
Trả lời:
Các cặp giá trị bằng nhau là:
(1) = ......; (2) = .....; (3) = ......; (4) = ......; (5) = ......; (6) = .....; (13) = .......; (15) = ......; (16) = ......; (18) = ......;(1) = (12); (2) = (11); (3) = (9); (4) = (10); (5) = (7); (6) = (8); (13) = 14); (15) = (17); (16) = (20); (18) = (19);

Trả lời:
Các cặp giá trị bằng nhau là:
(1) = ......; (2) = .....; (3) = ......; (4) = ......; (5) = ......; (6) = .....; (13) = .......; (15) = ......; (16) = ......; (18) = ......;(1) = (12); (2) = (11); (3) = (9); (4) = (10); (5) = (7); (6) = (8); (13) = 14); (15) = (17); (16) = (20); (18) = (19);


bằng: ................
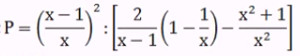
là A = ...............
tại x = 2 là: .................
là số nguyên.