Đề thi và đáp án môn Toán khối A 2009
Đề thi và đáp án môn Toán khối A năm 2009 là tài liệu hữu ích với các bạn thí sinh ôn thi đại học khối A. Tài liệu này bao gồm đề thi và đáp án chính thức môn toán khối A kì thi đại học năm 2009. Mời các bạn tải về để tham khảo thêm.
ĐỀ THI ĐẠI HỌC MÔN TOÁN KHỐI A NĂM 2009
|
BỘ GIÁO DỤC VÀ ĐÀO TẠO
|
ĐỀ THI TUYỂN SINH ĐẠI HỌC NĂM 2009 Môn thi: TOÁN; Khối: A Thời gian làm bài: 180 phút, không kể thời gian phát đề. |
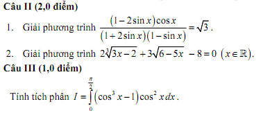
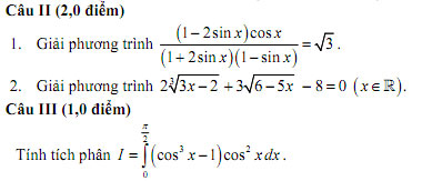
Câu 1 (2,0 điểm)
![]()
1. Khảo sát sự biến thiên và vẽ đồ thị của hàm số (1).
2. Viết phương trình tiếp tuyến của đồ thị hàm số (1), biết tiếp tuyến đó cắt trục hoành, trục tung lần lượt tại hai điểm phân biệt A, B và tam giác OAB cân tại gốc toạ độ.

Câu IV (1,0 điểm)
Cho hình chóp S.ABCD có đáy ABCD là hình thang vuông tại A và D; AB = AD= 2a; CD = a; góc giữa hai mặt phẳng (SBC) và (ABCD) bằng 600. Gọi I là trung điểm của cạnh AD. Biết hai mặt phẳng (SBI) và (SCI) cùng vuông góc với mặt phẳng (ABCD), tính thể tích khối chóp S.ABCD theo a
Câu V (1,0 điểm)
Chứng minh rằng với mọi số thực dương x, y, z thoả mãn x(x + y + z) = 3yz, ta có:
(x + y)3 + (x + z)3 + 3(x + y)(x + z)(y + z) ≤ 5 (y + z)3
PHẦN RIÊNG (3,0 điểm): Thí sinh chỉ được làm một trong hai phần (phần A hoặc B)
A. Theo chương trình Chuẩn
Câu VI.a (2,0 điểm)
1. Trong mặt phẳng với hệ toạ độ Oxyz, cho hình chữ nhật ABCD có điểm I(6;2) là giao điểm của hai đường chéo AC và BD. Điểm M(1;5) thuộc đường thẳng AB và trung điểm E của cạnh CD thuộc đường thẳng Δ: x + y - 5 = 0. Viết phương trình đường thẳng AB.
2. Trong không gian với hệ toạ độ Oxyz, cho mặt phẳng (P): 2x - 2y - z - 4 = 0 và mặt cầu (S): x2 + y2 + z2 - 2x - 4y - 6z - 11 = 0. Chứng minh rằng mặt phẳng (P) cắt mặt cầu (S) theo một đường tròn. Xác định toạ độ tâm và tính bán kính của đường tròn đó.
Câu VII.a (1,0 điểm) Gọi z1 và z2 là hai nghiệm phức của phương trình z2 + 2z + 10 = 0. Tính giá trị của biểu thức A = |z1|2 + |z2|2.
B. Theo chương trình Nâng cao
Câu VI.b (2,0 điểm)
1. Trong mặt phẳng với hệ toạ độOxy, cho đường tròn (C): x2 + y2 + 4x + 4y + 6 = 0 và đường thẳng Δ: x + my - 2m + 3 = 0 với m là tham số thực. Gọi I là tâm của đường tròn (C). Tìm m để Δ cắt (C) tại hai điểm phân biệt A và B sao cho diện tích tam giác IAB lớn nhất.

---------- Hết ----------
Thí sinh không được sử dụng tài liệu. Cán bộ coi thi không giải thích gì thêm.
Họ và tên thí sinh:.............................................; Số báo danh................................