Đề cương ôn thi giữa kì 2 Hóa 11 Cánh diều
Đề cương giữa học kì 2 lớp 11
Lớp:
Lớp 11
Môn:
Hóa Học
Dạng tài liệu:
Đề thi
Bộ sách:
Cánh diều
Loại:
Tài liệu Lẻ
Thời gian:
Học kì 2
Loại File:
Word + PDF
Phân loại:
Tài liệu Tính phí

ĐỀ CƯƠNG ÔN TẬP GIỮA KỲ 2 HÓA 11
CÁNH DIỀU
PHẦN I. Câu trắc nghiệm nhiều phương án lựa chọn. Thí sinh trả lời từ Câu 1 đến Câu
18. Mỗi Câu hỏi thí sinh chỉ chọn một phương án.
Câu 1. Dãy nào sau đây chỉ gồm các chất thuộc dãy đồng đẳng của Alkane?
A. C
2
H
2
, C
3
H
4
, C
4
H
6
, C
5
H
8
. B. CH
4
, C
2
H
2
, C
3
H
4
, C
4
H
10
.
C. CH
4
, C
2
H
6
, C
4
H
10
, C
5
H
12
. D. C
2
H
6
, C
3
H
8
, C
5
H
10
, C
6
H
12
.
Câu 2. Trong phân tử 2,2,4 - trimethylpentane có bao nhiêu nguyên tử hydrogen?
A. 8. B. 12. C. 16. D. 18.
Câu 3. Hiện nay, nhiều nơi ở nông thôn đang sử dụng hầm biogas để xử lí chất thải trong
chăn nuôi gia súc, cung cấp nhiên liệu cho việc đun nấu. Chất dễ cháy trong khí biogas là
A. Cl
2
. B. CH
4
. C. CO
2
. D. N
2
.
Câu 4. Phát biểu nào sau đây sai?
A. Ở điều kiện thường, các alkane từ C
1
đến C
4
ở trạng thái khí, từ C
5
đến khoảng
C
18
ở trạng thái lỏng, từ khoảng C
18
trở đi ở trạng thái rắn.
B. Nhiệt độ nóng chảy, nhiệt độ sôi và khối lượng riêng của alkane nói chung đều
giảm theo chiều tăng số nguyên tử cacbon trong phân tử.
C. Alkane không tan trong nước nhưng tan trong dung môi không phân cực như
dầu, mỡ.
D. Alkane đều là những chất không màu.
Câu 5. Khi bị cháy xăng dầu không nên dùng nước để dập tắt vì
A. Xăng dầu nhẹ hơn nước nổi trên mặt nước, làm tăng khả năng tiếp xúc với
oxygen, làm đám cháy loang rộng hơn.
B. Xăng dầu tác dụng với nước
C. Nước xúc tác cho phản ứng cháy của xăng dầu
D. Đám cháy cung cấp nhiệt làm H
2
O bị phân hủy giải phóng oxygen cung cấp
thêm cho đám cháy to hơn.
Câu 6. C
4
H
6
có bao nhiêu đồng phân alkyne?
A. 5. B. 2. C. 3. D. 4.
Câu 7. Trong alkene, mạch chính là
A. mạch dài nhất và có nhiều nhánh nhất.
B. mạch có chứa liên kết đôi và nhiều nhánh nhất.
C. mạch có chứa liên kết đôi, nhiều nhánh nhất và phân nhánh sớm nhất.
D. mạch có chứa liên kết đôi, dài nhất và nhiều nhánh nhất.
Câu 8. Cho các alkene X và Y có công thức như sau:
Tên gọi của X và Y tương ứng là
A. cis-3-methylpent-2-ene và trans-3-methylpent-3-ene.
B. trans-3-methylpent-2-ene và cis-3-methylpent-2-ene.
C. trans-3-methylpent-3-ene và cis-3-methylpent-3-ene.
D. trans-3-methylpent-3-ene và cis-3-methylpent-2-ene.
Câu 9. Trùng hợp ethylene, sản phẩm thu được có cấu tạo là
A. (-CH
2
=CH
2
-)
n
. B. (-CH
2
-CH
2
-)
n
C. (-CH-CH-)
n
D. (-CH
3
-CH
3
-)
n

Câu 10. CH
3
-CBr
2
-CH
3
là sản phẩm chính của phản ứng nào sau đây ?
A. CH
3
-CH=CH
2
+ HBr (dư) B. CH
3
-C≡CH + HBr
C. CH
3
-C≡CH + HBr (dư) D. CH
3
-C≡CH + Br
2
(dư)
Câu 11. Alkyne nào sau đây tác dụng với H
2
O trong điều kiện thích hợp tạo ra aldehyde ?
A. CH
3
-C≡CH. B. CH
3
-C≡C-CH
3
.
C. CH
3
-CH
2
-C≡CH. D. CH≡CH.
Câu 12. Các arene không phân cực hoặc kém phân cực nên hầu như không tan
trong................ và thường nhẹ hơn nước, tan trong các.....................Cụm từ điền vào các
khoảng trống lần lượt là
A. nước,dung môi hữu cơ B. nước, nước
C. dung môi hữu cơ, nước D. dung môi hữu cơ,dung môi hữu cơ.
Câu 13. Có thể phân biệt C
6
H
6
và C
6
H
5
-CH=CH
2
bằng dung dịch nào sau đây?
A. dung dịch Br
2
B. dung dịch KMnO
4
C. dung dịch AgNO
3
D. dung dịch bromine và dung dịch KMnO
4
Câu 14. Nhận xét nào sau đây về tính chất hoá học của benzene là sai?
A. Benzene khó tham gia phản ứng cộng hơn ethylene.
B. Benzene dễ tham gia phản ứng thế hơn so với phản ứng cộng.
C. Benzene không bị oxi hoá bởi tác nhân oxi hoá thông thường.
D. Benzene làm mất màu dung dịch bromine ở điều kiện thường.
Câu 15. Liên kết C-X (X là F, Cl, Br và I) phân cực nhất trong phân tử nào sau đây?
A. CH
3
Cl. B. CH
3
F. C. CH
3
Br. D. CH
3
I.
Câu 16. Các hợp chất chỉ chứa chlorine, fluorine và carbon trong phân tử được gọi chung là
các hợp chất chlorofluorocarbon hay freon dưới tác dụng của ánh sáng mặt trời, tạo gốc tự
do, dẫn đến việc phá hủy tầng ozone và gây hiệu ứng nhà kính. Kí hiệu của các hợp chất
chlorofluorocarbon là
A. AFF. B. AFC. C. KFC. D. CFC.
Câu 17. Số đồng phân cấu tạo có cùng công thức phân tử C
3
H
7
Cl là
A. 3 B. 1 C. 4 D. 2
Câu 18. Cho sơ đồ phản ứng hóa học sau:
25
NaOH
3 2 3
C H OH,t
CH CHClCH CH
Sản phẩm chính theo quy tắc Zaitsev của phản ứng trên là
A. CH
3
–CH
2
–CH=CH
2
. B. CH
2
–CH–CH(OH)CH
3
.
C. CH
3
–C≡C–CH
3
. D. CH
3
–CH=CH–CH
3
.
PHẦN II. Câu trắc nghiệm đúng sai. Thí sinh trả lời từ Câu 1 đến Câu 4. Trong mỗi ý a),
b), c), d) ở mỗi Câu, thí sinh chọn đúng hoặc sai.
Câu 1. Chất lỏng X (có công thức phân tử là C
6
H
6
) không màu, có mùi thơm nhẹ, không tan
trong nước, là một dung môi hữu cơ thông dụng. X tác dụng với chlorine khi chiếu sáng tạo
nên chất rắn Y (phản ứng (1)); tác dụng với chlorine khi có xúc tác FeCl
3
, tạo ra chất lỏng Z
và khí T (phản ứng (2)). Khí T khi đi qua dung dịch silver nitrate tạo ra kết tủa trắng (phản
ứng (3)).
a. X là benzene và khí T là hydrogen chloride.
b. Phản ứng (1) và (2) thuộc loại phản ứng thế halide.
c. Tổng số nguyên tử trong phân tử Y là 18.
d. Chất Y do có độc tính, phân hủy chậm, có hại đối với sức khỏe con người, chim, thú và
gây ô nhiễm môi trường nên hiện nay không còn được sử dụng làm thuốc trừ sâu trong nông
nghiệp.

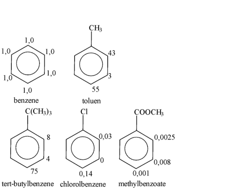
Câu 2. Trong phản ứng nitro hóa benzene và các hợp chất có vòng benzene, nếu quy ước tốc
độ phản ứng tại một trong các carbon bất kì của benzene là 1,0 thì tỉ lệ tốc độ phản ứng tương
đối của các vị trí trong vòng benzene ở một số hợp chất được cho như sau:
a. Các nhóm thế alkyl làm tăng hoạt vòng benzene, các nhóm thế halogen và ester làm giảm
hoạt vòng benzene.
b. Nitro hóa toluene thu được hỗn hợp 3 sản phẩm là o-nitrotoluene, m-nitrotoluene và p-
nitrotoluene, trong đó sản phẩm thế ortho chiếm khoảng 29,3%.
c. Nhóm tert-butyl có kích thước lớn làm cản trở sự tấn công tại các vị trí ortho nên phần
trăm sản phẩm thế ortho vào tert-butylbenzene giảm so với toluene.
d. Tỉ lệ phần trăm sản phẩm thế meta trong các phản ứng nitro hóa toluene và tert-
butylbenzene đều thấp, chứng tỏ các nhóm alkyl làm cho phản ứng có hướng thế ưu tiên vào
các vị trí ortho và para hơn so với vị trí meta.
Câu 3. Một số hydrocarbon mạch hở, đồng phân cấu tạo của nhau, trong phân tử có phần
trăm khối lượng carbon bằng 85,714%. Trên phổ khối lượng của một trong các chất trên có
peak ion phân tử ứng với giá trị m/z = 70.
a. Các hydrocarbon mạch hở (theo dữ kiện đề bài) có công thức đơn giản nhất là CH.
a. Các hydrocarbon mạch hở (theo dữ kiện đề bài) thuộc loại alkene.
b. Các hydrocarbon mạch hở (theo dữ kiện đề bài) có công thức phân tử là C
5
H
10
d. Có 6 công thức cấu tạo của các chất thoả mãn các đặc điểm trên.
Câu 4. Hình vẽ sau đây mô tả quá trình điều chế và thử tính chất hóa học của ethylene:
Đề cương ôn tập giữa kì 2 môn Hóa 11 Cánh diều
Đề cương ôn thi giữa kì 2 Hóa 11 Cánh diều được VnDoc.com tổng hợp và xin gửi tới bạn đọc cùng tham khảo. Đề cương được tổng hợp gồm có 18 câu hỏi trắc nghiệm nhiều phương án lựa chọn, 4 câu hỏi trắc nghiệm đúng sai và 6 câu hỏi trắc nghiệm trả lời ngắn. Đề cương có đáp án và lời giải chi tiết kèm theo. Mời các bạn cùng theo dõi đề cương dưới đây để có thêm tài liệu ôn thi kì thi giữa kì 2 lớp 11 sắp tới nhé.