Đề thi chọn học sinh giỏi lớp 9 môn Toán Phòng GD&ĐT Triệu Phong, Quảng Trị năm học 2019 - 2020
Đề thi chọn học sinh giỏi lớp 9 môn Toán Phòng GD&ĐT Triệu Phong năm 2019
Đề thi chọn học sinh giỏi lớp 9 môn Toán Phòng GD&ĐT Triệu Phong, Quảng Trị năm học 2019 - 2020 do thư viện đề thi VnDoc.com sưu tầm. Đây là đề thi tham khảo học sinh giỏi môn Toán dành cho các bạn học sinh ôn tập, củng cố kiến thức, rèn luyện kĩ năng làm bài Toán. Mời các bạn cùng tham khảo
- Đề thi chọn học sinh giỏi cấp tỉnh lớp 9 môn Toán Phòng GD&ĐT Tuy Phước, Bình Định năm học 2019 - 2020
- Đề thi chọn học sinh giỏi cấp huyện lớp 9 môn Toán Phòng GD&ĐT Hương Sơn, Hà Tĩnh năm học 2019 - 2020
- Đề thi chọn học sinh giỏi lớp 9 môn Toán Phòng GD&ĐT quận Thanh Xuân năm học 2019 - 2020
- Đề thi chọn học sinh giỏi lớp 9 môn Toán Phòng GD&ĐT huyện Lộc Hà năm học 2019 - 2020

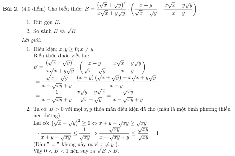
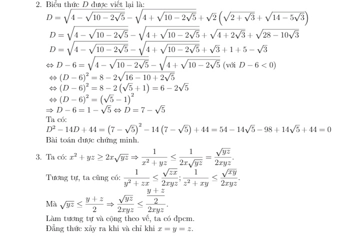
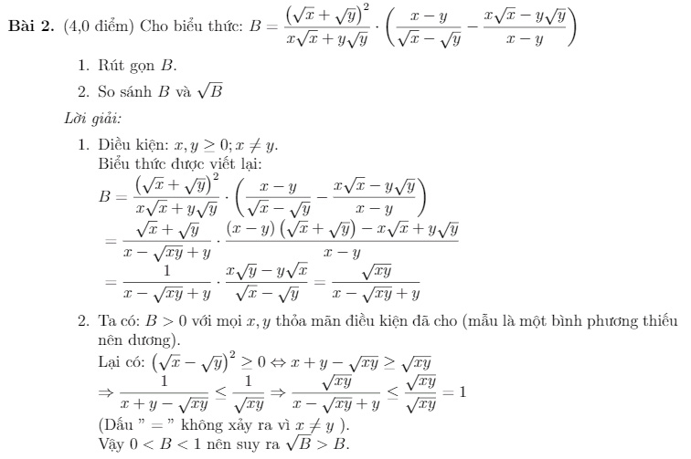
Đáp án đề thi chọn học sinh giỏi lớp 9 môn Toán Phòng GD&ĐT Triệu Phong năm 2019







Đề thi chọn học sinh giỏi lớp 9 môn Toán Phòng GD&ĐT Triệu Phong, Quảng Trị năm học 2019 - 2020. Đề thi gồm 5 câu hỏi với 150 phút 3 câu hỏi nằm phần Đại số và 2 câu hỏi nằm Hình học lớp 9. Giúp các bạn học sinh có thêm nhiều tài liệu tham khảo chuẩn bị kì thi sắp tới của mình
..............................................................
Ngoài Đề thi chọn học sinh giỏi lớp 9 môn Toán Phòng GD&ĐT huyện Lộc Hà năm học 2019 - 2020, các bạn học sinh còn có thể tham khảo các đề thi học kì 1 lớp 9, đề thi học kì 2 lớp 9 các môn Toán, Văn, Anh, Lý, Địa, Sinh mà chúng tôi đã sưu tầm và chọn lọc. Với đề thi lớp 9 này giúp các bạn rèn luyện thêm kỹ năng giải đề và làm bài tốt hơn. Chúc các bạn ôn thi tốt