Cường độ dòng điện là gì?
VnDoc xin giới thiệu bài Cường độ dòng điện là gì? được chúng tôi sưu tầm và tổng hợp lí thuyết trong chương trình giảng dạy môn Vật lý lớp 7. Hi vọng rằng đây sẽ là những tài liệu hữu ích trong công tác giảng dạy và học tập của quý thầy cô và các bạn học sinh.
Lưu ý: Nếu bạn muốn Tải bài viết này về máy tính hoặc điện thoại, vui lòng kéo xuống cuối bài viết.
Cường độ dòng điện là gì?
Câu hỏi: Cường độ dòng điện là gì?
Trả lời:
Cường độ dòng điện hiểu đơn giản như đúng tên gọi của nó, là đại lượng biểu thị độ mạnh yếu của dòng điện. Hay hiểu một cách bản chất hơn thì cường độ dòng điện đặc trưng cho số lượng tương đối các điện tích đi qua tiết diện của vật dẫn trong một khoảng thời gian xác định (thường là 1 giây).
Cường độ dòng điện được chia làm hai loại. Thứ nhất, cường độ dòng điện không đổi là cường độ dòng điện có giá trị bất biến theo thời gian khi đi qua vật dẫn. Còn cường độ dòng điện hiệu dụng là đại lượng có giá trị bằng cường độ dòng điện không đổi, làm sao để cho trong dòng điện xoay chiều, dòng điện đi qua cùng một điện trở có công suất tiêu thụ như nhau.
I. Cường độ dòng điện có ký hiệu như thế nào?
Trong hệ đo lường quốc tế SI, cường độ của dòng điện được kí hiệu là I. Đơn vị đo của cường độ dòng điện là Ampe viết tắt là A. Nó được đặt theo tên viết tắt của André Marie Ampère – nhà vật lý học và toán học người Pháp. Mỗi một đơn vị ampe sẽ tương ứng với dòng chuyển động của 6,24150948.1018 điện tử e (1 culông) trong 1 giây qua 1 diện tích dây dẫn. Cụ thể 1A = 1C/s.
Cường độ dòng điện giúp cung cấp thông tin về độ mạnh yếu của dòng điện. Tạo sự ổn định cho các thiết bị điện giúp chúng có độ bền cao khi có cường độ được điều chỉnh ở mức độ phù hợp. Những dòng điện có cường độ thấp được dùng vào y học để chữa bệnh như biện pháp rung tim,… Tuy nhiên, những dòng điện có cường độ cao thì lại có thể gây giật điện nguy hiểm cho con người thậm chí là gây tử vong
II. Công thức tính cường độ dòng điện
Cường độ dòng điện được tính dựa vào biểu thức sau:
I = Q/t = (q1 + q2 + q3+…+qn) /t
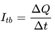
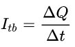
Từ công thức phía trên ta sẽ thấy cường độ trung bình của dòng điện ở một khoảng thời gian sẽ được tính bằng thương số của điện lượng chuyển qua bề mặt trong khoảng thời gian đó với khoảng thời gian đang xét. Chúng ta có công thức tính cường độ dòng điện trung bình dạng rút gọn là:

Trong biểu thức này bao gồm:
I tb: chính là cường độ trung bình của dòng điện (A)
ΔQ: là tổng điện lượng chuyển qua bề mặt được xét tại một khoảng thời gian Δt (C).
Δt: là một khoảng thời gian được xét.
Từ đó ta có cường độ tức thời của dòng điện được tính như sau:
Trong biểu thức này:

I: là cường độ dòng điện
P: là công suất tiêu thụ của thiết bị điện
U: là hiệu điện thế
Công thức khác:
Hoặc U = I.R
Bên trong đó:
I: chính là cường độ dòng điện (đơn vị A)
U: là hiệu điện thế (đơn vị U)
R: là điện trở (đơn vị Ôm)
III. Cường độ dòng điện và hiệu điện thế
Mối tương quan giữa cường độ dòng điện và hiệu điện thế được coi là không thể thiếu. Hiểu một cách đơn giản là khi có hiệu điện thế trên mạch điện dây dẫn thì khi đó mới xuất hiện cường độ dòng điện.
Tóm tắt cơ bản như sau:
Hiệu điện thế:
- Khái niệm: sự khác biệt điện áp giữa hai điểm
- Ký hiệu: U
- Đơn vị: V – vôn
- Mối quan hệ: hiệu điện thế tạo nên cường độ dòng điện, có hiệu điện thế mà không cần có cường độ dòng điện
Cường độ dòng điện:
- Khái niệm: tốc độ của dòng điện khi đi từ điểm này tới điểm kia
- Ký hiệu: I
- Đơn vị: A – ampe
- Mối quan hệ: cường độ dòng điện được tạo ra bởi hiệu điện thế, không thể có cường độ dòng điện mà không có hiệu điện thế.
IV. Cường độ dòng điện xoay chiều
Khác với dòng điện một chiều, dòng điện xoay chiều là dòng điện có chiều và cường độ dòng điện có thể biến đổi tuần hoàn theo các chu kì thời gian nhất định. Dòng điện này được viết tắt là AC (Alternating Current)). Dòng điện xoay chiều chính là hệ thống điện lưới mà chúng ta đang sử dụng hàng ngày đấy. Dòng điện này thường được tạo ra từ những chiếc máy phát điện xoay chiều tại các nhà máy điện hoặc nó được biến đổi qua lại giữa hai dòng AC – DC nhờ những mạch điện đặc thù.
Chu kỳ của dòng điện xoay chiều được ký hiệu là: T với T chính là khoảng thời gian để dòng điện xoay chiều lặp lại vị trí cũ.
Tần số kí hiệu là: F là sự nghịch đảo của chu kì dòng điện xoay chiều.
Trên đây là tổng hợp những công thức tính cường độ dòng điện được sử dụng phổ biến nhất hiện nay. Hy vọng những chia sẻ trên đây có thể hữu ích đối với quý vị trong cuộc sống thực tiễn.
---------------------------------------------------------
Như vậy VnDoc đã giới thiệu các bạn tài liệu Cường độ dòng điện là gì? Mời các bạn tham khảo thêm tài liệu: Vật Lý lớp 7, Giải bài tập môn Vật lý lớp 7, Giải vở bài tập Vật Lý 7, Tài liệu học tập lớp 7, ngoài ra các bạn học sinh có thể tham khảo thêm đề học kì 1 lớp 7 và đề thi học kì 2 lớp 7 mới nhất được cập nhật.