Đoạn mạch nối tiếp là gì?
Đoạn mạch nối tiếp là gì? được VnDoc sưu tầm và tổng hợp lí thuyết trong chương trình giảng dạy môn Vật lý lớp 7. Hi vọng rằng đây sẽ là những tài liệu hữu ích trong công tác giảng dạy và học tập của quý thầy cô và các bạn học sinh.
Lưu ý: Nếu bạn muốn Tải bài viết này về máy tính hoặc điện thoại, vui lòng kéo xuống cuối bài viết.
Đoạn mạch nối tiếp là gì?
- 1. Đoạn mạch nối tiếp
- 2. Điện trở tương đương của đoạn mạch nối tiếp
- 3. Tụ điện trong đoạn mạch nối tiếp
- 4. Ampe kế mắc trong đoạn mạch nối tiếp
- 5. Cuộn cảm trong mạch nối tiếp
- 6. Nguồn cấp trong đoạn mạch nối tiếp
- 7. Đo cường độ dòng điện và hiệu điện thế đối với đoạn mạch nối tiếp
- 8. Bài tập đoạn mạch mắc nối tiếp
1. Đoạn mạch nối tiếp
Một mạch được gọi là đoạn mạch nối tiếp nếu các thành phần được kết nối liên tiếp nhau hoặc hình thành tầng trong một dòng duy nhất. Một mạch nối tiếp tạo thành một con đường chỉ có một vòng, do đó, dòng điện chạy qua các thành phần là như nhau và điện áp phân chia tùy thuộc vào điện trở của từng thành phần.
Dòng điện trong đoạn mạch nối tiếp
Dòng điện qua từng thành phần trong mạch nối tiếp vẫn giữ nguyên và nó bằng với dòng điện được cung cấp bởi nguồn điện. Vì chỉ có một đường dẫn cho dòng điện chảy, dòng điện không phân chia.
I = I1 = I2
Điện áp trong mạch nối tiếp
Tổng điện áp rơi trên mỗi thành phần trong mạch nối tiếp bằng điện áp cung cấp. Điện áp là một mạch nối tiếp phân chia giữa các thành phần dựa trên điện trở của chúng. Do đó, điện áp rơi trên mỗi thành phần là khác nhau và phụ thuộc vào giá trị điện trở của các thành phần.
Hiệu điện thế giữa hai đầu đoạn mạch bằng tổng hai hiệu điện thế giữa hai đầu mỗi điện trở thành phần:
U = U1 + U2
2. Điện trở tương đương của đoạn mạch nối tiếp
a) Điện trở tương đương
Điện trở tương đương của một đoạn mạch gồm các điện trở là điện trở có thể thay thế cho đoạn mạch này sao cho với cùng hiệu điện thế thì cường độ dòng điện chạy qua đoạn mạch vẫn có giá trị như trước.
b) Công thức tính điện trở tương đương của đoạn mạch gồm hai điện trở mắc nối tiếp
+ Điện trở tương đương của đoạn mạch bằng tổng hai điện trở thành phần:
![]()
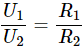
+ Hiệu điện thế giữa hai đầu mỗi điện trở tỉ lệ thuận với điện trở đó:

Chú ý:
Ampe kế, dây nối trong mạch thường có giá trị rất nhỏ so với điện trở của đoạn mạch cần đo cường độ dòng điện, nên ta có thể bỏ qua điện trở của ampe kế và dây nối khi tính điện trở của mạch nối tiếp.
3. Tụ điện trong đoạn mạch nối tiếp
Khi các tụ điện được kết nối nối tiếp, tổng điện dung hoặc tương đương của chúng giảm vì chênh lệch điện áp trên mỗi tụ giảm và điện tích được lưu trữ do điện áp này cũng giảm.

Tụ điện trong mạch nối tiếp
Tổng điện dung trong một mạch nối tiếp luôn nhỏ hơn điện dung riêng.
4. Ampe kế mắc trong đoạn mạch nối tiếp
Khi xét về điện trở, chúng ta cần tính tổng các điện trở thành phần. Tuy nhiên trong đoạn mạch nối tiếp thì điện trở của Ampe kế hoàn toàn có thể bỏ qua. Bởi lẽ, điện trở của Ampe kế tác dụng lên dòng điện là rất nhỏ. Chúng ta thường lắp Ampe kế để đo cường độ dòng điện có trong mạch. Chính vì vậy, khi tính về điện trở, chúng ta có thể bỏ qua điều này.

Đoạn mạch có các thiết bị điện lắp nối tiếp nhau
5. Cuộn cảm trong mạch nối tiếp
Tổng độ tự cảm của hai hoặc nhiều hơn hai cuộn cảm trong một mạch nối tiếp là tổng của cuộn cảm riêng lẻ.
L td = L₁ + L₂ + L₃ +…+ Ln
Tổng độ tự cảm tăng và nó luôn luôn lớn hơn độ tự cảm riêng lẻ trong một mạch nối tiếp.
6. Nguồn cấp trong đoạn mạch nối tiếp
Nếu hai hoặc nhiều hơn hai nguồn cung cấp được kết nối nối tiếp thì tổng điện áp hoặc tương đương của chúng sẽ là tổng của các điện áp riêng trong khi tổng dòng điện được cung cấp sẽ giữ nguyên như dòng điện được cung cấp bởi nguồn cung cấp riêng lẻ.
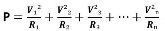
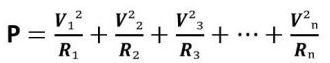
Bạn có thể sử dụng các công thức điện sau đây để tính công suất trong mạch nối tiếp:
P = I 2 R 1 + I 2 R 2 + … I 2 R n
hoặc là

Công suất mạch nối tiếp
Vì vậy, nếu bạn muốn tăng điện áp của nguồn cung cấp kết nối nối tiếp. Ví dụ, hai pin 6v được kết nối nối tiếp sẽ cung cấp điện áp 12V cho tổng điện áp.
7. Đo cường độ dòng điện và hiệu điện thế đối với đoạn mạch nối tiếp
Cách mắc mạch
- Cách mắc nối tiếp: cuối thiết bị này được nối với đầu thiết bị kia
- Cách mắc ampe kế: mắc nối tiếp ampe kế vào đoạn mạch sao cho chốt (+) của ampe kế được mắc về phía cực dương của nguồn điện
- Cách mắc vôn kế: mắc hai chốt của vôn kế song song vào hai điểm của mạch sao cho chốt (+) của vôn kế được nối về phía cực dương của nguồn điện
- Trong đoạn mạch nối tiếp, cường độ dòng điện tại mọi điểm đều bằng nhau
- Hiệu điện thế giữa hai đầu trong đoạn mạch mắc nối tiếp bằng tổng hiệu điện thế giữa hai đầu mỗi thiết bị thành phần
8. Bài tập đoạn mạch mắc nối tiếp
Câu 1: Đâu là phát biểu đúng nhất khi nói về cường độ dòng điện trong đoạn mạch nối tiếp?
- Trong đoạn mạch nối tiếp, cường độ dòng điện qua các vật dẫn phụ thuộc hoàn toàn vào điện trở các vật dẫn đó.
- Trong đoạn mạch nối tiếp, cường độ dòng điện có giá trị giống nhau (hay như nhau) tại mọi điểm.
- Trong đoạn mạch nối tiếp, cường độ dòng điện có giá trị chênh lệch với nhau khoảng 1 - 2 đơn vị.
- Trong đoạn mạch nối tiếp, cường độ dòng điện có giá trị càng nhỏ nếu điện trở của vật dẫn đó càng lớn.
=> Đáp án đúng: B
Câu 2: Hiệu điện thế giữa hai đầu đoạn mạch trong đoạn mạch nối tiếp sẽ như thế nào?
- Luôn luôn nhỏ hơn tổng hiệu của các hiệu điện thế của các điện trở thành phần.
- Lớn hơn hiệu điện thế của các điện trở thành phần.
- Bằng các tổng hiệu điện thế của các điện trở thành phần.
- Bằng các hiệu điện thế của các điện trở thành phần.
=> Đáp án đúng: C
Câu 3: Cho các công thức về đoạn mạch nối tiếp dưới đây, đâu là công thức sai?
- I=I1=I2=...=In
- U=U1+U2+...+Un
- Rtđ=R1+R2+...+Rn
- R=R1=R2=R3=...=Rn
=> Đáp án đúng: D
Câu 4: Cho hai điện trở R1 và R2 có giá trị lần lượt bằng 12 và 18, hai điện trở được mắc nối tiếp với nhau. Hỏi điện trở tương đương R12 của đoạn mạch đó sẽ bằng giá trị nào dưới đây?
- R12= 30 (ΩΩ)
- R12= 18 (ΩΩ)
- R12= 12 (ΩΩ)
- R12= 6 (ΩΩ)
=> Đáp án đúng: A
Câu 5: Cho hai điện trở R1 và R2 có giá trị lần lượt bằng 5 và 10, hai điện trở mắc nối tiếp nhau Cho cường độ dòng điện qua điện trở R1 bằng 4A. Hỏi nhận định nào dưới đây sai?
- Hiệu điện thế giữa hai đầu điện trở R1c ó giá trị bằng 20V
- Cường độ dòng điện qua hai đầu điện trở R2 có giá trị bằng 8A
- Điện trở tương đương của toàn mạch có giá trị bằng 15ΩΩ
- Hiệu điện thế hai đầu đoạn mạch có giá trị bằng 60V
=> Đáp án đúng: B
------------------------------------------------------
Như vậy VnDoc đã giới thiệu các bạn tài liệu Đoạn mạch nối tiếp là gì? Mời các bạn tham khảo thêm tài liệu: Vật Lý lớp 7, Giải bài tập môn Vật lý lớp 7, Giải vở bài tập Vật Lý 7, Tài liệu học tập lớp 7, ngoài ra các bạn học sinh có thể tham khảo thêm đề học kì 1 lớp 7 và đề thi học kì 2 lớp 7 mới nhất được cập nhật.