Đề thi giáo viên dạy giỏi tỉnh Hòa Bình năm 2013 môn Toán
SỞ GIÁO DỤC VÀ ĐÀO TẠO
|
ĐỀ THI CHỌN GIÁO VIÊN GIỎI CẤP TỈNH
|
Câu 1 (4 điểm):
a. Phân tích các đa thức sau ra thừa số: x4 + 4 và (x + 2)(x + 3)(x + 4)(x + 5) - 24
b. Giải phương trình: x4 - 30x2 + 31x - 30 = 0
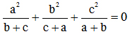
c. Cho
. Chứng minh rằng:![]()
Câu 2. (8 điểm):
a) Rút gọn biểu thức: 
b) Cho hàm số y = ax + 6 (d). Tìm a để (d) cắt hai trục Ox, Oy tại hai điểm A và B sao cho diện tích tam giác OAB bằng 12
c) Giải phương trình: ![]()
d) Cho hai đường tròn bằng nhau (O) và (O’) cắt nhau tại A và B. Vẽ đường thẳng qua A cắt (O’) tại N (A nằm giữa M và N). Hỏi tam giác MBN là tam giác gì? Tại sao?
Câu 3. (4 điểm):
Cho phương trình: x2 - 2(m + 2)x - m = 0 (1)
a) Tìm m để phương trình có 2 nghiệm.
b) Tìm các giá trị nguyên của m để phương trình (1) có hai nghiệm x1, x2 sao cho A = x12 + x22 đạt giá trị nhỏ nhất.
Câu 4. (4 điểm):
Cho đường tròn tâm O đường kính AB, M là một điểm trên đường tròn (M≠A, M≠B), tiếp tuyến với (O) tại A và M cắt nhau tại E. Từ M hạ các đường vuông góc MP, MQ lần lượt xuống AB và AE.
a. Chứng minh rằng: ΔMPB đồng dạng với ΔEMO.
b. Gọi I là giao điểm của PQ và OE. Chứng minh rằng: A, I, M thẳng hàng.