)
D. ( - 2; - 1)
TỰ LUẬN: (7 điểm)
Bài 1: (1,5điểm) 
Bài 2: (1,5điểm) Tính diện tích của một hình chữ nhật biết tỉ số giữa 2 kích thước của chúng là 0,6 và chu vi của hình chữ nhật đó là 32m.
Bài 3: (1,0điểm) Vẽ đồ thị hàm số: y =
\(-\frac{2}{3}x\)
Bài 4: (2,5điểm) Cho tam giác MNP có MN = MP và tia phân giác góc M cắt NP ở H.
Chứng minh b) Chứng minh MH NP
- c) Vẽ HD MN và HE MP . Chứng minh: DE // NP
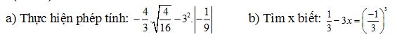
Bài 5: (0,5điểm) Tìm x biết: ![]()
------------------------- HẾT -----------------------
Trên đây, VnDoc đã giới thiệu tới các bạn Bộ đề ôn thi học kì 1 môn Toán lớp 7 năm học 2019 - 2020 có đáp án, mời các bạn tải về để xem toàn bộ 5 đề thi và đáp án. Ngoài ra, các bạn có thể tham khảo thêm các tài liệu lớp 7 khác như: Giải bài tập Toán lớp 7, Giải Vở BT Toán 7 và các dạng đề thi học kì 1 lớp 7, Đề thi học kì 2 lớp 7 ... cũng được cập nhật liên tục trên VnDoc.com.
Tham khảo thêm:
- Bộ đề kiểm tra học kì 1 Toán 7 có đáp án năm 2019
- Đề thi học kì 1 Toán 7 có đáp án phòng GD&ĐT huyện Thanh Trì năm học 2019 - 2020
- Đề thi học kì 1 lớp 7 môn Toán trường THPT Chuyên Trần Đại Nghĩa năm học 2019 - 2020
- Đề thi học kì 1 lớp 7 môn Toán trường THCS Dịch Vọng năm học 2019 - 2020
- Đề thi học kì 1 lớp 7 môn Toán trường THCS Lương Thế Vinh năm học 2019 - 2020