Giao diện mới của VnDoc Pro: Dễ sử dụng hơn - chỉ tập trung vào lớp bạn quan tâm. Vui lòng chọn lớp mà bạn quan tâm: Lưu và trải nghiệm
Đóng
Điểm danh hàng ngày
  • Hôm nay +3
  • Ngày 2 +3
  • Ngày 3 +3
  • Ngày 4 +3
  • Ngày 5 +3
  • Ngày 6 +3
  • Ngày 7 +5
Bạn đã điểm danh Hôm nay và nhận 3 điểm!
Nhắn tin Zalo VNDOC để nhận tư vấn mua gói Thành viên hoặc tải tài liệu Hotline hỗ trợ: 0936 120 169

Giải bài tập Cùng em học Toán lớp 5 Tuần 6 - Đề 1

Đóng
Bạn đã dùng hết 1 lần làm bài Trắc nghiệm miễn phí. Mời bạn mua tài khoản VnDoc PRO để tiếp tục! Tìm hiểu thêm
Mô tả thêm:

Cùng em học Toán lớp 5 Tuần 6

Giải bài tập Cùng em học Toán lớp 5 tuần 6 - Đề 1 hướng dẫn các em học sinh giải toàn bộ các bài tập tuần 6 lớp 5 về luyện tập và bổ sung về giải toán, dạng Toán đo diện tích giúp các em học sinh nâng cao kỹ năng giải Toán.

  • Số câu hỏi: 7 câu
  • Số điểm tối đa: 10 điểm
Bắt đầu làm bài
Bạn còn 1 lượt làm bài tập miễn phí. Hãy mua tài khoản VnDoc PRO để học không giới hạn nhé! Bạn đã HẾT lượt làm bài tập miễn phí! Hãy mua tài khoản VnDoc PRO để làm Trắc nghiệm không giới hạn và tải tài liệu nhanh nhé!
Mua ngay Đổi điểm
Trước khi làm bài bạn hãy
  • 1 Ôn tập kiến thức đã nêu trong phần Mô tả thêm
  • 2 Tìm không gian và thiết bị phù hợp để tập trung làm bài
  • 3 Chuẩn bị sẵn dụng cụ cần dùng khi làm bài như bút, nháp, máy tính
  • 4 Căn chỉnh thời gian làm từng câu một cách hợp lý
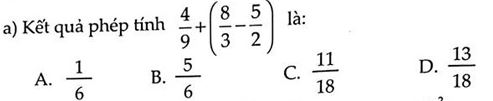
  • Câu 1: Nhận biết

    Bài 1: Chọn câu trả lời đúng

    Cùng em học Toán lớp 5
  • Câu 2: Nhận biết

    b

    Viết số thích hợp vào chỗ chấm: 12 ha = ....m2
  • Câu 3: Nhận biết

    c

    Một khu đất hình vuông có cạnh dài 200m. Hỏi diện tích khu đất rộng bao nhiêu hec-ta?
  • Câu 4: Nhận biết

    d

    Cùng em học Toán lớp 5
  • Câu 5: Nhận biết

    e

    Viết số thích hợp vào chỗ chấm: 5 ha 50 m2 = ...m2
  • Câu 6: Nhận biết
    Bài 2 Cùng em học Toán lớp 5
    Các câu trả lời đúng là: ...., ....a, c
    Đáp án là:
    Bài 2 Cùng em học Toán lớp 5
    Các câu trả lời đúng là: ...., ....a, c
  • Câu 7: Nhận biết
    Bài 3 Một khu rừng hình chữ nhật có chiều dài 500m và chiều rộng bằng 2/5 chiều dài. Hỏi diện tích khu rừng đó rộng bao nhiêu hec-ta?
    Trả lời: Diện tích của khu rừng là ....ha10
    Đáp án là:
    Bài 3 Một khu rừng hình chữ nhật có chiều dài 500m và chiều rộng bằng 2/5 chiều dài. Hỏi diện tích khu rừng đó rộng bao nhiêu hec-ta?
    Trả lời: Diện tích của khu rừng là ....ha10
    Cùng em học Toán lớp 5 Tuần 6

Chúc mừng Bạn đã hoàn thành bài!

Giải bài tập Cùng em học Toán lớp 5 Tuần 6 - Đề 1 Kết quả
  • Thời gian làm bài: 00:00:00
  • Số câu đã làm: 0
  • Điểm tạm tính: 0
  • Điểm thưởng: 0

Đấu trường Giải bài tập Cùng em học Toán lớp 5 Tuần 6 - Đề 1

Đang tìm đối thủ...

Đang tải...

Xác thực tài khoản!

Theo Nghị định 147/2024/ND-CP, bạn cần xác thực tài khoản trước khi sử dụng tính năng này. Chúng tôi sẽ gửi mã xác thực qua SMS hoặc Zalo tới số điện thoại mà bạn nhập dưới đây:

Số điện thoại chưa đúng định dạng!
Số điện thoại này đã được xác thực!
Bạn có thể dùng Sđt này đăng nhập tại đây!
Lỗi gửi SMS, liên hệ Admin
Sắp xếp theo