Đề thi khảo sát tốt nghiệp THPT 2025 môn Địa lí lần 2 cụm trường THPT Thanh Hóa
Thi THPT Quốc gia 2025
Lớp:
THPT Quốc gia
Môn:
Địa Lý
Dạng tài liệu:
Đề thi
Loại:
Tài liệu Lẻ
Loại File:
Word + PDF
Phân loại:
Tài liệu Tính phí

Mã đề 601 Trang 1/6
SỞ GD&ĐT THANH HOÁ
CỤM THPT
(Đề gồm 5 trang)
ĐỀ KHẢO SÁT CHẤT LƯỢNG LỚP 12 MÔN ĐỊA LÝ
NĂM HỌC: 2024 - 2025
Môn thi: Địa lý
Thời gian làm bài: 50 phút (Không kể thời gian giao đề)
Họ tên thí sinh: .................................................................
Số báo danh: ......................................................................
PHẦN I. Câu trắc nghiệm nhiều phương án lựa chọn. Thí sinh trả lời từ câu 1 đến câu 18. Mỗi câu hỏi
thí sinh chỉ chọn một phương án.
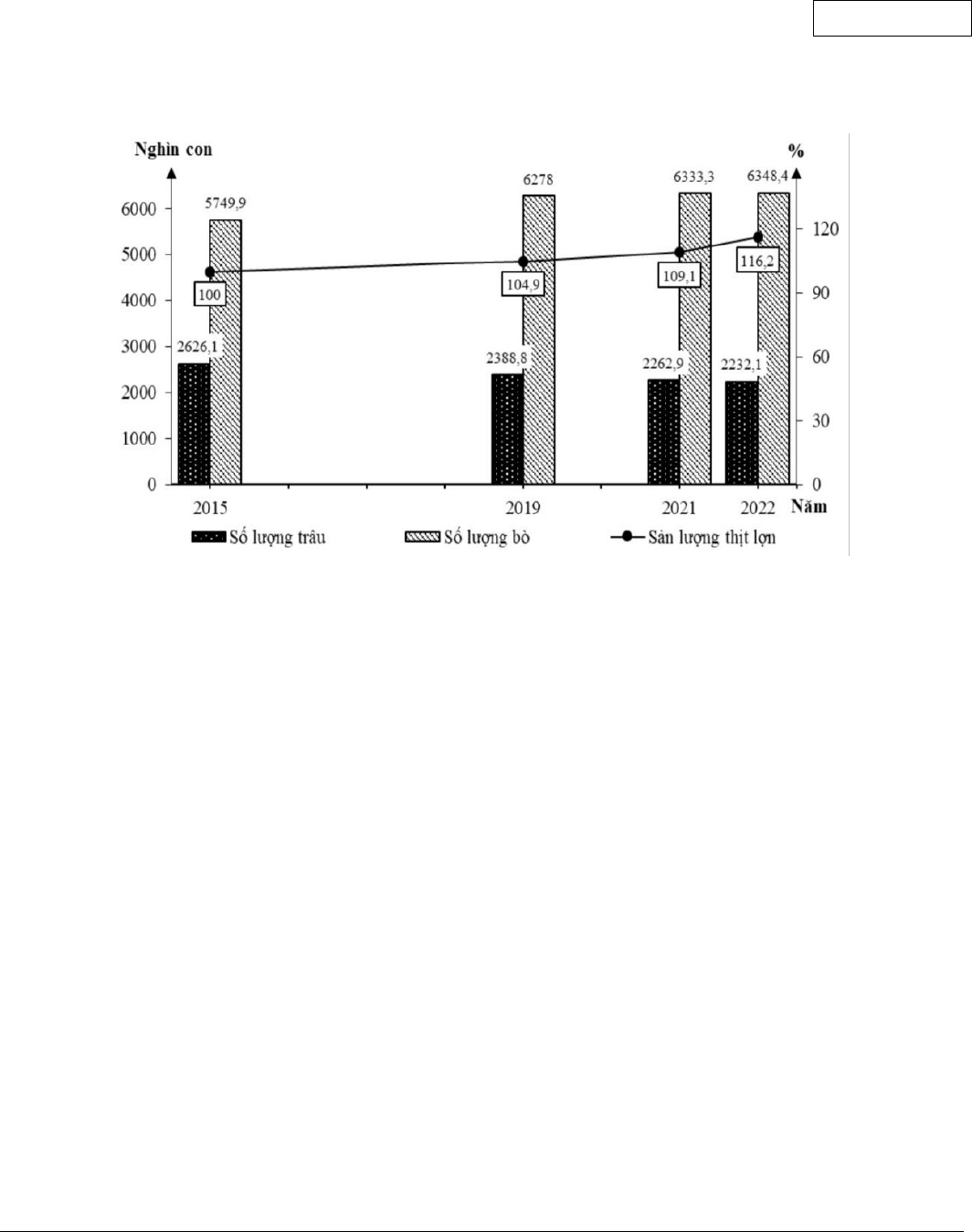
Câu 1. Cho biểu đồ:
Số lượng trâu, bò và tốc độ tăng sản lượng thịt lợn, giai đoạn 2015 - 2022
(Nguồn: Niên giám thống kê Việt Nam 2023, https://www.gso.gov.vn)NDL
Nhận xét nào sau đây đúng với biểu đồ trên?
A. Sản lượng thịt lợn và số lượng trâu đều có xu hướng tăng liên tục.
B. Tỉ trọng đàn bò năm 2021 chiếm 73,9 % tổng đàn trâu bò cả nước.
C. Số lượng trâu có xu hướng tăng, số lượng bò có xu hướng giảm.
D. Tốc độ tăng trưởng sản lượng thịt lợn giai đoạn 2015 – 2022 đạt 116,2 %.
Câu 2. Đô thị ở nước ta hiện nay
A. có lực lượng lao động dồi dào. B. đều có cùng một cấp phân loại.
C. tập trung chủ yếu ở miền núi. D. chất lượng cuộc sống còn thấp.
Câu 3. Trung Bộ nước ta có mùa mưa vào thu đông chủ yếu do
A. frông, Tín phong đông bắc, dải hội tụ nhiệt đới và hướng địa hình.
B. địa hình đón gió, hoàn lưu khí quyển, dải hội tụ nhiệt đới và bão.
C. hướng các dãy núi, Tín phong Nam bán cầu và áp thấp nhiệt đới.
D. vị trí tiếp giáp biển, các gió hướng tây nam và áp thấp nhiệt đới.
Câu 4. Cơ sở quan trọng nhất để vùng Duyên hải Nam Trung Bộ phát triển tổng kinh tế biển là
A. ít chịu ảnh hưởng gió mùa Đông Bắc, bãi tắm đẹp.
B. nhiều bãi tắm đẹp, nhiều vịnh nước sâu kín gió.
C. có đường bờ biển dài, nhiều vũng vịnh, đầm phá.
D. giáp vùng biển rộng, tài nguyên biển phong phú.
Câu 5. Than an-tra-xit ở Đồng bằng sông Hồng tập trung chủ yếu ở tỉnh
A. Nam Định. B. Ninh Bình. C. Hà Nam. D. Quảng Ninh.
Mã Đề: 601.

Mã đề 601 Trang 2/6
Câu 6. Nhóm cây nào sau đây chiếm tỉ trọng lớn nhất trong cơ cấu diện tích trồng trọt ở nước ta hiện nay?
A. Cây rau đậu. B. Cây công nghiệp. C. Cây ăn quả. D. Cây lương thực.
Câu 7. Đối tượng nuôi trồng thuỷ sản của Bắc Trung Bộ ngày càng đa dạng chủ yếu do
A. lao động giàu kinh nghiệm, tài nguyên sinh vật đa dạng.
B. đường bờ biển kéo dài, có mạng lưới sông ngòi dày đặc.
C. đáp ứng nhu cầu thị trường, mang lại giá trị kinh tế cao.
D. nhiều vùng trũng đồng bằng, trình độ lao động nâng cao.
Câu 8. Thế mạnh nổi bật về tự nhiên của vùng Trung du và miền núi Bắc Bộ để phát triển trồng cây công
nghiệp, rau quả có nguồn gốc cận nhiệt và ôn đới chính là
A. địa hình phần lớn đồi núi, xen kẽ các cao nguyên.
B. khí hậu có mùa đông lạnh, phân hóa theo độ cao.
C. mạng lưới sông ngòi dày đặc, lưu lượng nước lớn.
D. khu vực đồi núi thấp có đất feralit diện tích lớn.
Câu 9. Năng suất lao động của nước ta ngày càng tăng chủ yếu do
A. đẩy mạnh đào tạo nghề, tăng giờ làm và trẻ hóa lao động.
B. tăng cường sử dụng máy móc, thay đổi thời gian sản xuất.
C. áp dụng nhiều kĩ thuật hiện đại, nâng cao độ tuổi lao động.
D. hiện đại hóa sản xuất, chú trọng phát triển y tế và giáo dục.
Câu 10. Lãnh thổ nước ta
A. tiếp giáp vùng biển ở phía tây. B. có vùng đất rộng hơn vùng biển.
C. tiếp giáp với nhiều đại dương. D. có các loại gió thổi theo mùa.
Câu 11. Phát biểu nào sau đây đúng với tình hình phát triển ngành giao thông vận tải ở nước ta hiện nay?
A. Hàng không là ngành có khối lượng vận chuyển hàng hoá rất lớn và tăng nhanh.
B. Mạng lưới đường thuỷ nội địa phát triển và phân bố rộng khắp ở các vùng.
C. Ngành vận tải đường biển có khối lượng luân chuyển hàng hoá lớn nhất.
D. Vận tải đường sắt chiếm tỉ trọng cao trong tổng khối lượng vận chuyển hàng hoá.
Câu 12. Sản xuất sản phẩm địện tử, máy vi tính ở nước ta gồm
A. sản xuất các máy cơ khí, sản xuất máy vi tính. B. sản xuất máy móc điện tử, sản xuất máy kéo.
C. sản xuất linh kiện điện tử, sản xuất máy kéo. D. sản xuất linh kiện điện tử, sản xuất máy vi
tính.
Câu 13. Ngành viễn thông nước ta hiện nay
A. chủ yếu phát triển ở miền núi. B. Chưa sử dụng hệ thống vệ tinh.
C. gồm nhiều bưu điện văn hoá xã. D. phát triển theo hướng hiện đại.
Câu 14. Các vùng trên lãnh thổ nước ta khác nhau về chế độ nhiệt chủ yếu do tác động của
A. vị trí địa lí, địa hình, các loại gió và thời gian Mặt Trời lên thiên đỉnh.
B. bão, dải hội tụ nhiệt đới, các loại gió thổi hướng tây nam và đông bắc.
C. gió tây nam thổi vào mùa hạ, vị trí địa lí, độ cao và hướng các dãy núi.
D. gió Tây, gió mùa Đông Bắc, độ cao các dãy núi và hình dáng lãnh thổ.
Câu 15. Ý nghĩa chủ yếu của việc phát triển thủy điện ở Trung du và miền núi Bắc Bộ là
A. khai thác hiệu quả tiềm năng vùng, thúc đẩy công nghiệp.
B. giải quyết nhu cầu về điện cho vùng, phát triển thủy lợi.
C. điều tiết lũ cho đồng bằng, nâng cao đời sống nguời dân.
D. tạo động lực cho vùng phát triển, giải quyết tốt việc làm.
Câu 16. Phát biểu nào sau đây không đúng về khu công nghệ cao ở nước ta hiện nay?
A. Thu hút các nguồn đầu tư. B. Được phát triển từ rất sớm.
C. Tạo nhiều cơ hội việc làm. D. Có cơ sở hạ tầng đảm bảo.
Câu 17. Ô nhiễm không khí xảy ra chủ yếu ở khu vực nào sau đây của nước ta?
A. Khu vực đô thị có hoạt động sản xuất công nghiệp phát triển.
B. Khu vực đồng bằng có trồng nhiều cây lương thực, thực phẩm.

Mã đề 601 Trang 3/6
C. Khu vực nông thôn có hoạt động sản xuất nông nghiệp phát triển.
D. Khu vực miền núi, trung du có trồng nhiều cây công nghiệp.
Câu 18. Sản phẩm đặc trưng của vùng du lịch Tây Nguyên là du lịch
A. biển đảo, sinh thái gắn với tìm hiểu bản sắc văn hoá các dân tộc thiểu số.
B. đô thị, MICE, tìm hiểu lịch sử, du lịch nghỉ dưỡng và sinh thái biển, đảo.
C. nghỉ dưỡng biển, đảo gắn với di sản, tìm hiểu văn hoá biển, ẩm thực biển.
D. sinh thái, văn hoá, tìm hiểu các giá trị độc đáo của văn hoá cồng chiêng.
PHẦN II. Thí sinh trả lời từ câu 1 đến câu 4. Trong mỗi ý a), b), c), d) ở mỗi câu, thí sinh chọn đúng
hoặc sai.
Câu 1. Cho thông tin sau:
Bắc Trung Bộ có diện tích rừng tự nhiên chiếm 70% tổng diện tích rừng, tỉ lệ che phủ rừng cao hơn
mức trung bình của cả nước. Đặc biệt, khu vực rừng ở Bắc Trung Bộ có nhiều loại gỗ, lâm sản, các loài động
vật quý nằm trong Sách đỏ Việt Nam. Ở đây có nhiều khu bảo tồn thiên nhiên, vườn quốc gia như Pù Mát,
Phong Nha - Kẻ Bàng...
a) Bắc Trung Bộ có diện tích rừng lớn trong đó chủ yếu là rừng phòng hộ và rừng đặc dụng.
b) Vai trò kinh tế chủ yếu của rừng ở Bắc Trung Bộ là cung cấp gỗ và các loại lâm sản, chống xói mòn
đất, hạn chế lũ lụt.
c) Rừng ở Bắc Trung Bộ vừa có giá trị kinh tế - xã hội, vừa có giá trị về môi trường sinh thái.
d) Rừng giàu tập trung chủ yếu ở vùng đồi trước núi, có ý nghĩa lớn trong việc bảo vệ tính đa dạng sinh
học.
Câu 2. Cho biểu đồ:
Số dân thành thị và tỉ lệ dân thành thị nước ta, giai đoạn 2010 - 2020
(Số liệu theo niên giám thống kê Việt Nam 2020, NXB Thống kê, 2021)
a) . Số dân nông thôn tăng 1,14 triệu người trong giai đoạn 2010 – 2020.
b) . Tỉ lệ dân nông thôn luôn cao hơn tỉ lệ dân thành thị.
c) . Tỉ lệ dân nông thôn giảm chủ yếu do quá trình công nghiệp hóa, hiện đại hóa; sự phát triển của mạng
lưới đô thị.
d) . Dân số thành thị tăng liên tục, tăng thêm 6,43 triệu người.
Câu 3. Cho thông tin sau:
Trong những năm qua, hoạt động du lịch của Việt Nam trên đà phát triển. Lượng khách quốc tế đến,
khách nội địa và doanh thu du lịch không ngừng tăng. Du lịch Việt Nam ngày càng được biết đến nhiều hơn,
trở thành một nhu cầu trong đời sống văn hóa - xã hội của người dân. Tài nguyên du lịch phong phú là cơ sở
tạo nên các sản phẩm du lịch khác nhau giữa các vùng.
a) Xu hướng phát triển du lịch sinh thái, du lịch xanh, du lịch cộng đồng diễn ra ở nhiều vùng kinh tế của
nước ta hiện nay.
Đề thi khảo sát tốt nghiệp môn Địa cụm trường THPT Thanh Hóa
Đề thi khảo sát tốt nghiệp THPT Quốc gia 2025 môn Địa lí lần 2 cụm trường THPT Thanh Hóa có đáp án là tài liệu hữu ích được VnDoc.com tổng hợp giúp bạn đọc có thêm tài liệu ôn thi kì Thi THPT Quốc gia sắp tới nhé. Đề thi gồm có 18 câu hỏi trắc nghiệm, 4 câu hỏi đúng sai và 6 câu hỏi trả lời ngắn. Thí sinh làm bài trong thời gian 50 phút. Đề có đáp án và lời giải chi tiết kèm theo. Mời các bạn cùng theo dõi đề thi dưới đây.