Đề thi thử tốt nghiệp THPT 2025 môn Địa lí trường THPT Giáp Hải, Bắc Giang
Thi THPT Quốc gia 2025
Lớp:
THPT Quốc gia
Môn:
Địa Lý
Dạng tài liệu:
Đề thi
Loại:
Tài liệu Lẻ
Loại File:
PDF
Phân loại:
Tài liệu Tính phí

Mã đề 718 Trang 1/4
(Đề thi có 04 trang)
THI THỬ TỐT NGHIỆP THPT NĂM HỌC 2024 - 2025
MÔN: ĐỊA LÍ
Thời gian làm bài: 50 phút
(không kể thời gian phát đề)
Họ và tên: ............................................................................
Số báo danh: .......
Mã đề 718
PHẦN I. Câu trắc nghiệm nhiều phương án lựa chọn. Thí sinh trả lời từ câu 1 đến câu 18. Mỗi câu hỏi
thí sinh chỉ chọn một phương án.
Câu 1. Ý nghĩa của chuyển dịch cơ cấu kinh tế ở nước ta là
A. giảm mối liên kết giữa các ngành, các địa phương.
B. đẩy mạnh hội nhập tổ chức thương mại Thế giới.
C. góp phần tăng cường cơ sở vật chất của nền kinh tế.
D. thúc đẩy tăng trưởng kinh tế, phát triển bền vững.
Câu 2. Biện pháp chủ yếu để bảo vệ và phát triển rừng phòng hộ ở nước ta là
A. áp dụng các biện pháp canh tác hợp lí trên đất dốc.
B. đảm bảo duy trì phát triển diện tích và chất lượng rừng.
C. bảo vệ cảnh quan, đa dạng sinh học các vườn quốc gia.
D. bảo vệ rừng, trồng rừng trên đất trống, đồi núi trọc.
Câu 3. Dân số nước ta
A. qui mô lớn và giảm. B. phân bố đồng đều.
C. tỉ lệ gia tăng cao. D. đông và nhiều dân tộc.
Câu 4. Gió mùa đông thổi vào nước ta theo hướng
A. đông nam. B. tây nam. C. tây bắc. D. đông bắc.
Câu 5. Vị trí địa lí nước ta nằm ở
A. khu vực gió mùa châu Á. B. trong vùng khí hậu ôn đới.
C. bờ tây của Đại Tây Dương. D. phía bắc lục địa Á- Âu.
Câu 6. Khó khăn lớn nhất trong việc khai thác thủy sản ở nước ta hiện nay là
A. tài nguyên sinh vật giảm mạnh, bờ biển nhiều vùng bị sạt lở.
B. vùng biển nhiều nơi ô nhiễm, công nghiệp chế biến hạn chế.
C. nguồn lợi sinh vật giảm, công nghệ khai thác chậm đổi mới.
D. hoạt động mạnh của các cơn bão, các đợt gió mùa Đông Bắc.
Câu 7. Đặc điểm đô thị hóa ở nước ta hiện nay là
A. số dân ở đô thị lớn hơn nông thôn. B. đô thị hoá gắn với công nghiệp hoá.
C. các đô thị chỉ có chức năng hành chính. D. trình độ đô thị hoá các vùng giống nhau.
Câu 8. Thiên nhiên nước ta có sự phân hoá bắc - nam do tác động chủ yếu của các yếu tố
A. địa hình đồi núi, gió Tây, vị trí nội chí tuyến.
B. gió mùa Tây Nam, xa xích đạo, địa hình núi.
C. giáp biển, địa hình có núi cao, gió Tín phong.
D. hình dạng lãnh thổ, gió mùa, địa hình núi.
Câu 9. Loại đất đặc trưng của khí hậu nhiệt đới ẩm gió mùa ở nước ta là
A. đất xám bạc màu. B. đất feralit. C. đất mặn. D. đất mùn thô.
Câu 10. Vùng nào có số lượng trang trại nhiều nhất trong các vùng sau đây?
A. Trung du và miền núi Bắc Bộ. B. Đồng bằng Sông Cửu Long.
C. Đông Nam Bộ. D. Tây Nguyên.
Câu 11. Nguyên nhân chủ yếu nào sau đây làm cho sông ngòi nước ta nhiều nước?
A. Mưa nhiều, nằm hạ lưu các sông từ ngoài lãnh thổ.
B. Khí hậu nhiệt đới ẩm gió mùa, có khá nhiều hồ đập.
C. Địa hình nhiều đồng bằng và đồi thấp, mưa nhiều.

Mã đề 718 Trang 2/4
D. Khí hậu có sự phân mùa rất sâu sắc, địa hình thấp.
Câu 12. Thuận lợi tự nhiên để sản xuất cây lương thực ở nước ta là
A. nguồn nước phân hoá theo mùa. B. đất phù sa diện tích lớn, màu mỡ.
C. địa hình chủ yếu là đồi núi thấp. D. khí hậu nhiệt ẩm lớn, ít thiên tai.
Câu 13. Các cây công nghiệp lâu năm chủ yếu ở nước ta là
A. cao su, lạc, mía. B. lạc, chè, thuốc lá.
C. cà phê, đậu tương, lạc. D. cà phê, cao su, hồ tiêu.
Câu 14. Thiên tai thường xảy ra ở vùng đồng bằng là
A. động đất. B. ngập lụt. C. lũ nguồn. D. lũ quét.
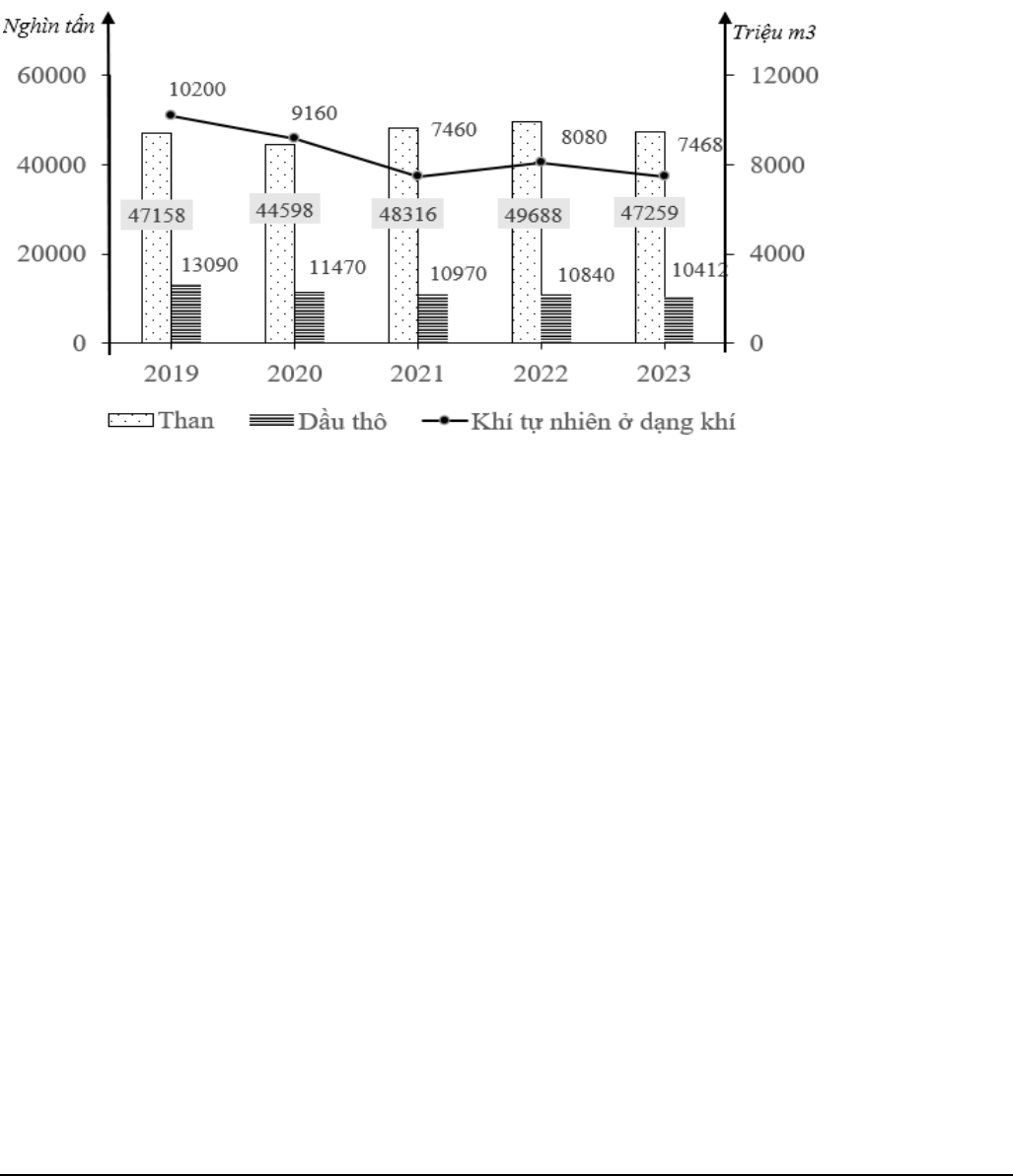
Câu 15. Cho biểu đồ: SẢN LƯỢNG MỘT SỐ SẢN PHẨM CÔNG NGHIỆP NƯỚC TA GIAI ĐOẠN
2019 - 2023.
(Nguồn: Số liệu theo giám thống kê Việt Nam 2023, NXB Thống kê, 2024)
Nhận xét nào sau đây đúng với biểu đồ trên?
A. Sản lượng dầu thô và khí tự nhiên giảm vì chưa áp dụng công nghệ mới trong khai thác.
B. Sản lượng khí tự nhiên ở dạng khí giảm, than tăng 101 nghìn tấn từ năm 2019 -2023.
C. Từ 2019 -2023 sản lượng các sản phẩm công nghiệp đều tăng do công nghiệp hoá mạnh.
D. Do nhu cầu năng lượng tăng nên dầu thô có sản lượng tăng nhanh trong giai đoạn trên.
Câu 16. Cơ cấu kinh tế nước ta đang chuyển dịch theo hướng
A. tăng tỉ trọng kinh tế Nhà nước. B. ưu tiên ngành cần nhiều lao động.
C. chú trọng sản xuất nông nghiệp. D. công nghiệp hóa, hiện đại hóa.
Câu 17. Nguồn lao động nước ta có đặc điểm
A. chất lượng phân bố đều giữa các vùng. B. tập trung chủ yếu ở khu vực thành thị.
C. chất lượng ngày càng được nâng cao. D. hiện nay chủ yếu đã được qua đào tạo.
Câu 18. Cơ cấu công nghiệp nước ta chuyển dịch theo hướng
A. giảm tỉ trọng công nghiệp chế biến.
B. giảm tỉ trọng khu vực kinh tế ngoài Nhà nước.
C. tăng tỉ trọng công nghiệp khai thác.
D. giảm tỉ trọng khu vực kinh tế Nhà nước.
PHẦN II. Câu trắc nghiệm đúng sai. Thí sinh trả lời từ câu 1 đến câu 4. Trong mỗi ý a), b), c), d) ở
mỗi câu, thí sinh chọn đúng hoặc sai.
Câu 1. Cho thông tin sau:
Công nghiệp sản xuất và chế biến thực phẩm là ngành phát triển lâu đời, những năm gần đây nhờ áp dụng
công nghệ mới vào sản xuất nên sản lượng các sản phẩm của ngành đều tăng.

Mã đề 718 Trang 3/4
a) Công nghiệp sản xuất, chế biến thực phẩm phát triển dựa vào nguồn nguyên liệu tại chỗ phong phú.
b) Chất lượng sản phẩm của ngành ngày càng được nâng cao do các doanh nghiệp đã chú trọng áp
dụng các công nghệ mới vào sản xuất.
c) Công nghiệp sản xuất, chế biến thực phẩm phân bố rộng, gắn với nguồn nguyên liệu và thị trường
tiêu thụ.
d) Sản phẩm của ngành công nghiệp sản xuất và chế biến thực phầm nhìn chung còn đơn điệu, vì chủ
yếu chỉ sử dụng nguyên liệu trong nước.
Câu 2. Cho thông tin sau:
Trồng trọt là ngành có vai trò quan trong trong nền nông nghiệp nước ta. Hiện nay ngành trồng trọt đang
ứng dụng rộng rãi cơ giới hoá, tự động hoá với nhiều loại hình canh tác mới và cơ cấu cây trồng ngày
càng đa dạng.
a) Cơ cấu cây trồng hiện nay chuyển đổi theo hướng tăng tỉ trọng các loại cây trồng có giá trị kinh tế
và đáp ứng nhu cầu thị trường.
b) Cơ cấu cây trồng nước ta đa dạng gồm: cây lương thực, cây công nghiệp, cây ăn quả, cây rau đậu và
cây khác.
c) Đồng bằng sông Cửu Long là vùng sản xuất lương thực lớn nhất do ở đây có nhiều diện tích đất phù
sa, khí hậu thích hợp.
d) Diện tích lúa tăng mạnh do Nhà nước rất chú trọng mở rộng diện tích lúa để đảm bảo an ninh lương
thực.
Câu 3. Cho biểu đồ: TRỊ GIÁ XUẤT KHẨU, NHẬP KHẨU CỦA BRU-NÂY, GIAI ĐOẠN 2017-
2021.
(Số liệu theo Niên giám thống kê ASEAN 2022, https://www.aseanstats.org)
a) Trị giá xuất khẩu, nhập khẩu của Bru-nây tăng liên tục trong giai đoạn 2017 - 2021.
b) Năm 2020, Bru-nây có cán cân thương mại xuất siêu với trị giá 1,3 tỉ USD.
c) Từ năm 2017 - 2021, trị giá xuất khẩu của Bru-nây tăng nhanh hơn trị giá nhập khẩu.
d) Từ năm 2017 đến năm 2021, Bru-nây có cán cân thương mại luôn nhập siêu.
Câu 4. Cho thông tin sau:
Đặc điểm cơ bản của khí hậu nước ta là mang tính chất nhiệt đới ẩm gió mùa, đặc điểm đó được quy
định bởi nhiều yếu tố như vị trí địa lí, địa hình, hoàn lưu khí quyển…
a) Do địa hình đa dạng, nhiều đồi núi nên nước ta có lượng mưa và độ ẩm lớn.
b) Nước ta chịu ảnh hưởng mạnh mẽ của các khối khí hoạt động theo mùa, nên khí hậu có sự phân
mùa rõ rệt.
c) Vị trí địa lí qui định khí hậu nước ta mang tính chất nhiệt đới ẩm gió mùa.
d) Toàn bộ lãnh thổ nước ta nhận được lượng bức xạ mặt trời lớn, cán cân bức xạ quanh năm dương.
PHẦN III. Câu trắc nghiệm trả lời ngắn. Thí sinh trả lời từ câu 1 đến câu 6.
Đề thi thử tốt nghiệp môn Địa trường Giáp Hải, Bắc Giang
Đề thi thử tốt nghiệp THPT Quốc gia 2025 môn Địa lí trường THPT Giáp Hải, Bắc Giang là tài liệu hữu ích giúp bạn đọc có thể trau dồi, luyện tập nội dung kiến thức, chuẩn bị thật tốt cho kì Thi THPT Quốc gia sắp tới nhé. Đề thi được biên soạn theo cấu trúc đề thi mới. Đề thi gồm có 18 câu hỏi trắc nghiệm, 4 câu hỏi đúng sai và 6 câu hỏi trả lời ngắn. Thí sinh làm bài trong thời gian 50 phút. Mời các bạn cùng theo dõi đề thi dưới đây.