Điểm chuẩn lớp 10 Hải Dương năm 2025 - 2026
Điểm chuẩn vào 10 Hải Dương 2025
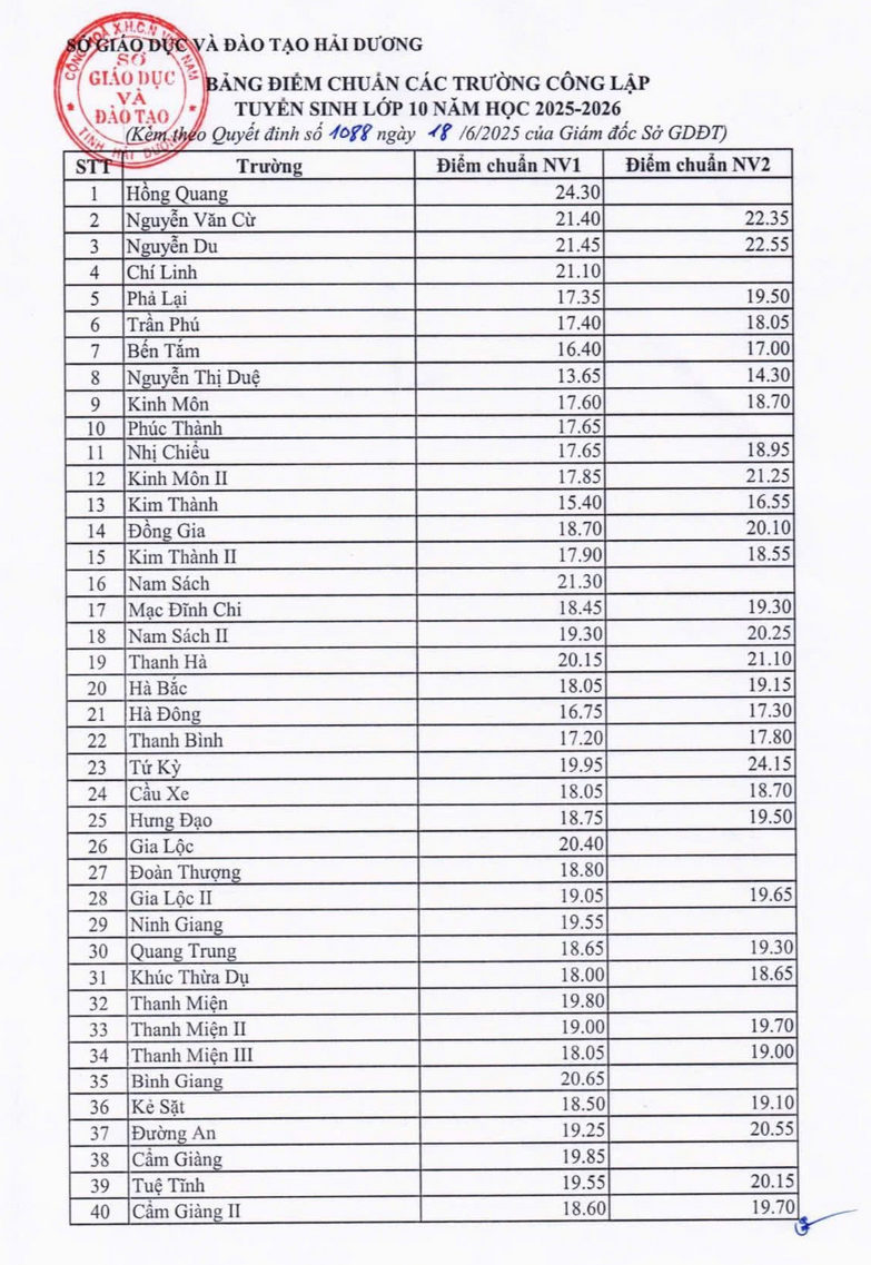
Ngày 18/6, Sở Giáo dục và Đào tạo Hải Dương đã chính thức công bố điểm chuẩn vào lớp 10 các trường THPT công lập năm học 2025-2026. Để giúp các em cập nhật thông tin điểm chuẩn của trường, VnDoc gửi tới các em thông tin Điểm chuẩn vào lớp 10 tỉnh Hải Dương để các em tiện theo dõi.
1. Điểm chuẩn lớp 10 Hải Dương 2025
Điểm chuẩn vào lớp 10 Hải Dương 2025 đã được công bố trong chiều 18/6.


2. Điểm chuẩn lớp 10 Hải Dương năm 2024
Điểm chuẩn vào lớp 10 các trường THPT công lập trên địa bàn tỉnh Hải Dương năm học 2024-2025 như sau:


Lưu ý: thí sinh cần nhớ lịch từ ngày 20-21/6, làm thủ tục nhập học nguyện vọng 1 tại hội đồng thi, nơi thí sinh dự thi; nếu quá thời hạn thí sinh sẽ bị xóa tên khỏi danh sách trúng tuyển (trừ trường hợp có lý do chính đáng).
3. Điểm chuẩn lớp 10 Hải Dương năm 2023
Điểm chuẩn trúng tuyển vào lớp 10 Hải Dương năm 2023


4. Điểm chuẩn lớp 10 năm 2022 Hải Dương
Điểm chuẩn vào lớp 10 Hải Dương 2022 chính thức được Sở GD&ĐT tỉnh Hải Dương công bố vào sáng ngày 29/6.


Điểm chuẩn lớp 10 năm 2021 Hải Dương


Điểm chuẩn vào lớp 10 THPT tỉnh Hải Dương năm 2019 - 2020
Trao đổi với PV Báo Gia đình & Xã hội, ông Đỗ Duy Hưng – Phó Giám đốc Sở Giáo dục và Đào tạo tỉnh Hải Dương cho biết: "Chiều qua, đơn vị chúng tôi đã tiến hành công bố điểm thi của thí sinh, điểm chuẩn vào các trường THPT công lập trên địa bàn toàn tỉnh trong kỳ tuyển vào lớp 10 năm học 2019 - 2020".

Theo đó, điểm chuẩn vào lớp 10 hệ công lập trên địa bàn toàn tỉnh năm nay có sự khác nhau. Cụ thể, trong đó có 3 trường lấy điểm dưới 10; 13 trường điểm chuẩn dưới 20; có 23 trường chuẩn từ 20 đến dưới 30 điểm và 1 trường trên 30 điểm..
Lý giải về số điểm chuẩn từng trường có sự khác nhau, lãnh đạo Sở GD&ĐT Hải Dương cho hay, những trường lấy điểm thấp do lượng thí sinh nộp hồ sơ dự tuyển ít cho nên điểm trúng tuyển không được cao. Thậm chí, một số trường những năm trước đây lấy điểm cao khiến nhiều học sinh có tâm lý e ngại nộp hồ sơ.
Tuy nhiên, nhìn chung điểm trúng tuyển vào lớp 10 hệ công lập năm 2019 - 2020 thấp hơn năm trước và từ ngày 13/6 – 23/6, Sở sẽ nhận đơn phúc khảo của các thí sinh.
Trước đó, từ ngày 2-3/6, gần 19.000 thí sinh tham dự kỳ thi tuyển sinh vào lớp 10 công lập năm học 2019 - 2020 với 3 môn thi: Toán, Văn, Tiếng Anh. Kỳ thi diễn ra nguyên túc, đúng quy định, riêng thí sinh dự tuyển vào trường THPT chuyên Nguyễn Trãi thi các môn chuyên vào chiều 3/6 và sáng 4/6. Kết thúc kỳ thi, có 62 lượt thí sinh bỏ thi.
Hải Dương công bố điểm chuẩn vào lớp 10 năm học 2018-2019
Tối ngày 14/6, tỉnh Hải Dương đã công bố điểm chuẩn vào lớp 10 các trường THPT không chuyên và trường THPT chuyên Nguyễn Trãi năm học 2018-2019.
Theo Sở GD&ĐT tỉnh Hải Dương, năm nay do lượng thí sinh đông và chất lượng thí sinh tốt nên hầu hết các trường trên địa bàn tỉnh đều có điểm chuẩn vào lớp 10 cao hơn so với năm trước. Cụ thể như sau:
|
STT |
Trường |
Điểm chuẩn vào lớp 10 |
|
1 |
THPT Hồng Quang |
35 |
|
2 |
THPT Thanh Miện |
33 |
|
3 |
THPT Bình Giang |
32,45 |
|
4 |
THPT Đoàn Thượng |
30,4 |
|
5 |
THPT Gia Lộc |
30,3 |
|
6 |
THPT Hoàng Văn Thụ |
30,35 |
|
7 |
THPT Quang Trung |
30,4 |
|
8 |
THPT Ninh Giang |
30 |
Đối với những trường THPT không chuyên còn lại đều có điểm chuẩn dưới 20 điểm
Trường THPT chuyên Nguyễn Trãi có điểm chuẩn vào lớp 10 chuyên cao nhất ở lớp chuyên Anh (50,6 điểm). Ngoài ra, các lớp có điểm chuẩn tương đối cao như: chuyên Toán (41,4 điểm); chuyên Văn (43,7 điểm); chuyên Lý (40,5 điểm); chuyên Hóa (40,4 điểm); chuyên Tiếng Pháp (45 điểm); chuyên Tiếng Nga (41,5 điểm).
|
STT |
Lớp |
Điểm chuẩn |
|
1 |
Chuyên Toán |
41,4 |
|
2 |
Chuyên Tin |
33,6 |
|
3 |
Chuyên Văn |
43,7 |
|
4 |
Chuyên Lý |
40,5 |
|
5 |
Chuyên Hóa |
40,4 |
|
6 |
Chuyên Sử |
36 |
|
7 |
Chuyên Anh |
50,6 |
|
8 |
Chuyên Địa |
34 |
|
9 |
Chuyên Tiếng Pháp |
45 |
|
10 |
Chuyên Tiếng Nga |
41,5 |
|
11 |
Lớp không chuyên |
41 |
Năm học 2018-2019, trường THPT chuyên Nguyễn Trãi (Hải Dương) tuyển sinh lớp không chuyên với điểm chuẩn vào lớp 10 là 41 điểm.
Tham khảo thêm điểm chuẩn vào lớp 10 Sở GD&ĐT Hải Dương năm 2016 - 2017
Sở GD&ĐT tỉnh Hải Dương công bố điểm chuẩn vào lớp 10 năm 2016 - 2017 của trường THPT Chuyên Nguyễn Trãi và 40 trường THPT trên địa bàn tỉnh tổ chức thi cụ thể như sau:
Điểm chuẩn vào lớp 10 THPT Chuyên Nguyễn Trãi - Hải Dương

Điểm chuẩn vào lớp 10 THPT tỉnh Hải Dương 2016



