Câu hỏi trắc nghiệm Vật lý 12 chương 1
Trắc nghiệm Vật lý 12 bài Dao động cơ
Câu hỏi trắc nghiệm Vật lý 12 chương 1 do VnDoc sưu tầm và biên soạn nhằm ôn luyện lại kiến thức môn Lý 12 được học trên lớp, đồng thời mở rộng vốn hiểu biết của bản thân thông qua các dạng bài tập Vật lý khác nhau cũng như kiến thức nâng cao. Mời các bạn cùng tham khảo chi tiết tại đây nhé.
- Câu hỏi trắc nghiệm Vật lý 12 chương 1
- Câu hỏi trắc nghiệm Vật lý 12 bài 5
- Câu hỏi trắc nghiệm Vật lý 12 bài 7
VnDoc.com xin gửi tới bạn đọc bài viết Câu hỏi trắc nghiệm Vật lý 12 chương 1 Dao động cơ để bạn đọc cùng tham khảo. Bài viết được tổng hợp gồm có 14 câu hỏi trắc nghiệm về chương 1 Dao động cơ trong môn Vật lý lớp 12. Bài tập trắc nghiệm có đáp án chi tiết kèm theo. Mời các bạn cùng tham khảo chi tiết và tải về tại đây nhé.
Trắc nghiệm Vật lý 12 chương 1: Dao động cơ
Câu 1: Một chất điểm dao động điều hòa trên đoạn thẳng MN dài 12 cm với tần số 2 Hz, Chọn gốc thời gian là lúc chất điểm có li độ 3√3 cm và chuyển động ngược chiều với chiều dương đã chọn. Phương trình dao động của chất điểm là

Câu 2: Một chất điểm dao động điều hòa với tần số 3Hz trên quỹ đạo là một đoạn thẳng dài 12cm. Vận tốc của chất điểm có độ lớn cực đại bằng
A. 30 cm/s
B. 20 cm/s.
C. 113 cm/s
D. 0,52 m/s
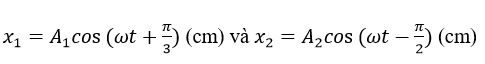
Câu 3: Hai dao động điều hòa cùng phương, có các phương trình dao động là

Biên độ dao động tổng hợp là
A. 5√3 cm.
B. 2,5√3 cm.
C. 5 cm.
D. 2,5 cm.
Câu 4: Hai dao động điều hòa cùng phương, cùng tần số có các phương trình dao động là:

Phương trình dao động tổng hợp là: x = 9cos(ωt+ φ) (cm). Biên độ A1 thay đổi được. Biết A1 có giá trị sao cho A2 có giá trị lớn nhất. Giá trị lớn nhất của A2 khi đó là
A. 9 cm.
B. 18 cm.
C. 9√2 cm.
D. 9√3 cm.
Câu 5: Một vật dao động điều hòa theo phương ngang, mốc thế năng tại vị trí cân bằng. Khi lực tác dụng lên vật có giá trị bằng 0,25 độ lớn lực cực đại tác dụng lên vật thì tỉ số giữ thế năng và động năng của con lắc là
A. 16
B. 15
C. 1/15
D. 1/16
Câu 6: Một vật dao động điều hòa với chu kì bằng T, tại thời điểm t = 0 vật đi qua vị trí có li độ bằng một nửa biên độ và đang đi theo chiều âm của trục tọa độ. Trong thời gian 16T/3 kể từ t = 0 vật đi được quãng đường 1,29 m. Biên độ dao động của vật bằng
A. 6 cm
B. 8 cm
C. 10 cm
D. 5 cm
Câu 7: Một con lắc lò xo thẳng đứng, đầu dưới có vật m, dao động với biên độ 6,25 cm, tỉ số giữa lực cực đại và lực cực tiểu tác dụng vào điểm treo trong quá trình dao động là 5/3; lấy g = π2 = 10 m/s2. Tần số dao động là
A. 1 Hz
B. 0,5 Hz
C. 0,25 Hz
D. 0,75 Hz.
Câu 8: Hai con lắc lò xo giống nhau treo vào hai điểm trên cùng giá đỡ nằm ngang. Chọn trục tọa độ Ox có phương thẳng đứng, chiều hướng xuống dưới thì phương trình dao động của hai con lắc là x1 = 4cos20t và x2 = 4√3 cos(20t+π/2) với x đo bằng cm, t đo bằng s. Biết lò xo có độ cứng k = 0,5 N/cm, gia tốc trọng trường g = 10 m/s2. Lực cực đại do hai con lắc tác dụng lên giá đỡ là
A. 4,5 N.
B. 6,5 N
C. 2,5 N.
D. 1,5 N.
Câu 9: Hai con lắc đơn dao động điều hòa tại cùng một nơi trên Trái Đất, có cơ năng bằng nhau. Quả nặng của chúng có cùng khối lượng. Chiều dài dây treo con lắc thứ nhất bằng 1,5 lần chiều dài dây treo con lắc thứ hai (l1 = 1,5l2). Quan hệ giữa biên độ góc của hai con lắc đó là

Câu 10: Một con lắc đơn gồm vật nặng khối lượng m = 100g, dây treo dài l = 80 cm, đặt tại nơi có g = 10 m/s2. Kéo dây treo cho vật lệch khỏi vị trí cân bằng một đoạn A rồi thả không vận tốc đầu, con lắc dao động điều hòa với cơ năng W = 8,1.10-4 J . Biên độ dao động A của con lắc là
A. 2,4 cm
B. 3,6 cm
C. 4,8 cm
D. 7,2 cm.
Câu 11: Phát biểu nào sau đây là sai khi nói về hiện tượng cộng hưởng?
A. Điều kiện xảy ra hiện tượng cộng hưởng là hệ phải dao động cưỡng bức dưới tác dụng của ngoại lực biến thiên tuần hoàn có tần số ngoại lực f bằng tần số riêng của hệ fo.
B. Biên độ cộng hưởng không phụ thuộc vào lực cản của môi trường.
C. Hiện tượng đặc biệt xảy ra trong dao động cưỡng bức là hiện tượng cộng hưởng.
D. Khi cộng hưởng, biên độ của dao động cưỡng bức tăng đột ngột và đạt giá trị cực đại.
Câu 12: Chọn phát biểu đúng khi nói về dao động cưỡng bức.
A. Tần số của dao động cưỡng bức là tần số của ngoại lực tuần hoàn.
B. Tần số của dao động cưỡng bức cũng là tần số riêng của hệ.
C. Biên độ của dao động cưỡng bức là biên độ của ngoại lực tuần hoàn.
D. Biên độ của dao động cưỡng bức chỉ phụ thuộc vào tần số của ngoại lực tuần hoàn.
Câu 13: Một dao động tắt dần có biên độ giảm 2% sau mỗi chu kì. Sau 5 chu kì phần cơ năng dao động còn lại là
A. 70%
B. 75%
C. 78,1%
D. 81,5%.
Câu 14: Một chất điểm dao động điều hòa không ma sát theo trục Ox. Biết rằng trong quá trình khảo sát vật chưa đổi chiều chuyển động. Khi vừa rời khỏi vị trí cân bằng một đoạn s thì động năng của chất điểm là 13,95 mJ. Đi tiếp một đoạn s nữa thì động năng của chất điểm chỉ còn 12,6 mJ. Nếu chất điểm đi thêm một đoạn s nữa thì động năng của nó là
A. 6,68 mJ
B. 11,25 mJ
C. 10,35 mJ
D. 8,95 mJ.
Đáp án Bài tập trắc nghiệm Vật lý 12
| Câu | 1 | 2 | 3 | 4 | 5 | 6 | 7 | 8 | 9 | 10 | 11 | 12 | 13 | 14 |
| Đáp án | B | C | B | B | C | A | A | B | D | B | B | A | D | C |
Trên đây VnDoc.com vừa giới thiệu tới các bạn Câu hỏi trắc nghiệm Vật lý 12 chương 1 về Dao động cơ, mong rằng qua đây các bạn có thể học tập tốt môn Vật lý 12. Mời các bạn cùng tham khảo thêm các môn Toán 12, Ngữ văn 12, Tiếng Anh 12, đề thi học kì 1 lớp 12, đề thi học kì 2 lớp 12...
Mời bạn đọc cùng tham gia nhóm Tài liệu học tập lớp 12 của VnDoc.com để có thêm tài liệu học tập nhé