Lý thuyết Toán 6 bài 24: So sánh phân số. Hỗn số dương
Lý thuyết Toán 6 bài 24: So sánh phân số. Hỗn số dương là tài liệu do VnDoc biên soạn tổng hợp lý thuyết chi tiết cùng các ví dụ và các bài giải bài tập cho các bạn học sinh tham khảo, củng cố kỹ năng giải Toán lớp 6 bài So sánh phân số - Hỗn số dương bộ sách Kết nối tri thức với cuộc sống, chuẩn bị cho các bài kiểm tra trong năm học. Mời các bạn học sinh tham khảo chi tiết nội dung bài.
So sánh phân số. Hỗn số dương lớp 6
I. Lý thuyết So sánh phân số. Hỗn số dương
1. Quy đồng mẫu nhiều phân số
Để quy đồng hai hay nhiều phân số ta làm như sau:
Bước 1: Tìm một bội chung (thường là BCNN) của các mẫu để làm mẫu chung.
Bước 2: Tìm thừa số phụ của mỗi mẫu bằng cách chia mẫu chung cho từng mẫu.
Bước 3: Nhân tử và mẫu của mỗi phân số với thừa số phụ tương ứng.
Ví dụ 1: Để quy đồng ba phân số
ta làm như sau:
+ Đưa về các phân số có mẫu dương:
.
+ Tìm mẫu chung: BCNN (3; 4; 6) = 12
+ Thừa số phụ:
12 : 3 = 4
12 : 4 = 3
12 : 6 = 2
Ta có:

2. So sánh hai phân số
a) So sánh hai phân số cùng mẫu
– Trong hai phân số cùng một mẫu dương, phân số nào có tử lớn hơn thì phân số đó lớn hơn.
Ví dụ 2:
là hai phân số có cùng mẫu số dương.
Vì –3 < 2 nên
.
b) So sánh hai phân số không cùng mẫu
– Muốn so sánh hai phân số không cùng mẫu, ta viết chúng dưới dạng hai phân số có cùng một mẫu dương rồi so sánh các tử số với nhau: phân số nào có tử số lớn hơn thì phân số đó lớn hơn.
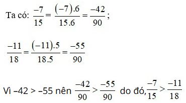
Ví dụ 3: So sánh hai phân số sau:
.
BCNN (15; 18) = 90

3. Hỗn số dương
– Khái niệm hỗn số dương: Với a, b, c là những số nguyên dương, ta gọi
là một hỗn số dương với a là phần nguyên và
là phần phân số.
Ví dụ 4:
là một hỗn số dương với phần nguyên là 2 và phần phân số là
. Khi đó ta đọc
là hai năm phần bảy.
là một hỗn số dương với phần nguyên là 1 và phần phân số là
. Khi đó ta đọc
là một bốn phần chín.
– Muốn đổi từ hỗn số sang phân số ta làm như sau:
Bước 1: Giữ nguyên phần mẫu số.
Bước 2: Phần tử số mới sẽ bằng phần mẫu số nhân với phần nguyên và cộng với phần tử số ban đầu.
Ví dụ 5: Đổi hỗn số
sang phân số:
![]()
– Muốn đổi từ phân số sang hỗn số (điều kiện tử số của phân số phải lớn hơn mẫu số) ta làm như sau:
Bước 1: Giữ nguyên phần mẫu số và mẫu số này sẽ là mẫu số trong phần hỗn số mới.
Bước 2: Lấy phần tử số chia cho mẫu số, phần thương sẽ là phần nguyên trong hỗn số mới và phần dư là tử số mới của hỗn số.
Ví dụ 6: Đổi phân số
sang hỗn số
Ta có 15 chia 9 được thương là 1 và dư 6 do đó:
![]()
II. Bài tập So sánh phân số. Hỗn số dương
Bài 1: Quy đồng các phân số trong các trường hợp sau:

Lời giải:


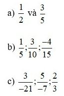
Bài 2: So sánh các phân số trong các trường hợp sau:

Lời giải:

Bài 3: Đổi các hỗn số sau ra phân số:
.
Lời giải:

Bài 4: Đổi các phân số ra hỗn số:
; ![]()
Lời giải:
+ Ta có 31 chia 12 được 2 dư 7 nên ta có:
![]()
+ Ta có 17 chia 4 được 4 dư 1 nên ta có:
.