Đề thi giữa học kì 1 lớp 9 môn Toán Trường THCS Huỳnh Văn Nghệ, TP Hồ Chí Minh năm 2020 - 2021
Đề kiểm tra giữa kì 1 môn Toán lớp 9
Đề thi giữa học kì 1 lớp 9 môn Toán Trường THCS Huỳnh Văn Nghệ, TP Hồ Chí Minh năm 2020 - 2021 được VnDoc sưu tầm và đăng tải. Đây là đề thi giữa học kỳ 1 lớp 9 môn Toán dành cho các bạn học sinh ôn tập, củng cố kiến thức, rèn luyện kĩ năng làm bài Toán. Mời các bạn cùng tham khảo.
Ngoài ra, VnDoc.com đã thành lập group chia sẻ tài liệu học tập THCS miễn phí trên Facebook: Tài liệu học tập lớp 9. Mời các bạn học sinh tham gia nhóm, để có thể nhận được những tài liệu mới nhất.
- Đề thi giữa học kì 1 lớp 9 môn Toán Trường THCS Võ Thành Trang, TP Hồ Chí Minh năm 2020 - 2021
- Đề thi giữa học kì 1 lớp 9 môn Toán năm 2020 - 2021
- Đề thi giữa học kì 1 lớp 9 môn Toán Phòng GD&ĐT Hà Đông năm 2020 - 2021
- Đề thi giữa học kì 1 lớp 9 môn Tổng hợp
|
UBND QUẬN BÌNH TÂN TRƯỜNG THCS HUỲNH VĂN NGHỆ |
ĐỀ KIỂM TRA GIỮA HỌC KỲ I Năm học: 2020 – 2021 MÔN: TOÁN – LỚP 9 Thời gian: 90 phút (Không kể thời gian phát đề) |
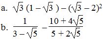
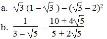
Bài 1 (2đ) Rút gọn

Bài 2 (1đ) Giải phương trình ![]()
Bài 3 (1 đ) Cô Hạ đi siêu thị mua một món hàng đang khuyến mãi giảm giá 10%, cô có thẻ khách hàng thân thiết của siêu thị nên được giảm thêm 3% trên giá đã giảm nữa, do đó cô chỉ phải trả 436500 đồng cho món hàng đó. Hỏi giá ban đầu của món hàng nếu không khuyến mãi là bao nhiêu?
Bài 4 (1đ) Một máy bay đang bay ở độ cao 1700m. Từ một đài quan sát ở mặt đất người ta nhìn thấy máy bay dưới một góc 250 so với mặt đất. Hãy tính khoảng cách từ đài quan sát đến máy bay? (Làm tròn đến mét)
Bài 5 (1đ) Muốn tính khoảng cách từ điểm A đến điểm B nằm bên kia bờ sông, ông Việt vạch từ A đường vuông góc với AB. Trên đường vuông góc này lấy một đoạn thẳng AC = 30m, rồi vạch CD vuông góc với phương BC cắt AB tại D (xem hình vẽ bên). Đo AD = 20m, từ đó ông Việt tính được khoảng cách từ A đến B. Em hãy tính độ dài AB.

Bài 6 (1đ) Mẹ bạn An đi chợ mua 3 kg thịt heo và 1 kg thịt bò. Số tiền thanh toán 3kg thịt heo và 1 kg thịt bò là 680 000 đồng. Biết giá mỗi kg thịt bò hơn giá mỗi kg thịt heo là 100 000 đồng. Hỏi giá tiền mỗi kg thịt của mỗi loại là bao nhiêu?
Bài 7 (3đ) Cho DABC vuông tại A có đường cao AH. Gọi M, N là hình chiếu vuông góc của H lần lượt lên AB, AC.
a. Chứng minh: AM.AB = AN.AC và tứ giác AMHN là hình chữ nhật.
b. Chứng minh: BM2 + 3AH2 + CN2 = BC2
c. Chứng minh: ![]()
--------------------------
Ngoài Đề thi giữa học kì 1 lớp 9 môn Toán Trường THCS Huỳnh Văn Nghệ, TP Hồ Chí Minh năm 2020 - 2021, các bạn học sinh còn có thể tham khảo các đề thi học kì 1 lớp 9, đề thi học kì 2 lớp 9 các môn Toán, Văn, Anh, Lý, Địa, Sinh mà chúng tôi đã sưu tầm và chọn lọc. Với đề thi lớp 9 này giúp các bạn rèn luyện thêm kỹ năng giải đề và làm bài tốt hơn. Chúc các bạn ôn thi tốt!