Đề thi học sinh giỏi môn Toán lớp 6 năm học 2014 - 2015
ĐỀ THI HỌC SINH GIỎI MÔN TOÁN LỚP 6 NĂM HỌC 2014 - 2015
Nhằm giúp các em học sinh lớp 6 chuẩn bị tốt cho kì thi học sinh giỏi các cấp cũng như cuộc thi Violympic, VnDoc.com xin giới thiệu đề thi học sinh giỏi môn Toán lớp 6 năm học 2014 - 2015. Hi vọng tài liệu này giúp sẽ các em củng cố lại kiến thức, làm quen dần với các dạng đề thi. Chúc các em học tốt môn Toán lớp 6, đạt kết quả cao trong kì thi của mình.
Tuyển tập đề thi học sinh giỏi lớp 6 môn Toán
Chuyên đề: Bồi dưỡng học sinh giỏi lớp 6 phần số học
Đề thi khảo sát học sinh giỏi môn Toán lớp 6 Sở GD&ĐT Đồng Tháp năm học 2016 - 2017
Đề thi học sinh giỏi môn Toán lớp 6 Phòng GD&ĐT Tư Nghĩa, Quảng Ngãi năm học 2016 - 2017
ĐỀ THI HỌC SINH GIỎI MÔN TOÁN LỚP 6 NĂM HỌC 2014-2015
Thời gian: 120 phút
Câu 1: (6 điểm)
a. Tính
![]()
b. Cho a, b N. Chứng tỏ rằng nếu 5a + 3b và 13a + 8b cùng chia hết cho 2012 thì a và b cũng chia hết cho 2012.
c. Tìm các số tự nhiên a, b, c nhỏ nhất khác 0 sao cho 16a = 25b = 30c
Câu 2: (4 điểm)
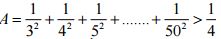
1. CMR:
![]()
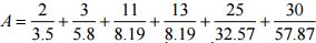
2. Rút gọn các phân số sau:

Câu 3: (2 điểm)
Cho p và p +4 là các số nguyên tố (p>3). Chứng tỏ rằng p +8 là hợp số.
Câu 4: (6 điểm)
- Cho 3 tia OA, OB, OC sao cho. Góc AOB = 1100, góc BOC = 1300, góc COA = 1200. Hỏi tia nào nằm giữa 2 tia còn lại.
- Trên cùng 1 nửa mặt phẳng bờ chứa tia Ox. Vẽ các tia Oy, Oz sao cho góc xOy = a0, góc xOz = b0 (a<b). Vẽ các tia Om, On lần lượt là các tia phân giác góc xOy, góc xOz. Chứng tỏ rằng:
![]()
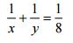
Câu 5 (2 điểm):
Tìm các số tự nhiên x, y (x < y) sao cho:
![]()
Đáp án đề thi học sinh giỏi môn Toán lớp 6 năm học 2014 - 2015
Câu 1: (6 điểm)
a.

b. Ta có: 5a + 3b chia hết cho 2012 => 13(5a+3b) chia hết cho 2012
=> 65 a + 39b chia hết cho 2012 (1)
Lại có: 13a + 8b chia hết cho 2012 => 5(13a + 8b) chia hết cho 2012
=> 65 a + 40b chia hết cho 2012 (2)
Từ (1)(2) => (65a + 40b) – (65a+39b) chia hết cho 2012
=> b chia hết cho 2012
Tương tự => a chia hết cho 2012
Vậy a, b cũng chia hết cho 2012