Lý thuyết Toán 6 Kết nối tri thức: Số nguyên tố
Lý thuyết Toán 6 Kết nối tri thức: Số nguyên tố là tài liệu do VnDoc biên soạn tổng hợp lý thuyết chi tiết cùng các ví dụ và các bài giải bài tập cho các bạn học sinh tham khảo, củng cố kỹ năng giải Toán lớp 6 bài 10 Số nguyên tố, chuẩn bị cho các bài kiểm tra trong năm học. Mời các bạn học sinh tham khảo chi tiết nội dung bài.
Số nguyên tố lớp 6
I. Lý thuyết Số nguyên tố
1. Số nguyên tố và hợp số
- Số nguyên tố là số tự nhiên lớn hơn 1, chỉ có hai ước là 1 và chính nó.
- Hợp số là số tự nhiên lơn hơn 1, có nhiều hơn hai ước.
Ví dụ 1. Trong các số đã cho dưới đây, số nào là số nguyên tố, số nào là hợp số? Vì sao?
190; 11; 132; 23; 43; 17; 21.
Lời giải
Ta thấy 190 có các ước là 1, 2, 5, 190 nhiều hơn hai ước nên 190 là hợp số;
11 chỉ có ước là 1 và 11 nên 11 là số nguyên tố;
132 có các ước là 1; 2; 132 nhiều hơn hai ước nên 132 là hợp số;
23 chỉ có ước là 1 và 23 nên 23 là số nguyên tố;
43 chỉ có ước là 1 và 43 nên 43 là số nguyên tố;
17 chỉ có ước là 1 và 17 nên 17 là số nguyên tố;
21 có các ước là 1; 3; 7; 21 nhiều hơn hai ước nên 21 là hợp số.
2. Phân tích một số ra thừa số nguyên tố
Mọi số đều có thể phân tích ra tích của các thừa số nguyên tố
Cách phân tích một số ra thừa số nguyên tố:
+) Phương pháp phân tích bằng sơ đồ cây
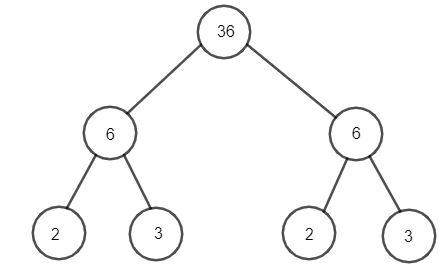
Ví dụ 2. Phân tích 36 ra tích các thừa số nguyên tố bằng sơ đồ cây:
Lời giải

Vậy 36 = 22.32.
+) Phương pháp phân tích bằng sơ đồ cột
Ví dụ 3. Phân tích 36 ra tích các thừa số nguyên tố bằng sơ đồ cột:
|
36 18 9 3 1 |
2 2 3 3 |
Vậy 36 = 22.32.
II. Bài tập Số nguyên tố
Bài 1. Phân tích các số sau ra thừa số nguyên tố: 60; 121; 225.
Lời giải
Ta sẽ sử dụng sơ đồ cột
|
60 30 15 5 1 |
2 2 3 5
|
Vậy 60 = 22.3.5
|
121 11 1 |
11 11
|
Vậy 121 = 112
|
225 45 9 3 1 |
5 5 3 3
|
Vậy 225 = 32.52
Bài 2. Các khẳng định sau đúng hay sai? Vì sao?
a) Ước nguyên tố của 12 là 1; 2; 3.
b) Tích hai số nguyên tố bất kì luôn là số chẵn.
c) Mọi số chẵn đều là hợp số.
d) Mọi số lẻ đều là số nguyên tố.
Lời giải
a) 1; 2; 3 là các ước của 12, trong đó 2 và 3 là số nguyên tố còn 1 không phải là số nguyên tố nên a sai.
b) Ta có 3 và 5 là hai số nguyên tố. Tích 3.5 = 15 không phải là số chẵn. Do đó b sai.
c) Số 2 là số chẵn nhưng 2 là số nguyên tố nên c sai.
d) Ta có 15 là số lẻ nhưng 15 không phải là số nguyên tố. Do đó d sai.