Đề thi học kì 1 môn Vật lý lớp 10 trường THPT Nguyễn Huệ, Quảng Nam năm học 2014 - 2015
Đề thi học kì 1 môn Vật lý lớp 10
Đề thi học kì 1 môn Vật lý lớp 10 trường THPT Nguyễn Huệ, Quảng Nam năm học 2014 - 2015 được VnDoc.com sưu tầm và đăng tải, giúp các bạn học sinh lớp 10 ôn tập và nâng cao kiến thức môn Lý được học trên lớp, ôn thi cuối kì I lớp 10 hiệu quả hơn. Mời các bạn cùng tham khảo.
Đề thi học kì 1 môn Giáo dục công dân lớp 10 trường THPT Nguyễn Huệ, Quảng Nam năm học 2014 - 2015
Đề thi học kì 1 môn Hóa học lớp 10 trường THPT Marie Curie, TP. Hồ Chí Minh năm học 2015 - 2016
|
SỞ GD&ĐT QUẢNG NAM TRƯỜNG THPT NGUYỄN HUỆ |
ĐỀ KIỂM TRA HỌC KỲ I – NĂM HỌC 2014-2015 Môn: Vật lí - Lớp: 10 Thời gian làm bài: 45 phút |
Mã đề 132
I. PHẦN CHUNG CHO TẤT CẢ HỌC SINH (15 câu, từ câu 1 đến câu 15)
Câu 1: Phương trình chuyển động của vật chuyển động thẳng nhanh dần đều có vận tốc ban đầu v0 và có điểm xuất phát không trùng với gốc tọa độ là

Câu 2: Hệ thức của định luật vạn vật hấp dẫn là
![]()
Câu 3: Lực hút của Trái Đất tác dụng vào một vật khi vật ở mặt đất là 72 N. Gọi R là bán kính Trái Đất và nếu lực hút Trái Đất tác dụng vào vật là 8 N thì lúc đó vật ở độ cao h bằng
A. 1/3 R B. 3R C. 2R D. 9R
Câu 4: Định luật II Niu-tơn cho biết
A. Lực là nguyên nhân gây ra chuyển động. B. Mối liên hệ giữa khối lượng và vận tốc của vật.
C. Mối liên hệ giữa vận tốc, gia tốc và thời gian. D. Lực là nguyên nhân làm biến đổi chuyển động.
Câu 5: Vật được coi là chất điểm khi
A. khối lượng riêng rất nhỏ. B. khối lượng nhỏ so với độ dài đường đi.
C. kích thước rất nhỏ. D. kích thước rất nhỏ so với chiều dài đường đi.
Câu 6: Có một chất điểm chuyển động tròn đều như hình vẽ. Đặt
là vectơ vận tốc của chất điểm tại vị trí M được chọn làm chuẩn. Gọi T là chu kỳ của chất điểm. Thời gian ngắn nhất để vectơ vận tốc hợp với
một góc 600 là
A. t = T/6 B. t = T/3 C. t = T/4 D. t = T/2

Câu 7: Trong chuyển động thẳng đều:
A. Quãng đường đi được s tỷ lệ thuận với vận tốc v.
B. Tọa độ x tỷ lệ thuận với vận tốc v.
C. Toạ độ x tỷ lệ thuận với thời gian chuyển động t.
D. Quãng đường đi được s tỷ lệ thuận với với thời gian chuyển động t.
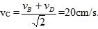
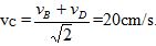
Câu 8: Một chất điểm chuyển động thẳng biến đổi đều đi qua 4 điểm A, B, C, D biết AB = BC = CD = 50cm. Vận tốc tại C là
. Gia tốc của chất điểm là
A. -4cm/s2 B. -3cm/s2 C.- 2cm/s2 D. -1cm/s2
Câu 9: Một vật được thả rơi tự do không vận tốc đầu từ độ cao h so với mặt đất tại nơi có gia tốc trọng trường g = 10m/s2. Quãng đường vật rơi trong nửa thời gian sau dài hơn quãng đường vật rơi trong nửa thời gian đầu một đoạn 30m. Độ cao h là
A. 15m B. 90m C. 60m D. 45m
Câu 10: Câu nào đúng? Hợp lực của hai lực có độ lớn F và 2F có thể
A. nhỏ hơn F. B. lớn hơn 3F. C. vuông góc với lực
. D. vuông góc với lực 2
.
(Còn tiếp)
Đáp án đề thi học kì 1 môn Vật lý lớp 10
|
Câu |
Mã 132 |
Mã 209 |
Mã 357 |
Mã 485 |
|
1 |
C |
D |
B |
A |
|
2 |
A |
A |
D |
B |
|
3 |
C |
B |
B |
D |
|
4 |
D |
A |
D |
B |
|
5 |
D |
B |
D |
D |
|
6 |
A |
B |
C |
C |
|
7 |
D |
A |
A |
B |
|
8 |
A |
A |
A |
C |
|
9 |
C |
D |
B |
B |
|
10 |
C |
C |
B |
C |
|
11 |
B |
D |
C |
D |
|
12 |
B |
A |
A |
C |
|
13 |
D |
B |
A |
B |
|
14 |
B |
A |
C |
A |
|
15 |
B |
C |
C |
D |
|
16 |
B |
A |
A |
D |
|
17 |
C |
B |
B |
D |
|
18 |
C |
A |
D |
B |
|
19 |
A |
C |
B |
B |
|
20 |
A |
B |
B |
B |
|
21 |
C |
B |
C |
A |
|
22 |
C |
A |
B |
C |
|
23 |
A |
A |
B |
D |
|
24 |
A |
A |
C |
C |
|
25 |
A |
A |
C |
B |
|
26 |
D |
C |
C |
C |
|
27 |
B |
C |
B |
B |
|
28 |
C |
A |
C |
C |
|
29 |
C |
B |
A |
B |
|
30 |
A |
B |
A |
D |
|
31 |
A |
A |
C |
A |
|
32 |
C |
B |
B |
C |
|
33 |
A |
D |
D |
B |
|
34 |
D |
A |
B |
A |
|
35 |
C |
D |
D |
C |