Giao diện mới của VnDoc Pro: Dễ sử dụng hơn - chỉ tập trung vào lớp bạn quan tâm. Vui lòng chọn lớp mà bạn quan tâm: Lưu và trải nghiệm
Đóng
Điểm danh hàng ngày
  • Hôm nay +3
  • Ngày 2 +3
  • Ngày 3 +3
  • Ngày 4 +3
  • Ngày 5 +3
  • Ngày 6 +3
  • Ngày 7 +5
Bạn đã điểm danh Hôm nay và nhận 3 điểm!
Nhắn tin Zalo VNDOC để nhận tư vấn mua gói Thành viên hoặc tải tài liệu Hotline hỗ trợ: 0936 120 169
Phân loại: Tài liệu Tính phí
Kẻ cướp trái tim tôi Toán học Lớp 8

Chứng minh bất đẳng thức: a2 + b2 + c2 ≥ ab + bc + ca

Chứng minh bất đẳng thức: a2 + b2 + c2 ≥ ab + bc + ca

8
Xác thực tài khoản!

Theo Nghị định 147/2024/ND-CP, bạn cần xác thực tài khoản trước khi sử dụng tính năng này. Chúng tôi sẽ gửi mã xác thực qua SMS hoặc Zalo tới số điện thoại mà bạn nhập dưới đây:

Số điện thoại chưa đúng định dạng!
Số điện thoại này đã được xác thực!
Bạn có thể dùng Sđt này đăng nhập tại đây!
Lỗi gửi SMS, liên hệ Admin
8 Câu trả lời
  • 1m52
    1m52

    Xét VT -VP = a^2 + b^2 +c^2 -ab -bc -ca

    = 1/2 ( 2a^2 + 2b^2 + 2c^2 - 2ab -2bc -2ac )

    =1/2 ( a^2 -2ab - b^2 ) (b^2 - 2bc + c^2 ) ( a^2 -2ac + c^2 )

    =1/2 {( a - b )^2 ( b - c )^2 ( a - c )^2}

    Vì 1/2 > 0

    Và {( a - b )^2 ( b - c )^2 ( a - c )^2} >0

    Thì 1/2 {( a - b )^2 ( b - c )^2 ( a - c )^2} > 0

    => a^2 + b^2 +c^2 > ab + bc +ca

    Trả lời hay
    12 Trả lời 29/01/22
  • Bơ

    Chứng minh bất đẳng thức: a2 + b2 + c2 ≥ ab + bc + ca

    Trả lời hay
    5 Trả lời 29/01/22
  • Gấu chó
    Gấu chó

    xét hiệu a2+b2+c2-ab-ac-bc=\frac{1}{2}.2(a2+b2+c2-ab-ac-bc)

    =\frac{1}{2}(2a2+2b2+2c2-2ab-2ac-2bc)

    =\frac{1}{2}[(a2-2ab+b2)+(a2-2ac+c2)+(b2-2bc+c2)]

    =\frac{1}{2}.[(a-b)2+(a-c)2+(b-c)2]

    vì (a-b)2+(a-c)2+(b-c)2>=0

    nên \frac{1}{2}.[(a-b)2+(a-c)2+(b-c)2]>=0

    hay a2+b2+c2-ab-ac-bc >=0<=> a2+b2+c2>=ab+ac+bc

    Trả lời hay
    1 Trả lời 29/01/22
  • Nguyễn Quang Đức
    Nguyễn Quang Đức

    Ok

    0 Trả lời 06/02/22
  • Ngọc Matcha
    Ngọc Matcha

    hay


    0 Trả lời 21/02/22
  • Changes Mai
    Changes Mai

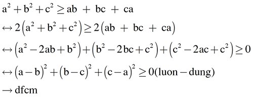
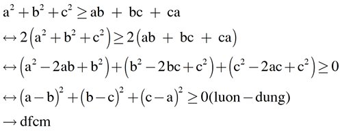
    a^2+b^2+c^2>=ab+bc+ca

    <=>a^2+b^2+c^2-ab-bc-ca>=0

    <=>2a^2+2b^2+2c^2-2ab-2bc-2ca>=0

    <=>(a^2-2ab+b^2)+(b^2-2bc+c^2)+<=><=>(c^2-2ac+a^2)>=0

    <=>(a-b)^2+(b-c)^2+(c-a)^2>=0 ( luôn đúng)

    0 Trả lời 12/06/22
  • Khuất Phương
    Khuất Phương


    xét hiệu a2+b2+c2-ab-ac-bc=\frac{1}{2}.2(a2+b2+c2-ab-ac-bc)


    =\frac{1}{2}(2a2+2b2+2c2-2ab-2ac-2bc)


    =\frac{1}{2}[(a2-2ab+b2)+(a2-2ac+c2)+(b2-2bc+c2)]


    =\frac{1}{2}.[(a-b)2+(a-c)2+(b-c)2]


    vì (a-b)2+(a-c)2+(b-c)2>=0


    nên \frac{1}{2}.[(a-b)2+(a-c)2+(b-c)2]>=0


    hay a2+b2+c2-ab-ac-bc >=0<=> a2+b2+c2>=ab+ac+bc


    0 Trả lời 08/02/22
  • Nguyen Le Nam
    Nguyen Le Nam

    pov bất đẳng thức cơ bản nhất trong toán chuyên

    0 Trả lời 04/04/23

Toán học

Xem thêm