Phân tích cân bằng tiêu dùng bằng thuyết hữu dụng
Phân tích cân bằng tiêu dùng bằng thuyết hữu dụng được chúng tôi sưu tầm và giới thiệu nhằm giúp các bạn nắm bắt kiến thức môn học một cách tốt hơn để có thể học và hoàn thành bài thi môn học một cách hiệu quả.
Lưu ý: Nếu bạn muốn Tải bài viết này về máy tính hoặc điện thoại, vui lòng kéo xuống cuối bài viết.
Bài: Phân tích cân bằng tiêu dùng bằng thuyết hữu dụng
Thuyết hữu dụng là công trình nghiên cứu độc lập của ba nhà kinh tế học thuộc trường phái cổ điển được xuất bản đồng thời vào năm 1870. Đó là William Stanley Jevons của Anh, Karl Menger của Áo và Leon Walras của Pháp.
Các nhà kinh tế học này đã đưa ra các khái niệm hữu dụng, tổng hữu dụng và hữu dụng biên để giải thích hành vi hợp lý của người tiêu dùng trong việc lựa chọn các hàng hóa và dịch vụ trong tiêu dùng. Phương án tiêu dùng tối ưu khi họ đạt được tổng hữu dụng tối đa trong giới hạn về ngân sách. Đường cầu của cá nhân về một hàng hóa hay dịch vụ nào đó sẽ được xây dựng từ nguyên tắc tối đa hóa hữu dụng này. Từ các đường cầu cá nhân sẽ tổng hợp thành đường cầu thị trường.
1. Một số vấn đề cơ bản
1.1. Các giả định
Thuyết hữu dụng dựa trên một số giả định như sau:
- Mức thỏa mãn khi tiêu dùng sản phẩm có thể định lượng và đo lường được, và đơn vị đo lường là đơn vị hữu dụng (Util, viết tắt là đvhd)
- Tất cả các sản phẩm đều có thể chia nhỏ.
- Người tiêu dùng luôn có sự lựa chọn hợp lý.
1.2. Một số khái niệm cơ bản
Việc làm rõ các khái niệm về hữu dụng, tổng hữu dụng và hữu dụng biên là yếu tố cơ bản để tiếp cận với thuyết hữu dụng trong việc phân tích sự lựa chọn hợp lý của người tiêu dùng.
Hữu dụng (U): Hữu dụng là sự thỏa mãn hay lợi ích mà một người cảm nhận được khi tiêu dùng một loại sản phẩm hay dịch vụ nào đó.
Tổng hữu dụng (TU)
- Tổng hữu dụng là tổng mức thỏa mãn đạt được khi ta tiêu thụ một số lượng sản phẩm nhất định trong mỗi đơn vị thời gian.
- Tổng hữu dụng mang tính chủ quan vì sở thích của mỗi người về các hàng hóa và dịch vụ là không giống nhau.
Ví dụ cùng xem một trận bóng đá hay thì bao giờ mức thỏa mãn của người thích bóng đá cũng cao hơn người chỉ xem để giết thời gian.
Tổng hữu dụng đạt được sẽ phụ thuộc vào số lượng sản phẩm được sử dụng, điều này không đồng nghĩa với việc tiêu thụ càng nhiều sản phẩm thì tổng hữu dụng càng tăng. Thông thường, ban đầu khi tăng số lượng sản phẩm tiêu thụ thì tổng hữu dụng tăng lên; đến số lượng sản phẩm nào đó tổng hữu dụng sẽ đạt cực đại; nếu tiếp tục gia tăng số lượng sản phẩm sử dụng, thì tổng hữu dụng có thể không đổi hoặc sẽ sụt giảm. Điều này có thể được nhận biết dễ dàng qua việc quan sát cuộc sống xung quanh.
Ví dụ trẻ con thường thích ăn kem, chỉ cho bé ăn một que kem thì rõ ràng sự thỏa mãn của bé sẽ thấp. Nếu được ăn thêm que thứ hai, thứ ba bé sẽ thỏa mãn hơn, nhưng chắc chắn bé cũng chỉ ăn được đến một mức nào đó sẽ thấy chán, tức là bé đã đạt được sự thỏa mãn hay tổng hữu dụng tối đa (hay đã đến mức bão hòa). Nếu bé bị ép ăn thêm, thì bé không còng thích thú (tổng hữu dụng không tăng), hoặc thậm chí bé cảm thấy khó chịu (tổng hữu dụng giảm).
1.3. Hữu dụng biên (MU)
Phân tích chi tiết hơn ví dụ trên, chúng ta thấy rằng mỗi cây kem bé ăn đều làm cho sự thỏa mãn của bé tăng lên hay giảm xuống. Trong thuyết hữu dụng, các nhà kinh tế học đã dùng khái niệm hữu dụng biên để diễn đạt sự thay đổi này.
Hữu dụng biên là sự thay đổi trong tổng hữu dụng khi thay đổi 1 đơn vị sản phẩm tiêu dùng trong mỗi đơn vị thời gian (với điều kiện các yếu tố khác không đổi).
Tổng hữu dụng thay đổi một lượng
\(\Delta TU\) khi số lượng sản phẩm X thay đổi một lượng
\(\Delta X\), thì hữu dụng biên của X sẽ được tính theo công thức:
\(MU_X = \frac{\Delta TU}{\Delta X}\) (3.1)
Ví dụ 1: Biểu tổng hữu dụng và hữu dụng biên của một người tiêu dùng khi xem phim trên băng hình video (X là số lượng băng hình video được xem) trong tuần như sau:
Bảng 3.1: Tổng hữu dụng và hữu dụng biên:
|
X |
TUX (đvhd) |
MUX (đvhd) |
|
0 |
0 |
- |
|
1 |
4 |
4 |
|
2 |
7 |
3 |
|
3 |
9 |
2 |
|
4 |
10 |
1 |
|
5 |
10 |
0 |
|
6 |
9 |
-1 |
|
7 |
7 |
-2 |

Nếu tổng hữu dụng được thể hiện dưới dạng một hàm số liên tục, thì hữu dụng biên (MU) chính là đạo hàm bậc nhất của hàm tổng hữu dụng (TU):
\(MU_X = \frac{d TU}{d X}\) (3.2)
Ví dụ 2: Hàm tổng hữu dụng khi tiêu dùng hai loại sản phẩm: TU = X(Y-3), với X là số lượng sản phẩm X và Y là số lượng sản phẩm Y, thì:
- Hàm hữu dụng biên của sản phẩm X là: MUX = Y - 3
- và hàm hữu dụng biên của sản phẩm Y là: MUY = X.
- Trên đồ thị, MU chính là độ dốc của đường tổng hữu dụng TU.
1.4. Qui luật hữu dụng biên giảm dần
Qua ví dụ 1 được minh họa trên đồ thị 3.1, chúng ta nhận thấy rằng sản phẩm đầu tiên mang lại cho người tiêu dùng mức thỏa mãn rất cao; tiếp tục sử dụng thêm sản phẩm thứ hai, thì mức thỏa mãn mang lại cho họ thấp hơn sản phẩm đầu tiên. Tiếp tục sử dụng thêm sản phẩm thứ ba, thứ tư.... thì mức độ thỏa mãn giảm nhiều hơn.
Quá trình sử dụng sản phẩm gắn liền với hữu dụng tăng thêm ngày càng giảm xuống này có tính quy luật. Nó được các nhà kinh tế học khái quát thành quy luật hữu dụng biên giảm dần:
“Khi sử dụng số lượng ngày càng nhiều một loại sản phẩm nào đó, trong khi số lượng các sản phẩm khác được giữ nguyên trong mỗi đơn vị thời gian, thì hữu dụng biên của sản phẩm này sẽ giảm dần”
Mối quan hệ giữa hữu dụng biên (MU) và tổng hữu dụng (TU):
Vì hữu dụng biên là phần hữu dụng tăng thêm trong tổng hữu dụng khi sử dụng thêm 1 đơn vị sản phẩm, nên tổng hữu dụng và hữu dụng biên có mối quan hệ mật thiết như sau:
- Khi sử dụng thêm sản phẩm thứ i mà người tiêu dùng vẫn còn cảm thấy hữu dụng (MU > 0), vẫn tiếp tục góp phần làm tổng hữu dụng tiếp tục tăng (TU tăng)
- Khi sử dụng đến sản phẩm thứ n, thì người tiêu dùng cảm thấy bão hòa, chẳng còn hữu dụng (MU = 0), thì tổng hữu dụng đạt tối đa (TU max - cân bằng tiêu dùng)
- Khi sử dụng thêm sản phẩm thứ m, người tiêu dùng lại trở nên khó chịu, chán ngán (MU < 0), thì tổng hữu dụng sẽ giảm (TU giảm)
Có thể tóm tắt mối quan hệ giữa MU và TU như sau:
- Khi MU > 0 thì TU tăng
- Khi MU < 0 thì TU giảm
- Khi MU = 0 thì TU đạt cực đại
2. Nguyên tắc tối đa hóa hữu dụng
2.1. Mục đích và giới hạn của người tiêu dùng
Mục đích của người tiêu dùng là tối đa hóa thỏa mãn, nhưng họ không thể tiêu dùng tất cả hàng hóa và dịch vụ mà họ mong muốn đến mức bão hòa, vì họ luôn bị giới hạn về ngân sách.
Giới hạn ngân sách của người tiêu dùng thể hiện ở mức thu nhập nhất định của họ và giá cả của các sản phẩm cần mua.
Vấn đề đặt ra là trong điều kiện giới hạn về ngân sách, người tiêu dùng sẽ mua số lượng các loại sản phẩm họ cần sao cho họ có thể đạt được mức hữu dụng cao nhất. Nói cách khác, người tiêu dùng phải chọn được phương án tiêu dùng tối ưu.
Để tìm ra phương án tiêu dùng tối ưu, cần phải giải bài toán tổng quát: Một người tiêu dùng mức thu nhập nhất định (I = I0) dành để mua 2 loại sản phẩm X và Y, với đơn giá của X là Px và giá của Y là PY. Sở thích của người này được mô tả qua bảng (hay hàm) hữu dụng biên. Chọn phương án tiêu dùng tối ưu là phương án có tổng hữu dụng đạt tối đa (TUmax).
2.2. Nguyên tắc tối đa hóa hữu dụng
Ví dụ 3: Cá nhân A có thu nhập 1 = 7 đvt dùng để chi mua 2 sản phẩm X và Y. Vấn đề đặt ra A cần mua bao nhiêu đvt cho X; bao nhiêu đvt cho Y để tổng hữu dụng đạt được là tối đa.
Sở thích của A đối với 2 sản phẩm được thể hiện qua hữu dụng biên của X và Y ở bảng 3.2.
Bảng 3.2: Sở thích của A đối với hai sản phẩm X và Y
| X (đvt) | MUX (đvhd) | Y (đvt) | MUY (đvhd) |
| 1 | 40 | 1 | 30 |
| 2 | 36 | 2 | 29 |
| 3 | 32 | 3 | 28 |
| 4 | 28 | 4 | 27 |
| 5 | 24 | 5 | 25 |
Ta sẽ so sánh chi tiêu hợp lý cho từng đvt một:
Đơn vị tiền thứ bảy chi cho x4
Như vậy, để đạt thỏa mãn tối đa khi chi tiêu hết 7 đvt, A sẽ chọn phương án tiêu dùng tối ưu là chi mua 4 đvt cho X và 3 đvt cho Y, hữu dụng biên của đvt cuối cùng của hai sản phẩm là bằng nhau, đều mang lại mức thỏa mãn là 28 đvhd:
MUx4 = MUy3 = 28 đvhd
TU max = TUX4 + TUy3 =
\(\displaystyle\sum_{i=1}^{4} MUxi + \displaystyle\sum_{i=1}^{3} MUyj\)= 223 đvhd
Như vậy: Nguyên tắc tối đa hóa hữu dụng là trong khả năng chi tiêu có giới hạn, người tiêu dùng sẽ mua số lượng các sản phẩm sao cho hữu dụng biên tính trên 1 đơn vị tiền tệ cuối cùng của các sản phẩm được mua phải bằng nhau:

Khi X và Y được tính bằng đơn vị hiện vật với đơn giá là Px và Py, công thức trên được viết lại:

Ví dụ 4: Giả sử cá nhân B có thu nhập là 14 đvt, chi mua 2 sản phẩm X và Y với đơn giá các sản phẩm là Px = 2 đvt/kg và Py =1 đvt/lít. Sở thích của B đối với hai sản phẩm được thể hiện qua biểu hữu dụng biên trong bảng 3.3.
Vấn đề đặt ra là B nên mua bao nhiêu đơn vị sản phẩm X, bao nhiêu đơn vị sản phẩm Y để đạt TUXY tối đa?
Bảng 3.3:
|
X (kg) |
MUx (đvhd) |
Y (lít) |
MUy (đvhd) |
|
1 |
20 |
1 |
12 |
|
2 |
18 |
2 |
11 |
|
3 |
16 |
3 |
10 |
|
4 |
14 |
4 |
9 |
|
5 |
12 |
5 |
8 |
|
6 |
8 |
6 |
7 |
|
7 |
3 |
7 |
4 |
|
8 |
0 |
8 |
1 |
Gọi x, y là số lượng của sản phẩm X và Y. Để tối đa hóa thỏa mãn, người tiêu dùng phải chọn phối hợp các sản phẩm sao cho thỏa mãn 2 điều kiện đã nêu trên:
(1) Mục đích tiêu dùng: Tổng hữu dụng tối đa, tức là:
TU(X, Y) -> max
(2) Điều kiện ràng buộc: là phân phối tổng số tiền chi tiêu cho 2 sản phẩm phải nằm trong giới hạn thu nhập:

Từ điều kiện (3.5):
\(\frac{MUx}{Px} = \frac{MUy}{Py} \implies \frac{MUx}{Px} = \frac{MUy}{Py} = \frac{2}{1} = 2\)
Để thỏa điều kiện (3.5) ta chọn các phối hợp sao cho hữu dụng biên của X cũng gấp 2 lần hữu dụng biên của Y (vì PX = 2 PY).
Các cặp thỏa điều kiện (3.5):
- X = 1 và y = 3
- X = 2 và y = 4
- X = 3 và y = 5
- X = 4 và y = 6
- X = 6 và y = 7
Trong đó chỉ có phối hợp: X = 4 và Y = 6 là thỏa mãn điều kiện (3.6): 4x2 + 6x1 = 14 đvt
Như vậy phương án trên dùng tối ưu là:
X = 4 kg và Y = 6 lít
Lúc này hữu dụng biên tính trên 1 đvt cuối cùng của hai sản phẩm là 7 đvhd:
\(\frac{MU_{X4}}{P_X} = \frac{MU_{Y6}}{P_Y} = 7 đvhd\)
Ví dụ 5: Nếu thu nhập B tăng lên I2 = 15 đvt để chi mua 2 sản phẩm thì phối hợp tối ưu mới là gì?
- 14 đvt coi như đã chọn hợp lý, còn đvt thứ 15 ta so sánh:

Phương án tiêu dùng tối ưu: X = 4,5 kg và Y = 6 lít
\(\frac{MU_{X5}}{P_X} = 6 đvhd < \frac{MU_{Y6}}{P_Y} = 7 đvhd\) (không thỏa điều kiện (3.5))
Nhưng không còn cách nào phân phối tốt hơn. Do đó trong thực tế, để tối đa hóa hữu dụng ta chọn các phối hợp giữa các sản phẩm thỏa mãn 2 điều kiện:
\(\frac{MU_X}{P_X} \approx \frac{MU_Y}{P_Y}\)
Tóm lại, trong thực tế chúng ta thường không có nhiều lựa chọn đủ để đạt nguyên tắc lý thuyết:
\(\frac{MU_X}{P_X} = \frac{MU_Y}{P_Y} = \dots\) khi tiêu dùng nhiều sản phẩm. Do đó để tối đa hóa thỏa mãn, người tiêu dùng phải phân phối thu nhập nhất định của mình cho các sản phẩm sao cho hữu dụng biên tính trên 1 đơn vị tiền tệ cuối cùng của sản phẩm này phải tương đương với hữu dụng biên trên 1 đơn vị tiền tệ cuối cùng của các sản phẩm khác:
\(MU_X/P_Y \approx MU_Y/P_Y \approx MU_Z/P_Z \approx \dots\) (1)
Trong ràng buộc: X.Px + Y.Py + Z.Pz...= I (2)
Điều kiện (1) còn được gọi là nguyên tắc cân bằng biên.
3. Sự hình thành đường cầu thị trường
Để thiết lập đường cầu thị trường của một loại sản phẩm ta tiến hành 2 bước:
- Thiết lập đường cầu cá nhân của sản phẩm.
- Từ các đường cầu cá nhân ta tổng hợp thành đường cầu thị trường
3.1. Sự hình thành của đường cầu cá nhân đối với sản phẩm X
Đường cầu cá nhân đối với một sản phẩm thể hiện lượng sản phẩm mà mỗi người tiêu dùng muốn mua ở mỗi mức giá sản phẩm, trong điều kiện các yếu tố khác không đổi.
Do đó, để xây dựng đường cầu cá nhân đối với sản phẩm X chúng ta chỉ cho giá sản phẩm X thay đổi, các yếu tố còn lại (Py, I và sở thích) được giữ nguyên không đổi.
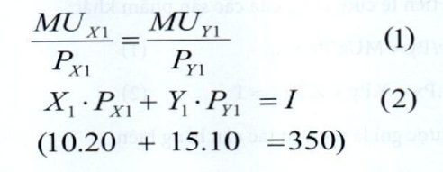
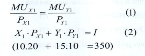
Ví dụ 6: Giả sử người tiêu dùng A có thu nhập I = 350 đvt để chi mua hai sản phẩm X và Y với PX1 = 20 đvt/sp; Py1 = 10 đvt/sp. Sở thích của A đối với hai sản phẩm được thể hiện qua bảng 3.4.
Bảng 3.4:
|
X (sản phẩm) |
MUx (đvhd) |
Y (sản phẩm) |
MUy (đvhd) |
|
. |
. |
. |
. |
|
. |
. |
. |
. |
|
. |
. |
5 |
24 |
|
. |
. |
. |
. |
|
8 |
66 |
. |
. |
|
. |
. |
. |
. |
|
10 |
40 |
. |
. |
|
11 |
22 |
||
|
. |
. |
||
|
15 |
20 |
Phương án tiêu dùng X1 = 10sp X và Y1 = 15sp Y là phương án tối ưu vì thỏa cả 2 điều kiện:

Khi giá sản phẩm X tăng lên Px, = 30 đvt/sp, trong khi các yếu tố khác (Py, I. sở thích) không đổi. Nếu B vẫn muốn mua số lượng X như cũ X, = 10 sp, thì phải giảm lượng mua sản phẩm Y đến Y’= 5 sp, và sẽ không đạt thỏa mãn tối đa vì:
\(\frac{MUx_1}{Px_2} = \frac{40}{30} < \frac{MUy'}{Py_1} = \frac{24}{10}\)
Để đạt TUmax, B sẽ điều chỉnh: giảm mua sản phẩm X và tăng mua sản phẩm Y cho đến khi: X2 = 8 và Y2 = 11 thỏa 2 điều kiện:

Từ thuyết hữu dụng ta đã chứng minh được qui luật cầu:
Trong điều kiện các yếu tố khác không đổi, khi giá sản phẩm X tăng lên thì người tiêu dùng có xu hướng giảm số lượng X được mua; ngược lại khi giá sản phẩm X giảm xuống thì người tiêu dùng có xu hướng tăng số lượng X được mua:
\(P \uparrow \implies Q_X \downarrow\)
\(P \downarrow \implies Q_X \uparrow\)
Biểu cầu và đường cầu cá nhân đối với sản phẩm X
Bảng 3.5: Biểu cầu
|
Px |
Qx |
|
Px1 (20) Px2 (30) |
X1 (10) X2 (8) |
Tác động của giá sản phẩm X đến khối lượng tiêu thụ sản phẩm Y. Khi giá sản phẩm X tăng, trong khi thu nhập, sở thích và giá sản phẩm Y không đổi, thì có 3 trường hợp có thể xảy ra:
- Nếu độ co giãn của cầu theo giá sản phẩm X là co giãn nhiều ( |ED(x)| > 1): Khi giá sản phẩm X tăng thì phần chi tiêu cho X (TRX) giảm, với thu nhập không đổi thì phần chi tiêu cho Y (TRY) tăng lên, kết quả là người tiêu dùng có thể mua số lượng sản phẩm Y nhiều hơn so với trước.
- Nếu |ED(x)| > 1: Px tăng → TRX giảm → TRY tăng→ Y tăng.
Lý giải cho các trường hợp tương tự còn lại:
- Nếu |ED(x)| < 1: Px tăng → TRX tăng → TRY giảm → Y giảm
- Nếu |ED(x)| = 1: Px tăng→ TRX, TRY không đổi → Y không đổi
3.2. Sự hình thành đường cầu thị trường của sản phẩm X
Giả sử trên thị trường sản phẩm X chỉ có 2 cá nhân người tiêu dùng A và B, thì lượng cầu thị trường là tổng lượng cầu của 2 cá nhân ở mỗi mức giá.
Bảng 3.6:
|
Đơn giá Sản phẩm P (đvt/SF) |
Lượng cầu của A (qA) |
Lượng cầu của B (qB) |
Lượng cầu thị trường (QD=QA + QB) |
|
P1 |
qA1 |
qB1 |
Q1 = qA1 + qB1 |
|
(20) |
(10) |
(5) |
(15) |
|
P2 |
qA2 |
qB2 |
Q2 = qA2 + qB2 |
|
(30) |
(8) |
(2) |
(10) |

Đường cầu thị trường (D) được tổng hợp từ các đường cầu cá nhân, bằng cách tổng cộng theo hoành độ các đường cầu cá nhân.
Ví dụ 7: Hàm cầu của A có dạng: qA = -P/2 + 200, và hàm cầu của B là qB = - P + 300, thì hàm số cầu thị trường là:
QD = qA + qB = -3P/2 + 500
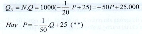
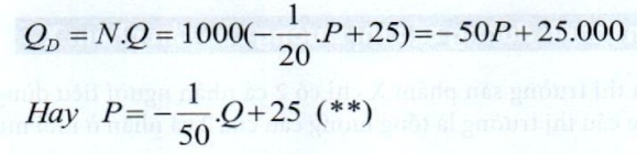
Ví dụ 8: Giả sử trên thị trường có N = 1.000 người tiêu dùng giống nhau và hàm số cầu của mỗi người tiêu dùng đều có dạng:
p = - 20Q + 500 (*)
Thì hàm số cầu thị trường sẽ có dạng thế nào?
Từ hàm số cầu của mỗi người tiêu dùng P = - 20Q + 500, chúng ta có thể viết lại dưới dạng Q = -
\(\frac{1}{20} \cdot P + 25\)
Hàm số cầu thị trường sẽ có dạng:

So sánh (*) và (**), ta có thể nhanh chóng tìm ra hàm số cầu thị trường từ các hàm số cầu cá nhân như sau:
Nếu trên thị trường có N người tiêu dùng giống nhau và hàm số cầu của mỗi người tiêu dùng đều có dạng: P = a.Q + b
Thì hàm số cầu thị trường sẽ có dạng
\(P = \frac{a}{N}\cdot Q + b\)
Lý thuyết nghiên cứu hành vi người tiêu dùng của trường phái cổ điển đã giúp chúng ta hiểu được nguyên tắc chi tiêu để tối đa hóa hữu dụng của người tiêu dùng, cũng như hiểu được tại sao đường cầu thường dốc xuống về bên phải.
Tuy nhiên, nhược điểm của phương pháp tiếp cận này là giả định mức hữu dụng hay sự thỏa mãn của người tiêu dùng là có thể đo lường được, điếu này là không thực tế.
Để khắc phục nhược điểm trong phân tích của trường phái cổ điển, các nhà kinh tế học tân cổ điển đã xây dựng một lý thuyết nghiên cứu hành vi tiêu dùng cá nhân bằng phương pháp hình học. Việc bổ sung thêm cách tiếp cận vấn đề bằng đồ thị sẽ làm dễ dàng hơn trong việc lý giải hành vi hợp lý của người tiêu dùng.
-----------------------
Chúng tôi đã giới thiệu nội dung bài Phân tích cân bằng tiêu dùng bằng thuyết hữu dụng về mục đích và giới hạn của người tiêu dùng, nguyên tắc tối đa hóa hữu dụng và sự hình thành đường cầu thị trường...
Trên đây, VnDoc đã giới thiệu tới các bạn Phân tích cân bằng tiêu dùng bằng thuyết hữu dụng. Ngoài ra, các bạn có thể tham khảo thêm nhiều tài liệu Cao đẳng - Đại học cũng như Cao học khác để phục vụ quá trình nghiên cứu hiệu quả hơn.