Lý thuyết Toán 6 bài 26: Phép nhân và phép chia phân số
Lý thuyết Toán 6 bài 26: Phép nhân và phép chia phân số là tài liệu do VnDoc biên soạn tổng hợp lý thuyết chi tiết cùng các ví dụ và các bài giải bài tập cho các bạn học sinh tham khảo, củng cố kỹ năng giải Toán lớp 6 bài Phép nhân và phép chia phân số bộ sách Kết nối tri thức với cuộc sống, chuẩn bị cho các bài kiểm tra trong năm học. Mời các bạn học sinh tham khảo chi tiết nội dung bài.
Phép nhân và phép chia phân số lớp 6
I. Lý thuyết Phép nhân và phép chia phân số
1. Phép nhân hai phân số
– Muốn nhân hai phân số, ta nhân các tử số với nhau và các mẫu số với nhau.
Cho a, b, c, d ∈ ℤ; b≠0; d≠0.
Khi đó phép nhân hai phân số ta có:
![]()
Ví dụ 1:

2. Tính chất của phép nhân
Cho
là các phân số với a, b, c, d, e, f ∈ ℤ; b≠0; d≠0; f≠0.
Khi đó ta có các tính chất của phép nhân như sau:
+ Tính giao hoán: ![]()
+ Tính kết hợp: ![]()
+ Tính nhân với 1: ![]()
+ Tính phân phối giữa phép nhân với phép cộng: ![]()
Ví dụ 2:

3. Phép chia phân số
a) Phân số nghịch đảo:
Phân số này được gọi là nghịch đảo của phân số kia nếu tích của chúng bằng 1
Cho a, b ∈ ℤ; a, b ≠ 0
Phân số
là phân số nghịch đảo của phân số
vì ![]()
Ví dụ 3:
Phân số
là phân số nghịch đảo của phân số
vì ![]()
b) Phép chia phân số
– Muốn chia một phân số cho một phân số khác 0, ta nhân số bị chia với phân số nghịch đảo của số chia.
với a, b, c, d ∈ ℤ; b≠0; c≠0; d≠0
Ví dụ 4:

II. Bài tập Phép nhân và phép chia phân số
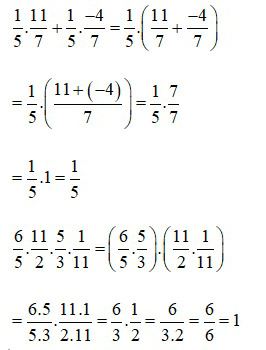
Bài 1: Thực hiện phép tính

Lời giải:

Bài 2: Thực hiện phép tính

Lời giải:

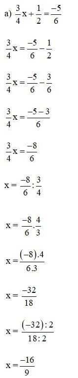
Bài 3: Tìm x

Lời giải:


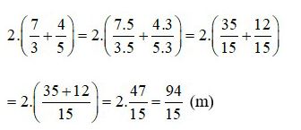
Bài 4: Một hình chữ nhật có chiều dài là
m và diện tích của hình chữ nhật là
m2. Tính chiều rộng, chu vi hình chữ nhật đó.
Lời giải:
Chiều rộng của hình chữ nhật là:

Chu vi hình chữ nhật là:

Vậy chiều rộng hình chữ nhật là
m và chu vi của nó là
m.