Đề thi chọn học sinh giỏi lớp 9 môn Toán Sở GD&ĐT TP HCM năm 2020 - 2021
Đề thi học sinh giỏi lớp 9 môn Toán Sở GD&ĐT TP HCM năm 2020
Đề thi chọn học sinh giỏi lớp 9 môn Toán Sở GD&ĐT TP HCM năm 2020 - 2021 được VnDoc sưu tầm và đăng tải. Nội dung đề thi gồm có 6 câu hỏi tự luận với thời gian 120 phút, đề thi gồm 01 trang sẽ giúp ích cho các bạn học sinh ôn tập thử sức với các đề thi khác nhau. Sau đây là nội dung đề thi mời các bạn tham khảo
- 6 Phương pháp giúp học môn Lịch Sử lớp 9 nhanh thuộc nhớ lâu
- Đề thi chọn học sinh giỏi lớp 9 môn Vật lý Sở GD&ĐT Đăk Lăk năm 2020 - 2021
Ngoài ra, VnDoc.com đã thành lập group chia sẻ tài liệu học tập THCS miễn phí trên Facebook: Tài liệu học tập lớp 9. Mời các bạn học sinh tham gia nhóm, để có thể nhận được những tài liệu mới nhất.

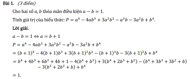
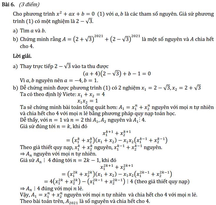
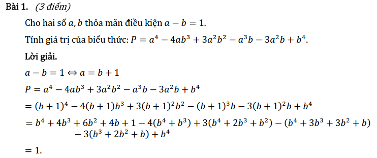
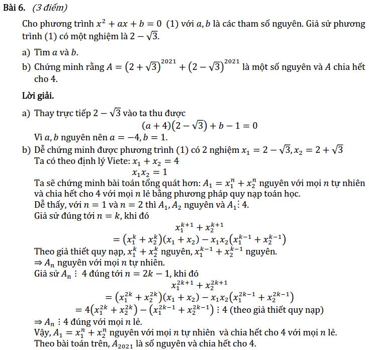
Đáp án đề thi chọn học sinh giỏi lớp 9 môn Toán Sở GD&ĐT TP HCM năm 2020






Đề thi chọn học sinh giỏi lớp 9 môn Toán Sở GD&ĐT TP HCM năm 2020 - 2021 được VnDoc chia sẻ trên đây. Đề thi gồm 6 câu hỏi với thời gian 120 phút nằm trong chương trình Toán lớp 9. Hy vọng đây sẽ là tài liệu tham khảo hữu ích cho các bạn ôn tập. Chúc các bạn ôn thi tốt
- Đề thi chọn học sinh giỏi lớp 9 môn Toán Sở GD&ĐT Bình Phước năm 2020 - 2021
- Đề thi chọn học sinh giỏi lớp 9 môn Toán Sở GD&ĐT Đăk Lăk năm 2020 - 2021
- Đề thi chọn học sinh giỏi lớp 9 môn Toán Sở GD&ĐT Hưng Yên năm 2020 - 2021
- Đề thi chọn học sinh giỏi lớp 9 môn Toán Sở GD&ĐT Bà Rịa - Vũng Tàu năm 2020 - 2021
- Đề thi chọn học sinh giỏi lớp 9 môn Toán Sở GD&ĐT Hà Nam năm 2020 - 2021
- Đề thi chọn học sinh giỏi lớp 9 môn Toán Sở GD&ĐT tỉnh Phú Yên năm 2020 - 2021
- Đề thi chọn học sinh giỏi lớp 9 môn Toán Sở GD&ĐT tỉnh Quảng Nam năm 2020 - 2021
- Đề thi chọn học sinh giỏi lớp 9 môn Toán Sở GD&ĐT Gia Lai năm 2020 - 2021
- Đề thi chọn học sinh giỏi lớp 9 môn Toán Sở GD&ĐT tỉnh Đồng Nai năm 2020 - 2021
- Đề thi chọn học sinh giỏi lớp 9 môn Toán Sở GD&ĐT Nam Định năm 2020 - 2021
- Đề thi chọn học sinh giỏi lớp 9 môn Toán Sở GD&ĐT Bình Dương năm 2020 - 2021
.........................................
Ngoài Đề thi chọn học sinh giỏi lớp 9 môn Toán Sở GD&ĐT TP HCM năm 2020 - 2021. Mời các bạn học sinh còn có thể tham khảo thêm Giải bài tập Toán lớp 9, Giải vở bài tập Toán 9, Giải SBT Toán 9 hoặc đề thi học học kì 1 lớp 9, đề thi học học kì 2 lớp 9 các môn Toán, Văn, Anh, Hóa, Lý, Địa, Sinh mà chúng tôi đã sưu tầm và chọn lọc. Với Tài liệu học tập lớp 9 này giúp các bạn rèn luyện thêm kỹ năng giải đề và làm bài tốt hơn. Chúc các bạn học tốt