Giao diện mới của VnDoc Pro: Dễ sử dụng hơn - chỉ tập trung vào lớp bạn quan tâm. Vui lòng chọn lớp mà bạn quan tâm: Lưu và trải nghiệm
Đóng
Điểm danh hàng ngày
  • Hôm nay +3
  • Ngày 2 +3
  • Ngày 3 +3
  • Ngày 4 +3
  • Ngày 5 +3
  • Ngày 6 +3
  • Ngày 7 +5
Bạn đã điểm danh Hôm nay và nhận 3 điểm!
Nhắn tin Zalo VNDOC để nhận tư vấn mua gói Thành viên hoặc tải tài liệu Hotline hỗ trợ: 0936 120 169

Đề thi tuyển sinh lớp 10 THPT tỉnh Long An năm học 2013 - 2014 môn Toán (Có đáp án)

Lớp: Lớp 10
Loại File: PDF
Phân loại: Tài liệu Tính phí

Vndoc.com xin giới thiệu đến các bạn lớp 9, chuẩn bị thi lên lớp 10: Đề thi tuyển sinh lớp 10 THPT tỉnh Long An năm học 2013 - 2014 môn Toán (Có đáp án).

Đề thi tuyển sinh lớp 10 môn Toán:

SỞ GIÁO DỤC VÀ ĐÀO TẠO
LONG AN

ĐỀ THI CHÍNH THỨC

KỲ THI TUYỂN SINH VÀO LỚP 10 THPT
NĂM HỌC 2013 - 2014

MÔN THI: TOÁN (CÔNG LẬP)
Ngày thi:
26/06/2013
Thời gian làm bài: 120 phút (không kể thời gian giao đề)

Câu 1: (2 điểm)

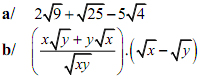
1. Rút gọn các biểu thức sau:
Đề thi tuyển sinh lớp 10 THPT tỉnh Long An năm học 2013 - 2014 môn Toán (Với x >0, y > 0)

2. Giải phương trình: Đề thi tuyển sinh lớp 10 THPT tỉnh Long An năm học 2013 - 2014 môn Toán

Câu 2: (2 điểm)

Cho các hàm số (P): y = 2x2 và (d): y = -x + 3

a/ Vẽ đồ thị của hai hàm số trên cùng mặt phẳng tọa độ Oxy.

b/ Tìm tọa độ giao điểm của hai đồ thị trên.

Câu 3: (2 điểm)

a/ Giải phương trình: 2x2 - 7x + 6 = 0

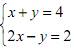
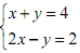
b/ Giải hệ phương trình: Đề thi tuyển sinh lớp 10 THPT tỉnh Long An năm học 2013 - 2014 môn Toán

c/ Cho phương trình ẩn x: x2 + 2mx + m2 - m + 1 = 0 (với m là tham số).

Tìm m để phương trình trên có nghiệm kép.Tính nghiệm kép đó với m vừa tìm được.

Câu 4: (4 điểm)

1. Cho tam giác ABC vuông tại A có AB = 3 cm, BC = 5 cm, AH là chiều cao của tam giác ABC. Tính độ dài AC và AH.

2. Cho tam giác nhọn ABC nội tiếp đường tròn (O;R). Ba đường cao AE, BF, CG cắt nhau tại H (với E thuộc BC, F thuộc AC, G
thuộc AB).

a/ Chứng minh các tứ giác AFHG và BGFC là các tứ giác nội tiếp.

b/ Gọi I và M lần lượt là tâm các đường tròn ngoại tiếp của các tứ giác AFHG và BGFC. Chứng minh MG là tiếp tuyến của đường tròn tâm I .

c/ Gọi D là giao điểm thứ hai của AE với đường tròn tâm O. Chứng minh: EA2 + EB2 + EC2 + ED2 = 4R2.

Chọn file muốn tải về:
Đóng Chỉ thành viên VnDoc PRO/PROPLUS tải được nội dung này!
Đóng
79.000 / tháng
Đặc quyền các gói Thành viên
PRO
Phổ biến nhất
PRO+
Tải tài liệu Cao cấp 1 Lớp
30 lượt tải tài liệu
Xem nội dung bài viết
Trải nghiệm Không quảng cáo
Làm bài trắc nghiệm không giới hạn
Mua cả năm Tiết kiệm tới 48%
2

Có thể bạn quan tâm

Xác thực tài khoản!

Theo Nghị định 147/2024/ND-CP, bạn cần xác thực tài khoản trước khi sử dụng tính năng này. Chúng tôi sẽ gửi mã xác thực qua SMS hoặc Zalo tới số điện thoại mà bạn nhập dưới đây:

Số điện thoại chưa đúng định dạng!
Số điện thoại này đã được xác thực!
Bạn có thể dùng Sđt này đăng nhập tại đây!
Lỗi gửi SMS, liên hệ Admin
Sắp xếp theo
🖼️

Lớp 10

Xem thêm
🖼️

Gợi ý cho bạn

Xem thêm