Lý thuyết Toán 6 bài 25: Phép cộng và phép trừ phân số
Lý thuyết Toán 6 bài 25: Phép cộng và phép trừ phân số là tài liệu do VnDoc biên soạn tổng hợp lý thuyết chi tiết cùng các ví dụ và các bài giải bài tập cho các bạn học sinh tham khảo, củng cố kỹ năng giải Toán lớp 6 bài Phép cộng và phép trừ phân số bộ sách Kết nối tri thức với cuộc sống, chuẩn bị cho các bài kiểm tra trong năm học. Mời các bạn học sinh tham khảo chi tiết nội dung bài.
Phép cộng và phép trừ phân số lớp 6
I. Lý thuyết Phép cộng và phép trừ phân số
1. Phép cộng hai phân số
a) Cộng hai phân số cùng mẫu
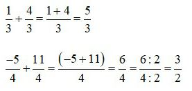
– Muốn cộng hai phân số cùng mẫu, ta cộng các tử và giữ nguyên mẫu: ![]()
Ví dụ 1:

b) Cộng hai phân số không cùng mẫu số
– Muốn cộng hai phân số không cùng mẫu, ta viết chúng dưới dạng hai phân số cùng mẫu rồi cộng các tử và giữ nguyên mẫu.
Ví dụ 2:

c) Số đối
– Hai số được gọi là đối nhau nếu tổng của chúng bằng 0. Kí hiệu số đối của phân số
là
.
với ![]()
Ví dụ 3:
và
là hai phân số đối nhau vì ![]()
2. Tính chất của phép cộng hai phân số
Cho hai phân số với a, b, c, d, e, f ∈ ℤ; b ≠ 0; d ≠ 0, f ≠ 0. Ta có:
+ Tính chất giao hoán: ![]()
+ Tính chất kết hợp: ![]()
+ Tính chất cộng với số 0: ![]()
3. Phép trừ hai phân số
a) Trừ hai phân số cùng mẫu
– Muốn trừ hai phân số cùng mẫu, ta lấy tử số của phân số thứ nhất trừ đi tử số của phân số thứ hai và giữ nguyên mẫu số.
với a, b, m ∈ ℤ ; m ≠ 0.
Ví dụ 4:

b) Trừ hai phân số không cùng mẫu:
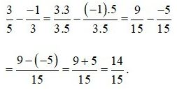
– Muốn trừ hai phân số không cùng mẫu, ta quy đồng mẫu hai phân số rồi trừ hai phân số đó.
Ví dụ 5:

II. Bài tập Phép cộng và phép trừ phân số
Bài 1: Thực hiện phép tính

Lời giải:

Bài 2: Thực hiện phép tính

Lời giải:

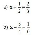
Bài 3: Tìm x

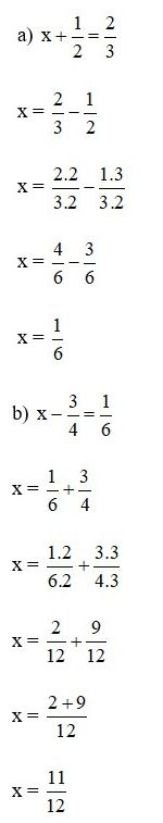
Lời giải:
