Đề thi giữa học kì 1 môn Vật lý lớp 11 trường THPT Ngọc Tảo, Hà Nội năm học 2016 - 2017
Đề thi giữa học kì 1 môn Vật lý lớp 11
Đề thi giữa học kì 1 môn Vật lý lớp 11 trường THPT Ngọc Tảo, Hà Nội năm học 2016 - 2017. Đề nhằm đánh giá năng lực học tập của học sinh trong nửa đầu học kì 1 môn Vật lý. Đã có đáp án và thang điểm chi tiết cho từng câu hỏi. Mời các bạn tham khảo.
Đề thi giữa học kì 1 môn Vật lý lớp 11 trường THPT Lý Thái Tổ, Bắc Ninh năm học 2016 - 2017
| SỞ GD&ĐT HÀ NỘI TRƯỜNG THPT NGỌC TẢO |
ĐỀ THI GIỮA HỌC KÌ 1 NĂM HỌC 2016 - 2017 MÔN: VẬT LÝ - LỚP 11 Thời gian làm bài: 45 phút |
A. Trắc nghiệm
Câu 1. Một bóng đèn trên vỏ có ghi 220 V – 50 W. Điện trở định mức của đèn là
A) 44,5 Ω B) 11,4 Ω C) 484 Ω D) 968 Ω
Câu 2. Một quả cầu nhỏ m = 0,25g, mang điện tích q = 5.10-9 C treo trên sợi dây mảnh trong điện trường đều có phương nằm ngang, cường độ điện trường E = 106 V/m cho g = 10 m/s2. Độ lớn lực điện trường tác dụng lên quả cầu là
A) 7,5.10-5 N B) 3.10-3 N C) 5.10-3 N D) 2,5.10-3 N
Câu 3. Người ta làm nhiễm điện do hưởng ứng cho một thanh kim loại. Sau khi đã nhiễm điện thì số electron trong thanh kim loại
A) Tăng lên B) Lúc đầu tăng sau đó giảm
C) Không đổi D) Giảm đi
Câu 4. Gọi E là suất điện động của nguồn điện, I là cường độ dòng điện qua nguồn, U là hiệu điện thế giữa hai cực của nguồn điện, t là thời gian dòng điện chạy qua. Công suất của nguồn điện được xác định theo công thức:
A) P = EIt B) P = UI. C) P = EI. D) P = UIt.
Câu 5. Suất điện động của nguồn điện đặc trưng cho
A) Khả năng tác dụng lực điện của nguồn điện.
B) Khả năng thực hiện công của lực lạ bên trong nguồn điện.
C) Khả năng tích điện cho hai cực của nó.
D) Khả năng dự trữ điện tích của nguồn điện.
Câu 6. Đặt đầu M của thanh kim loại MN lại gần quả cầu mang điện tích âm, thì trong thanh kim loại
A) Các điện tích dương bị hút về phía đầu M
B) Các điện tích dương bị đẩy về phía đầu M.
C) elêctron bị đẩy về phía đầu M.
D) elêctron bị đẩy về phía đầu N.
Câu 7. Dòng điện không đổi là:
A) Dòng điện có chiều và cường độ không thay đổi theo thời gian
B) Dòng điện có cường độ không thay đổi theo thời gian
C) Dòng điện có điện lượng chuyển qua tiết diện thẳng của dây không đổi theo thời gian
D) Dòng điện có chiều không thay đổi theo thời gian
Câu 8. Vật M không mang điện được đặt tiếp xúc với vật N nhiễm điện dương, khi đó
A) prôton di chuyển từ vật N sang vật M.
B) prôton di chuyển từ vật M sang vật N.
C) elêctron di chuyển từ vật N sang vật M.
D) elêctron di chuyển từ vật M sang vật N.
Câu 9. Số electron đi qua tiết diện thẳng của một dây dẫn kim loại trong 1 giây là 2,5.1019. Cường độ dòng điện trong dây dẫn bằng
A) 0,5 A B) 1 A C) 2 A D) 4 A
Câu 10. Một nguồn điện có điện trở trong 0,1 (Ω) được mắc với điện trở 4,8 (Ω) thành mạch kín. Khi đó hiệu điện thế giữa hai cực của nguồn điện là 12 (V). Suất điện động E của nguồn điện là:
A) E = 14,50 (V). B) E = 12,00 (V).
C) E = 12,25 (V). D) E = 11,75 (V).
B. Tự luận
Câu 1. Cho mạch điện như hình vẽ. Nguồn điện có suất điện động 24 V, điện trở trong r = 4, R = 3 Ω, Rx là biến trở có giá trị từ 0 đến 100 Ω.

a. Tính Rx để công suất mạch ngoài là PN = 20 W
b. Tính Rx để công suất mạch ngoài cực đại, Tính công suất cực đại đó.
Câu 2. Một tụ điện phẳng có điện dung C = 200pF được tích điện đến hiệu điện thế U = 4 V. Khoảng cách giữa hai bản tụ điện là d = 0,2 mm.
a. Tính điện tích của tụ điện.
b. Tính cường độ điện trường trong tụ điện.
Đáp án đề thi giữa học kì 1 môn Vật lý lớp 11
| SỞ GD&ĐT HÀ NỘI TRƯỜNG THPT NGỌC TẢO |
ĐÁP ÁN ĐỀ THI GIỮA HỌC KÌ 1 NĂM HỌC 2016 - 2017 MÔN: VẬT LÝ - LỚP 11 |
A. Trắc nghiệm
| 1. D 2. C |
3. C 4. C |
5. B 6. D |
7. A 8. D |
9. D 10. C |
B. Tự luận
Câu 1.
a) 2,0 điểm
- Viết biểu thức điện trở mạch ngoài: RN = R + RX
- Viết biểu thức cường độ dòng điện:

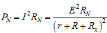
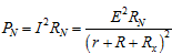
- Viết biểu thức công suất mạch ngoài:

- Giải phương trình PN = 20 W → Rx = 17 Ω (nhận) hoặc Rx = - 2,2 (loại)
b) Tìm điều kiện để PN lớn nhất → Rx = 1 Ω, PNmax = 36 W (1,0 điểm)
Câu 2.
a) Q = CU = 800 pC = 800.10-12 C (1,0 điểm)
b) E = U/d = 20 V/mm = 2.104 V/m (1,0 điểm)