Lý thuyết Hình thoi - Diện tích hình thoi
Hình thoi - Diện tích hình thoi lớp 4
Lý thuyết Toán lớp 4: Hình thoi - Diện tích hình thoi bao gồm ví dụ chi tiết và các dạng bài tập tự luyện cho các em học sinh tham khảo rèn luyện kỹ năng giải Toán 4 chương 4 lớp 4. Mời các em cùng tìm hiểu chi tiết.
Lý thuyết Hình thoi - Diện tích hình thoi
1. Hình thoi Toán lớp 4

Hình thoi ABCD có:
- Cạnh AB song song với cạnh DC.
Cạnh AD song song với cạnh BC.
- AB = BC = CD = AD.
Hình thoi có hai cặp cạnh đối diện song song và bốn cạnh bằng nhau.
2. Diện tích hình thoi
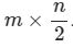
Cho hình thoi ABCD có AC = m, BD = n.
Cắt hình tam giác AOD và hình tam giác COD rồi ghép với hình tam giác ABC để được hình chữ nhật MNCA (xem hình vẽ).

Dựa vào hình vẽ ta có:
Diện tích hình thoi ABCD bằng diện tích hình chữ nhật MNCA.
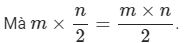
Diện tích hình chữ nhật MNCA là
![]()
![]()
Vậy diện tích hình bình hành ABCD là
![]()
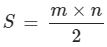
Diện tích hình thoi bằng tích độ dài hai đường chéo chia cho 2 (cùng một đơn vị đo).
![]()
(S là diện tích của hình thoi: m, n là độ dài của hai đường chéo).
3. Một số dạng bài tập
Dạng 1: Tính diện tích hình thoi khi biết độ dài hai đường chéo
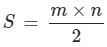
Phương pháp: Áp dụng công thức:
![]()
(S là diện tích của hình thoi; m, n là độ dài của hai đường chéo)
Dạng 2: Tính độ dài đường chéo khi biết diện tích và độ dài đường chéo còn lại
Phương pháp: Từ công thức tính diện tích , ta có công thức tính độ dài một đường chéo như sau: m = S x 2 : n; hoặc n = S x 2 : m.
Dạng 3: Toán có lời văn
Phương pháp: Đọc kĩ đề bài, xác định dạng toán trong bài rồi giải bài toán đó.
Bài tập Hình thoi - Diện tích hình thoi
- Công thức tính diện tích hình thoi, chu vi hình thoi
- Giải bài tập trang 140, 141 SGK Toán 4: Hình thoi
- Giải vở bài tập Toán 4 bài 133: Hình thoi
- Giải bài tập trang 142, 143 SGK Toán 4: Diện tích hình thoi
- Giải vở bài tập Toán 4 bài 134: Diện tích Hình thoi
- Giải bài tập trang 143, 144 SGK Toán 4: Luyện tập diện tích hình thoi
- Giải vở bài tập Toán 4 bài 135: Luyện tập Diện tích hình thoi
Trắc nghiệm Hình thoi - Diện tích hình thoi
Trắc nghiệm Hình thoi:
Trắc nghiệm Diện tích hình thoi: