Giao diện mới của VnDoc Pro: Dễ sử dụng hơn - chỉ tập trung vào lớp bạn quan tâm. Vui lòng chọn lớp mà bạn quan tâm: Lưu và trải nghiệm
Đóng
Điểm danh hàng ngày
  • Hôm nay +3
  • Ngày 2 +3
  • Ngày 3 +3
  • Ngày 4 +3
  • Ngày 5 +3
  • Ngày 6 +3
  • Ngày 7 +5
Bạn đã điểm danh Hôm nay và nhận 3 điểm!
Nhắn tin Zalo VNDOC để nhận tư vấn mua gói Thành viên hoặc tải tài liệu Hotline hỗ trợ: 0936 120 169

Giáo án Tin học 8: Ôn tập học kì 1

Lớp: Lớp 8
Dạng tài liệu: Giáo án
Loại File: Word + PDF
Phân loại: Tài liệu Tính phí

Giáo án Tin học 8

Giáo án Tin học 8: Ôn tập học kì 1 có nội dung bám sát vào chương trình trong sách giáo khoa của Bộ Giáo Dục và Đào Tạo. Đây sẽ là giáo án điện tử lớp 8 hay giúp quý thầy cô thuận tiện cho việc biên soạn giáo án Tin học lớp 8.

Tuần: 17

Tiết: 34

ÔN TẬP

I. MỤC TIÊU:

1. Kiến thức: Ôn tập lại kiến thức lý thuyết đã được học ở học kì I.

2. Kĩ năng: Rèn luyện kỹ năng vận dụng lý thuyết và làm các bài tập.

3. Thái độ: Học tập tích cực, nghiêm túc, có tinh thần tự giác, yêu thích môn học.

II. CHUẨN BỊ:

1. Giáo viên: Sách giáo khoa, máy tính điện tử, giáo án, máy chiếu.

2. Học sinh: Vở ghi, sách giáo khoa.

III. CÁC HOẠT ĐỘNG DẠY – HỌC:

1. Ổn định lớp: (1’)

8A1:……………………………………………………………………………

8A2:……………………………………………………………………………

2. Kiểm tra bài cũ:

Lồng ghép trong nội dung bài học.

3. Bài mới:

Hoạt động của GV

Hoạt động của HS

Nội dung ghi bảng

Hoạt động 1: (22’) Lý thuyết.

+ GV: Nhắc lại một số kiến thức lý thuyết cơ bản đã học theo hệ thống:

1. Máy tính và chương trình máy tính.

2. Chương trình và ngôn ngữ lập trình.

3. Từ khóa và tên.

4. Cấu trúc chung của chương trình.

5. Dữ liệu và kiểu dữ liệu.

6. Các phép toán với dữ liệu kiểu số.

7. Các phép so sánh.

8. Biến. Khai báo biến.

9. Hằng. Khai báo hằng.

10. Thuật toán và mô tả thuật toán.

11. Câu lệnh điều kiện.

12. Luyện gõ phím nhanh với Finger Break Out.

+ GV: Yêu cầu các HS thực hiện trả lời từng nội dung câu hỏi theo hệ thống GV đã đưa ra.

+ GV: Sửa chữa các lỗi thường gặp mà các em mắc phải.

+ GV: Hướng dẫn HS học theo đúng trọng tâm câu hỏi đưa ra.

+ GV: Giải đáp các thắc mắc.

+ HS: Ôn tập kiến thức theo hệ thống của GV đưa ra.

+ HS: Máy tính hoạt động. Việc viết chương trình máy tính.

+ HS: Khái niệm về chương trình và ngôn ngữ lập trình.

+ HS: Biết một số từ khóa, tên.

+ HS: Biết được phần khai báo và phần thân.

+ HS: Số thực, số nguyên, …

+ HS: Cộng, trừ, nhân, chia, chia lấy phần nguyên, phần dư.

+ HS: Bằng, lớn hơn, nhỏ hơn,….

+ HS: Từ khóa và cách khai báo.

+ HS: Từ khóa và cách khai báo.

+ HS: Xác định bài toán, mô tả,…

+ HS: If ... Then … Else …;

+ HS: Cách sử dụng phần mềm, và cách gõ bàn phím cho đúng.

+ HS: Trả lời lần lượt nội dung các câu hỏi theo hệ thống của GV đã đưa ra.

+ HS: Tập trung chú ý lắng nghe để nhận biết cách các lỗi sai.

+ HS: Thực hiện theo các hướng dẫn của GV đưa ra.

+ HS: Những câu hỏi khó.

I. Lý thuyết.

1. Máy tính và chương trình máy tính.

2. Chương trình và ngôn ngữ lập trình.

3. Từ khóa và tên.

4. Cấu trúc chung của chương trình.

5. Dữ liệu và kiểu dữ liệu.

6. Các phép toán với dữ liệu kiểu số.

7. Các phép so sánh.

8. Biến. Khai báo biến.

9. Hằng. Khai báo hằng.

10. Thuật toán và mô tả thuật toán.

11. Câu lệnh điều kiện.

12. Luyện gõ phím nhanh với Finger Break Ou

Hoạt động 2: (21’) Bài tập.

+ GV: Yêu cầu HS thực hiện thảo luận theo các nhóm trình bày các nội dung sau của bài tập:

- Câu hỏi và bài tập 2 SGK/8.

Hãy cho biết lí do cần phải viết chương trình để điều khiển máy tính

- Câu hỏi và bài tập 3 SGK/8.

Tại sao người ta phải tạo ra các ngôn ngữ lập trình trong khi có thể điều khiển máy tính bằng ngôn ngữ máy?

- Câu hỏi và bài tập 2 SGK/13.

Ta có thể viết CT có các câu lệnh bằng tiếng Việt được không. Tại sao

- Câu hỏi và bài tập 3 SGK/13.

Cho biết sự khác nhau giữa từ khóa và tên. Cho biết cách đặt tên trong chương trình.

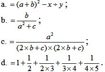
- Câu hỏi và bài tập 5 SGK/26.

Chuyển các biểu thức được viết trong Pascal sau đây thành các biểu thức toán:

a. (a + b)*(a + b) – x/y;

b. b/(a*a + c);

c. a*a/((2*b + c)*(2*b + c));

d. 1+1/2+1/(2*3)+1/(3*4)+1/(4*5).

- Câu hỏi và bài tập 2 SGK/33.

Nêu sự khác nhau giữa biến và hằng. Cho một vài ví dụ về khai báo biến và hằng.

- Mô tả thuật toán tính tổng 100 số tự nhiên đầu tiên.

+ GV: Yêu cầu đại diện các nhóm trình bày kết quả thảo luận.

+ GV: Nhận xét chốt nội dung.

+ HS: Thực hiện thảo luận nhóm trình bày các yêu cầu của GV đưa ra theo các nội dung.

+ HS: Viết chương trình giúp con người điều khiển máy tính một cách đơn giản và hiệu quả.

+ HS: Viết chương trình bằng ngôn ngữ máy rất khó khăn và mất nhiều thời gian, công sức. Các câu lệnh được viết dưới dạng các dãy bit khác xa với ngôn ngữ tự nhiên.

+ HS: Mỗi câu lệnh gồm các từ và các kí hiệu được viết theo một quy tắc nhất định.

+ HS: Từ khóa là những từ dành riêng được sử dụng với mục đích do ngôn ngữ lập trình quy định. Tên do người lập trình đặt và phải tuân thủ các quy tắc của ngôn ngữ lập trình.

+ HS:

Giáo án Tin học 8: Ôn tập học kì 1

+ HS: Biến lưu trữ có thể thay đổi trong khi thực hiện chương trình. Hằng là đại lượng có giá trị không đổi.

+ HS: Tìm hiểu trong nội dung bài 5 đã được học.

+ HS: Đại diện từng nhóm trình bày kết quả thảo luận của nhóm.

+ HS: Tập trung chú ý lắng nghe.

II. Bài tập.

- Câu hỏi và bài tập 2 SGK/8.

- Câu hỏi và bài tập 3 SGK/8.

- Câu hỏi và bài tập 2 SGK/13.

- Câu hỏi và bài tập 3 SGK/13.

- Câu hỏi và bài tập 5 SGK/26.

- Câu hỏi và bài tập 2 SGK/33.

4. Củng cố:

  • Củng cố trong nội dung bài ôn tập.

5. Dặn dò: (1’)

  • Ôn tập theo đề cương chuẩn bị cho thi học kì I

IV. RÚT KINH NGHIỆM:

................................................................................................................................................................

Chọn file muốn tải về:
Đóng Chỉ thành viên VnDoc PRO/PROPLUS tải được nội dung này!
Đóng
79.000 / tháng
Đặc quyền các gói Thành viên
PRO
Phổ biến nhất
PRO+
Tải tài liệu Cao cấp 1 Lớp
30 lượt tải tài liệu
Xem nội dung bài viết
Trải nghiệm Không quảng cáo
Làm bài trắc nghiệm không giới hạn
Mua cả năm Tiết kiệm tới 48%

Có thể bạn quan tâm

Xác thực tài khoản!

Theo Nghị định 147/2024/ND-CP, bạn cần xác thực tài khoản trước khi sử dụng tính năng này. Chúng tôi sẽ gửi mã xác thực qua SMS hoặc Zalo tới số điện thoại mà bạn nhập dưới đây:

Số điện thoại chưa đúng định dạng!
Số điện thoại này đã được xác thực!
Bạn có thể dùng Sđt này đăng nhập tại đây!
Lỗi gửi SMS, liên hệ Admin
Sắp xếp theo
🖼️

Giáo án tin học 8

Xem thêm
🖼️

Gợi ý cho bạn

Xem thêm