Các phương pháp giải nhanh đề thi Đại học môn Toán
Kì thi Đại học 2015-2016 sắp tới, các bạn học sinh phải chuẩn bị cho mình lượng kiến thức toàn diện và đầy đủ nhất để vượt qua. Các phương pháp giải nhanh đề thi đại học môn Toán bao gồm các kinh nghiệm tổng hợp về cách thức giải toán một cách nhanh chóng và ngắn gọn để giải quyết một số dạng đề toán học thường gặp trong đề thi đại học.
Các phương pháp giải nhanh đề thi Đại học môn Toán
CÁC PHƯƠNG PHÁP GIẢI TOÁN ĐẠI SỐ VÀ GIẢI TÍCH
Tài liệu được chia thành sáu đơn vị bài học và hai phụ lục. Mỗi bài đều là những phần quan trọng, xuất hiện thường xuyên trong đề thi đạihọc. Ở mỗi bài đều có những đặc điểm sau:
• Phần tóm tắt kiến thức đã học được trình bày ngắn gọn và tổng quát nhằm khơi lại phần kiến thức đã quên của các em.
• Hệ thống các bài làm được chọn lọc kĩ lưỡng, có tính điển hình và khai thác tối đa các góc cạnh của vấn đề nêu ra, đồng thời phương pháp giải ngắn gọn, trực quan cùng nhiều kinh nghệm giải đề giúp các em có thể hiểu được nội dung bài giải và cách áp dụng cho các dạng đề thi sẽ gặp sau này. Đồng thời, các ví dụ đều được trình bày từ cơ bản đến nâng cao.
• Lí giải các phương pháp, đưa ra thuật toán giải chung, đưa ra bản chất lời giải, đó là phần lời bình, lưu ý ở cuối mỗi bài tập.
Bài I: Ứng dụng phương trình đường thẳng để giải phương trình căn thức.
1) Phương trình tổng quát:
Đường thẳng đi qua M(x0; y0) và có vetơ pháp tuyến n(A;B) thì đường thẳng đó có phương trình:
(d): A(x-x0) + B(y-y0) = 0
↔ (d): Ax + By + C=0
VD1. Đường thẳng qua M(1;2) nhận n(2;1) làm vectơ pháp tuyến.
(d): 2(x-1) + 1(y-2) = 0
↔ (d): 2x + y - 4 = 0
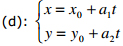
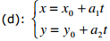
2) Phương trình tham số:
Đường thẳng đi qua M(x0; y0) và có vectơ chỉ phương a(a1; a2)![]()
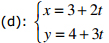
VD2. Đường thẳng qua M(3;4) nhận a(2;3) làm vecto chỉ phương có phương trình:![]()
VD3. Cho (d): x+y=4. Viết phương trình tham số của (d).
Giải:
Vectơ pháp tuyến: n(1,1); Vectơ chỉ phương: a(1,-1); Điểm đi qua M(2;2)
![]()
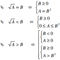
Bài II: Các cách giải phương trình và bất phương trình vô tỉ.
1) Lũy Thừa
Phương pháp lũy thừa là phương pháp tổng quát nhất để giải phương trình có căn. Khi gặp các phương trình có dạng căn phức tạp nhưng khi chúng ta biết “mẹo lũy thừa” thì có thể giải bài toán một cách dễ dàng. Đây là một phương pháp cơ bản, các bạn phải thực tập nhuần nhuyễn vì phương trình trong đề thi đại học có lúc rất dễ nhưng ta lại không để ý. các bạn hãy theo dõi các ví dụ sau. Nhưng trước hết hãy lưu ý vấn đề sau:
• Đặt điều kiện
• Lũy thừa chẵn thì hai vế không âm
• Các dạng cơ bản:
