Đề ôn thi học kì 1 môn Toán lớp 3 - Đề 7
Đề ôn thi học kì 1 môn Toán lớp 3 - Đề 7 là đề kiểm tra học kỳ đánh giá chất lượng học tập của các em học sinh, được VnDoc.com tổng hợp lại giúp các em ôn tập kiến thức lớp 3.
Đề ôn thi học kì 1 môn Toán lớp 3 - Đề 7
1. Đề ôn thi học kì 1 môn Toán lớp 3 - Đề 7
Câu 1. Đúng ghi Đ, sai ghi S vào ô trống
a) 6 × 8 + 15 = 53
b) 12 × 4 + 5 = 53
c) 23 × 3 − 9 = 60
d) 12 × 6 − 9 = 60
Câu 2. Khoanh vào chữ đặt trước câu trả lời đúng.
Lớp 3A xếp thành 6 hàng, mỗi hàng có 7 bạn. Hỏi lớp 3A có bao nhiêu học sinh?
A) 36 học sinh
B) 40 học sinh
C) 42 học sinh
Câu 3. Đúng ghi Đ, sai ghi S vào ô trống
a) 12 × 3 > 12 + 12 + 12 + 12
b) 12 × 3 = 12 + 12 + 12 + 12
c) 12 × 3 <12 + 12 + 12 + 12
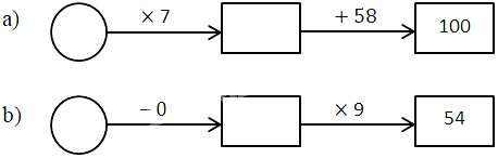
Câu 4. Viết số thích hợp vào ô trống

Câu 5. Đúng ghi Đ, sai ghi S vào ô trống
Giá trị x của biểu thức x : 4 = 25 là:
80 ☐ 90 ☐
100 ☐ 110 ☐
Câu 6. Đặt tính rồi tính
a) 34 × 2
b) 21 × 4
b) 15 × 6
d) 12 × 6
Câu 7. Tìm x
a) X − 142 = 16 × 3
b) x + 245 = 708 − 189
Câu 8. Có 6 bao gạo và 7 bao ngô. Mỗi bao nặng 50kg. Hỏi có tất cả bao nhiêu ki-lô-gam gạo và ngô (giải bằng hai cách)?
Câu 9. Điền số thích hợp vào ô trống.

Câu 10. Một năm có 12 tháng. Hỏi 5 năm có bao nhiêu tháng?
2. Đáp án Đề ôn thi học kì 1 môn Toán lớp 3 - Đề 7
Câu 1.
Phương pháp giải:
Biểu thức có phép tính nhân và phép tính cộng, trừ thì em tính phép nhân trước rồi thực hiện cộng, trừ sau.
Cách giải:
Ta có:
a) 6 x 8 + 15 = 48 + 15 = 63
b) 12 x 4 + 5 = 48 + 5 = 53
c) 23 x 3 - 9 = 69 - 9 = 60
d) 12 x 6 - 9 = 72 - 9 = 63
Cần điền vào các ô trống lần lượt là: a) S; b) Đ; c) Đ; d) S.
Câu 2.
Phương pháp giải:
Muốn tìm số học sinh ta lấy số học sinh của một hàng nhân với số hàng.
Cách giải:
Lớp 3A có số học sinh là:
7 x 6 = 42 (học sinh)
Đáp số: 42 học sinh.
Đáp án cần chọn là C) 42 học sinh.
Câu 3.
Phương pháp giải:
- Tính giá trị của hai vế rồi so sánh.
- Điền Đ hoặc S vào ô thích hợp.
Câu 4. Viết số thích hợp vào ô trống
Phương pháp giải:
Đếm cách 6 đơn vị theo chiều tăng dần rồi điền số còn thiếu vào ô trống.
Cách giải:

Câu 5.
Phương pháp giải:
Muốn tìm số bị chia ta lấy thương nhân với số chia.
Cách giải:
X : 4 = 25
X = 25 × 4
X = 100
Cần điền vào ô trống lần lượt là: S; S; Đ; Đ.
Câu 6.
Phương pháp giải:
- Đặt tính: Viết phép tính sao cho các chữ số cùng hàng thẳng cột với nhau.
- Tính: Thực hiện phép nhân lần lượt từ phải sang trái.
Câu 7.
Phương pháp giải:
- Muốn tìm số bị trừ ta lấy hiệu cộng số trừ.
- Muốn tìm số hạng ta lấy tổng trừ đi số hạng kia.
Cách giải:
a) x − 142 = 16 ×3
X − 142= 48
X = 48 + 142
X = 190
b) x + 245 = 708 − 189
X + 245 = 519
X = 519 − 245
X = 274
Câu 8.
Phương pháp giải:
Cách 1: Tìm khối lượng của 6 bao gạo bằng cách lấy 50 x 6.
Tìm khối lượng của 7 bao ngô bằng cách lấy 50 x 7.
Tìm tổng hai kết quả vừa tìm được.
Cách 2: Tính tổng số bao ngô và gạo.
Tính khối lượng của cả ngô và gạo bằng cách lấy 50 nhân với tổng số bao vừa tìm được.
Cách giải:
Cách 1:
6 bao gạo nặng số ki-lô-gam là:
6 × 50 = 300(kg)
7 bao ngô nặng số ki-lô-gam là:
7 × 50 = 350(kg)
Có tất cả số ki-lô-gam gạo và ngô là:
300 + 350 = 650(kg)
Đáp số: 650kg
Cách 2:
Tổng số bao gạo và bao ngô là:
6 + 7 = 13 (bao)
Mỗi bap gạo và bao ngô đều nặng 50kg. Có tất cả số ki-lô-gam gạo và ngô là:
13 × 50 = 650(kg)
Đáp số: 650kg
Câu 9. Điền số thích hợp vào ô trống.
Phương pháp giải:
Tìm các số còn thiếu theo chiều từ phải sang trái, nhẩm dựa vào kết quả đã cho.
Cách giải:

Câu 10.
Phương pháp giải:
Muốn tìm số tháng trong năm năm ta lấy 12 nhân với 5.
Cách giải:
5 năm có số tháng là:
12 × 5 = 60 (tháng)
Đáp số: 60 tháng.
Để ôn thi có hiệu quả mà kiến thức đã được tổng hợp lại ngắn gọn vừa đủ lại dễ hiểu, đây là mong muốn của tất cả các thầy cô và phụ huynh muốn các con không bị áp lực trong học tập. VnDoc.com đã đáp ứng được điều đó, tất cả các đề trên đều được biên soạn ngắn gọn mà lại dễ hiểu và chất lượng.
Như vậy, VnDoc.com đã gửi tới các bạn Đề ôn thi học kì 1 môn Toán lớp 3 - Đề 7 trên, các em học sinh có thể tham khảo môn Toán lớp 3 nâng cao và bài tập môn Toán lớp 3 đầy đủ khác, để học tốt môn Toán 3 hơn và chuẩn bị cho các bài thi đạt kết quả cao. Các em học sinh có thể tham khảo đề thi học kì 1 lớp 3, đề thi học kì 2 lớp 3 đầy đủ.