Bài 1: Cuộc đua cún cưng 1. Sắp xếp các phân số 1/5; 1/4; 2/9; 2/7 theo thứ tự từ lớn đến bé2/7; 1/4; 2/9; 1/5
Đáp án là:
Bài 1: Cuộc đua cún cưng 1. Sắp xếp các phân số 1/5; 1/4; 2/9; 2/7 theo thứ tự từ lớn đến bé2/7; 1/4; 2/9; 1/5





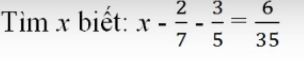
là ... phân số.