Giao diện mới của VnDoc Pro: Dễ sử dụng hơn - chỉ tập trung vào lớp bạn quan tâm. Vui lòng chọn lớp mà bạn quan tâm: Lưu và trải nghiệm
Đóng
Điểm danh hàng ngày
  • Hôm nay +3
  • Ngày 2 +3
  • Ngày 3 +3
  • Ngày 4 +3
  • Ngày 5 +3
  • Ngày 6 +3
  • Ngày 7 +5
Bạn đã điểm danh Hôm nay và nhận 3 điểm!
Nhắn tin Zalo VNDOC để nhận tư vấn mua gói Thành viên hoặc tải tài liệu Hotline hỗ trợ: 0936 120 169

Đề ôn tập học kì 2 môn Toán lớp 4 - Đề 1

Đóng
Bạn đã dùng hết 1 lần làm bài Trắc nghiệm miễn phí. Mời bạn mua tài khoản VnDoc PRO để tiếp tục! Tìm hiểu thêm
Mô tả thêm:

Đề ôn tập học kì 2 môn Toán lớp 4

Đề ôn tập học kì 2 môn Toán lớp 4 - Đề 1 được VnDoc sưu tầm, chọn lọc các dạng bài tập trọng tâm cho các em học sinh ôn tập, củng cố kiến thức chuẩn bị cho các bài thi kiểm tra học kì 2 lớp 4. Mời các thầy cô cùng các em học sinh tham khảo chi tiết.

Bạn có thể tải đầy đủ cả đề và đáp án tại đây: Đề ôn tập học kì 2 môn Toán lớp 4 - Đề 1

  • Số câu hỏi: 7 câu
  • Số điểm tối đa: 10 điểm
Bắt đầu làm bài
Bạn còn 1 lượt làm bài tập miễn phí. Hãy mua tài khoản VnDoc PRO để học không giới hạn nhé! Bạn đã HẾT lượt làm bài tập miễn phí! Hãy mua tài khoản VnDoc PRO để làm Trắc nghiệm không giới hạn và tải tài liệu nhanh nhé!
Mua ngay Đổi điểm
Trước khi làm bài bạn hãy
  • 1 Ôn tập kiến thức đã nêu trong phần Mô tả thêm
  • 2 Tìm không gian và thiết bị phù hợp để tập trung làm bài
  • 3 Chuẩn bị sẵn dụng cụ cần dùng khi làm bài như bút, nháp, máy tính
  • 4 Căn chỉnh thời gian làm từng câu một cách hợp lý
  • Câu 1: Nhận biết

    Bài 1. Khoanh vào chữ đặt trước câu trả lời đúng: a) 200000 + 3000 + 500 + 60 + 3 =. …… Số điền vào chỗ chấm:

  • Câu 2: Nhận biết

    b.

    Đề ôn tập học kì 2 môn Toán lớp 4
  • Câu 3: Nhận biết

    c) Số thích hợp điền vào hỗ chấm để 30 m2 6 dm2 = ….. dm2 là:

  • Câu 4: Nhận biết

    d) Diện tích hình bình hành có độ dài đáy 18 cm, chiều cao 8 m là:

  • Câu 5: Nhận biết
    Bài 2. Đúng ghi Đ, sai ghi S vào ô trống:

    Đề ôn tập học kì 2 môn Toán lớp 4

    a.
    b.
  • Câu 6: Nhận biết
    Bài 4. Hãy ghi tên đỉnh và cạnh của:

    Đề ôn tập học kì 2 môn Toán lớp 4


    a) Góc vuông ….. Góc đỉnh B cạnh BA, BC; góc đỉnh C cạnh CB, CD

    b) Góc tù ……. Góc đỉnh A cạnh AB, AD

    c) Góc nhọn …… Góc đỉnh A cạnh AB, AC; góc đỉnh A cạnh AC, AD

    Bài 5. Trung bình cộng của hai số là 975. Số bé bằng 2/3 số lớn. Tìm hai số đó. Trả lời: số bé là.................., số lớn là..............Số bé là 780, Số lớn là 1170

    Đáp án là:
    Bài 4. Hãy ghi tên đỉnh và cạnh của:

    Đề ôn tập học kì 2 môn Toán lớp 4


    a) Góc vuông ….. Góc đỉnh B cạnh BA, BC; góc đỉnh C cạnh CB, CD

    b) Góc tù ……. Góc đỉnh A cạnh AB, AD

    c) Góc nhọn …… Góc đỉnh A cạnh AB, AC; góc đỉnh A cạnh AC, AD

    Bài 5. Trung bình cộng của hai số là 975. Số bé bằng 2/3 số lớn. Tìm hai số đó. Trả lời: số bé là.................., số lớn là..............Số bé là 780, Số lớn là 1170

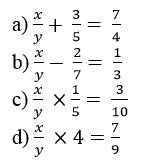
  • Câu 7: Nhận biết
    Bài 2. Tìm x biết:

    Đề ôn tập học kì 2 môn Toán lớp 4


    a. x = ............. 23

    b. x = ............ 13

    c. x = .............. 3

    d. x = .......... 7

    Đáp án là:
    Bài 2. Tìm x biết:

    Đề ôn tập học kì 2 môn Toán lớp 4


    a. x = ............. 23

    b. x = ............ 13

    c. x = .............. 3

    d. x = .......... 7

Chúc mừng Bạn đã hoàn thành bài!

Đề ôn tập học kì 2 môn Toán lớp 4 - Đề 1 Kết quả
  • Thời gian làm bài: 00:00:00
  • Số câu đã làm: 0
  • Điểm tạm tính: 0
  • Điểm thưởng: 0

Đấu trường Đề ôn tập học kì 2 môn Toán lớp 4 - Đề 1

Đang tìm đối thủ...

Đang tải...

Xác thực tài khoản!

Theo Nghị định 147/2024/ND-CP, bạn cần xác thực tài khoản trước khi sử dụng tính năng này. Chúng tôi sẽ gửi mã xác thực qua SMS hoặc Zalo tới số điện thoại mà bạn nhập dưới đây:

Số điện thoại chưa đúng định dạng!
Số điện thoại này đã được xác thực!
Bạn có thể dùng Sđt này đăng nhập tại đây!
Lỗi gửi SMS, liên hệ Admin
Sắp xếp theo