Đề ôn tập giữa học kì 2 môn Toán lớp 6 - Đề 2
Đề ôn tập giữa học kì 2 môn Toán lớp 6
Đề ôn tập giữa học kì 2 môn Toán lớp 6 - Đề 2 được VnDoc sưu tầm, chọn lọc cho các em học sinh ôn tập, củng cố kiến thức, rèn luyện kỹ năng giải Toán chuẩn bị cho các bài thi, bài kiểm tra giữa học kì 2 lớp 6. Mời các thầy cô cùng các em học sinh tham khảo.
Đề bài: Đề ôn tập học kì 1 môn Toán lớp 6
I. TRẮC NGHIỆM KHÁCH QUAN: (2 điểm)
Hãy khoanh tròn vào chữ cái in hoa đứng trước câu trả lời đúng (từ câu 1 đến câu 4).
Câu 1: Trong các cách viết sau đây, cách viết nào không cho ta phân số?
![]()
Câu 2: Khi rút gọn phân số
\(\frac{-27}{63}\) ta được phân số tối giản là:
![]()
Câu 3: Kết quả của phép tính (-1)5.(-2)4 là
A.-6
B. 16
C. -8
D. -16
Câu 4: Tia Ot là tia phân giác của góc xOy khi:
A. Góc xOt = góc yOt = góc xOy
B. Góc xOt+góc tOy= góc xOy
C. Góc xOt = góc yOt và Góc xOt+góc yOt = góc xOy
D. Góc xOt= góc yOt
Câu 5: Xác định tính đúng, sai của các khẳng định sau bằng cách đánh dấu “x” vào ô thích hợp.
|
Các khẳng định
|
Đúng |
Sai |
|
1) Trong hai phân số có cùng mẫu số, phân số nào có tử lớn hơn thì lớn hơn. |
||
|
2) Nếu |
||
|
3) Hai góc có tổng số đo bằng 180 là hai góc kề bù.
|
||
|
4) Trong hai góc bù nhau luôn có một góc tù.
|
II. TỰ LUẬN: (8 điểm)
Bài 1: (2 điểm)
Thực hiện các phép tính sau:
![]()
Bài 2: (2 điểm)
Tìm số nguyên x , y biết
![]()
Bài 3: (3 điểm)
Trên cùng một nửa mặt phẳng bờ chứa tia Ox vẽ góc xOt = 40o và góc xOy = 80o.
a). Tính góc yOt?
b). Tia Ot có là tia phân giác của góc xOy không Vì sao?
c) Vẽ góc xOm kề bù với góc xOt.Vẽ On là tia phân giác của góc xOm. Tính góc mOn?
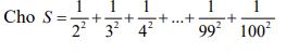
Bài 4: (1 điểm)
Cho

So sánh S với 1
Ngoài Đề ôn tập giữa học kì 2 môn Toán lớp 6 - Đề 2 mới nhất trên, các em học sinh tham khảo các bài giải SGK môn Toán lớp 6, Môn Ngữ văn 6, Môn Vật lý 6, môn Sinh Học 6, môn Địa lý lớp 6, môn Lịch sử lớp 6....và các đề thi học kì 2 lớp 6 để chuẩn bị cho các bài thi đề thi học kì 2 đạt kết quả cao.