Bộ 12 đề ôn thi học kì 1 môn Toán lớp 7 năm học 2019 - 2020
VnDoc xin giới thiệu Bộ đề ôn thi học kì 1 lớp 7 môn Toán năm 2019 với 12 đề thi khác nhau là, sẽ tài liệu tham khảo hữu ích dành cho thầy cô tham khảo ra đề, cũng như các em học sinh ôn luyện, chuẩn bị cho kì thi học kì 1 lớp 7 sắp tới. Mời các bạn tải về để xem toàn bộ 12 đề thi học kì 1 lớp 7 môn Toán năm 2019.
Bộ 12 đề ôn thi học kì 1 môn Toán lớp 7 năm học 2019 - 2020 nằm trong Bộ đề thi học kì 1 lớp 7 trên VnDoc.com. Bộ đề kiểm tra học kì 1 lớp 7 được VnDoc sưu tầm và tuyển chọn từ các trường THCS trên cả nước từ những năm khác nhau, nhằm mang tới nguồn tài liệu phong phú và hữu ích cho các em học sinh làm quen với nhiều dạng đề thi khác nhau. Chúc các em học tốt.
Bộ đề kiểm tra học kì 1 lớp 7 môn Toán
Đề ôn thi học kì 1 môn Toán lớp 7 năm học 2019 - 2020 - Đề số 1
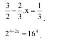
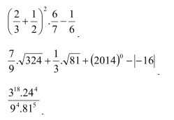
Bài 1: Thực hiện phép tính:

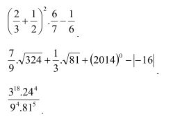
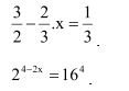
Bài 2: Tìm x biết:

Bài 3: (1,5 điểm) Một tam giác có chu vi là 84cm và ba cạnh của nó tỉ lệ với 5, 7, 9. Tính độ dài ba cạnh của tam giác đó.
Bài 4: (0,5 điểm) So sánh 291 và 535
Bài 5: (3 điểm) Cho ΔABC có AB < AC. Trên cạnh AC lấy điểm D sao cho AD = AB. Gọi M là trung điểm của đoạn BD.
a. Chứng minh ΔABM = ΔADM.
b. Tia AM cắt cạnh BC tại K. Chứng minh ΔABK = ΔADK.
c. Trên tia đối của tia BA lấy điểm E sao cho BE = DC. Chứng minh rằng ba điểm E, K, D thẳng hàng.
Đề ôn thi học kì 1 môn Toán lớp 7 năm học 2019 - 2020 - Đề số 2
Câu 1: Thực hiện phép tính:

Câu 2: Để làm xong một công việc trong 5 giờ cần 12 công nhân. Nếu số công nhân tăng thêm 8 người thì thời gian hoàn thành công việc giảm được mấy giờ? (Giả sử năng suất làm việc của mỗi công nhân là như nhau)
Câu 3: Cho tam giác ABC có góc A = 900 và AB = AC. Gọi K là trung điểm BC. Chứng minh
a) AKB = AKC
b) AK ⊥ BC
c) Từ C vẽ đường vuông góc với BC cắt đường thẳng AB tại E. Chứng minh EC // AK.
Câu 4: So sánh: 2515 và 810. 330
Đề ôn thi học kì 1 môn Toán lớp 7 năm học 2019 - 2020 - Đề số 3
Bài 1: Thực hiện phép tính:

Bài 2: Tìm x, biết:

Bài 3:
Ba đội máy cày có 18 máy (có cùng năng suất) làm việc trên 3 cánh đồng có cùng diện tích. Đội 1 làm xong trong 3 ngày, đội 2 trong 4 ngày và đội 3 trong 6 ngày. Hỏi mỗi đội có mấy máy?
Bài 4: Cho ABC có AB = AC, M là trung điểm của BC.
a. Chứng minh: ABM = ACM.
b. Trên tia đối của MA lấy D sao cho MD = MA. Chứng minh: AC = BD.
c. Chứng minh: AB // CD.
d. Trên nửa mặt phẳng bờ là AC không chứa B, vẽ tia Ax // BC, lấy IAx sao cho AI = BC. Chứng minh: D, C, I thẳng hàng.
Trên đây, VnDoc đã giới thiệu tới các bạn Bộ 12 đề ôn thi học kì 1 môn Toán lớp 7 năm học 2019 - 2020, mời các bạn tải về để xem toàn bộ 12 đề thi. Ngoài ra, các bạn có thể tham khảo thêm các tài liệu lớp 7 khác như: Giải bài tập Toán lớp 7, Giải Vở BT Toán 7 và các dạng đề thi học kì 1 lớp 7, Đề thi học kì 2 lớp 7 ... cũng được cập nhật liên tục trên VnDoc.com.
Tham khảo thêm:
- Đề thi học kì 1 lớp 7 môn Toán trường THPT Chuyên Hà Nội - Amsterdam năm học 2019 - 2020
- Bộ đề kiểm tra học kì 1 Toán 7 có đáp án năm 2019
- Đề thi học kì 1 Toán 7 có đáp án phòng GD&ĐT huyện Thanh Trì năm học 2019 - 2020
- Đề thi học kì 1 lớp 7 môn Toán trường THPT Chuyên Trần Đại Nghĩa năm học 2019 - 2020
- Đề thi học kì 1 lớp 7 môn Toán trường THCS Dịch Vọng năm học 2019 - 2020
- Đề thi học kì 1 lớp 7 môn Toán trường THCS Lương Thế Vinh năm học 2019 - 2020
- Đề cương ôn thi học kì 1 môn Toán lớp 7 năm học 2019 - 2020
- Đề kiểm tra học kì 1 môn Toán lớp 7 năm 2019 - Đề 1
- Đề kiểm tra học kì 1 môn Toán lớp 7 năm 2019 - Đề 2
- Đề kiểm tra học kì 1 môn Toán lớp 7 năm 2019 - Đề 3
- Đề kiểm tra học kì 1 môn Toán lớp 7 năm 2019 - Đề 4
- Đề kiểm tra học kì 1 môn Toán lớp 7 năm 2019 - Đề 5