Câu hỏi trắc nghiệm Vật lý 12 chương 3
Câu hỏi trắc nghiệm Vật lý 12 chương 3 Dòng điện xoay chiều
Câu hỏi trắc nghiệm Vật lý 12 chương 3 là tài liệu tham khảo nhằm ôn luyện lại kiến thức môn Lý 12 được học trên lớp, đồng thời mở rộng vốn hiểu biết của bản thân thông qua các dạng bài tập Vật lý khác nhau cũng như kiến thức nâng cao. Mời các bạn cùng tham khảo chi tiết và tải về tại đây nhé.
- Câu hỏi trắc nghiệm Vật lý 12 chương 3
- Câu hỏi trắc nghiệm Vật lý 12 bài 18
- Câu hỏi trắc nghiệm Vật lý 12 bài 20
VnDoc.com xin gửi tới bạn đọc bài viết Câu hỏi trắc nghiệm Vật lý 12 chương 3 Dòng điện xoay chiều để bạn đọc cùng tham khảo. Bài viết được tổng hợp gồm có 12 câu hỏi trắc nghiệm về chương 3 Dòng điện xoay chiều trong môn Vật lý lớp 12. Bài tập có đáp án chi tiết kèm theo. Mời các bạn cùng tham khảo chi tiết và tải về tại đây nhé.
Trắc nghiệm Vật lý 12 chương 3: Dòng điện xoay chiều
Câu 1: Một khung dây quay đều trong từ trường đều quanh trục nằm trong mặt phẳng của khung và vương góc với các đường sức từ. Nếu giảm chu kì quay đi 2 lần và giảm độ lớn cảm ứng của từ trường đi 3 lần thì suất điện động hiệu dụng trong khung sẽ
A. Tăng 3 lầm
B. Tăng 1,5 lần
C. Giảm 6 lần
D. Giảm 1,5 lần
Câu 2: Nối hai đầu đạon mạch R, L, C mắc nối tiếp vào mạng điện xoay chiều có tần số f1 thì cảm kháng là 15 Ω và dung kháng là 60 Ω. Nếu mạng điện có tần số f2 = 50 Hz thì dòng điện trong mạch cùng pha với điện áp ở hai đầu đoạn mạch. Tần số f1 là
A. 25 Hz
B. 100 Hz
C. 150 Hz
D. 200 Hz
Câu 3: Cho đoạn mạch điện xoay chiều có R, L, C mắc nối tiếp, trong đó ZC biến đổi được. Nếu cho ZC tăng thêm 30 Ω so với giá trị lúc có cộng hưởng điện thì điện áp ở hai đầu đoạn mạch lệch pha π/3 so với dòng điện trong mạch. Điện trở R có giá trị là
A. 15√2 Ω
B. 10√3 Ω
C. 15√3 Ω
D. 10√2 Ω
Câu 4: Một đoạn mạch điện xoay chiều gồm hai cuộn dây mắc nối tiếp. Độ tự cảm và điện trở thuần của hai cuộn dây lần lượt là L1; r1; L2; r2. Điều kiện để điện áp hiệu dụng giữa hai đầu đoạn mạch bằng tổng điện áp hiệu dụng giữa hai đầu hai cuộn dây là
A. L1r1 = L2r2
B. L1r12 = L2r22
C. L1r2 = L2r1
D. L1r22 = L2r12
Câu 5: Cho đoạn mạch điện có R, L, C mắc nối tiếp, trong dố R là một biến trở. Đặt vào hai đầu đoạn mạch một điện áp xoay chiều có điện áp hiệu dụng là U = 120 V. Khi điện trở biến trở bằng 40 Ω hoặc 160 Ω thì đoạn mạch tiêu thụ cùng công suất. Khi điều chỉnh biến trở, công suất cực đại mà đoạn mạch có thể đạt được là
A. 180 W
B. 144 W
C. 72 W
D. 90 W
Câu 6: Đặt điện áp u = 110√2 cosωt (V) (với ω không đổi) vào hai đầu đoạn mạch R, L, C nối tiếp. Biết độ tự cảm và điện dung của mạch điện được giữ không đổi. Điều chỉnh R ta thấy giá trị hiệu dụng của cường độ dòng điện trong mạch là I = 2 A thì công suất tiêu thụ của đoạn mạch cực đại. Công suất cực đại bằng
A. 110 W
B. 220 W
C. 110√2 W
D. 110√3 W
Câu 7: Đặt điện áp u = U√2 cosωt vào hai đầu đoạn mạch R, L, C mắc nối tiếp có điện dung C thay đổi được. Điện áp hiệu dụng UR đạt cực đại khi ZC có giá trị
A. ZC = R
B. ZC = ZL
C. ZC =
\(\frac{Z_L}{2}\)
D. ZC =
\(\frac{R}{2}\)
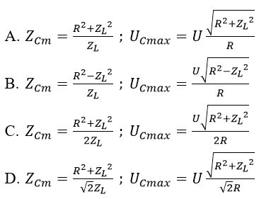
Câu 8: Đặt điện áp áp u = U√2 cosωt vào hai đầu đoạn mạch R, L, C mắc nối tiếp có điện dung C thay đổi được. Điện áp hiệu dụng UC đạt cực đại khi ZCm = và UCmax có biểu thức

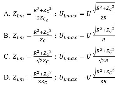
Câu 9: Đặt điện áp áp u = U√2 cosωt vào hai đầu đoạn mạch R, L, C mắc nối tiếp có độ tự cảm L thay đổi được. Điện áp hiệu dụng UL đạt cực đại khi ZLm và ULmax có biểu thức

Câu 10: Cho đoạn mạch xoay chiều có R, L, C mắc nối tiếp, trong đó R là một biến trở. Đặt vào hai đầu đoạn mạch một điện áp u = U√2 cosωt. Khi điện trở của biến trở bằng R1 hoặc R2 thì đoạn mạch tiêu thụ cùng công suất là P. Công suất đó có giá trị là

Câu 11: Cho đoạn mạch xoay chiều có R, L, C mắc nối tiếp, cuộn cảm thuần có độ tự cảm thay đổi. Đặt vào hai đầu đoạn mạch một điện áp xoay chiều có U và ω không thay đổi. Khi điều chỉnh độ tự cảm đến giá trị L = 2/(ω2C) thì điện áp hiệu dụng giữa hai đầu cuộn cảm L đạt giá trị cực đại. Khi đó độ lệch pha giữa điện áp u và i trong đoạn mạch là

Câu 12: Cho mạch điện xoay chiều gồm điện trở thuần R = 50 Ω, tụ điện có dung kháng là 50 Ω và một cuọn cảm thuần có cảm kháng là 100 Ω mắc nối tiếp. Điện áp giữa hai đầu đoạn mạch có biểu thức u=200√2 cos100πt (V). Biểu thức của điện áp giữa hai đầu cuộn dây là

Đáp án Bài tập trắc nghiệm Vật lý 12
| Câu | 1 | 2 | 3 | 4 | 5 | 6 | 7 | 8 | 9 | 10 | 11 | 12 |
| Đáp án | D | A | B | C | D | C | B | A | B | A | D | C |
Trên đây VnDoc.com vừa giới thiệu tới các bạn Câu hỏi trắc nghiệm Vật lý 12 chương 3 Dòng điện xoay chiều, mong rằng qua đây các bạn có thể học tập tốt môn Vật lý 12. Mời các bạn cùng tham khảo thêm các môn Toán 12, Ngữ văn 12, Tiếng Anh 12, đề thi học kì 1 lớp 12, đề thi học kì 2 lớp 12...
Mời bạn đọc cùng tham gia nhóm Tài liệu học tập lớp 12 để có thêm tài liệu học tập nhé