Giao diện mới của VnDoc Pro: Dễ sử dụng hơn - chỉ tập trung vào lớp bạn quan tâm. Vui lòng chọn lớp mà bạn quan tâm: Lưu và trải nghiệm
Đóng
Điểm danh hàng ngày
  • Hôm nay +3
  • Ngày 2 +3
  • Ngày 3 +3
  • Ngày 4 +3
  • Ngày 5 +3
  • Ngày 6 +3
  • Ngày 7 +5
Bạn đã điểm danh Hôm nay và nhận 3 điểm!
Nhắn tin Zalo VNDOC để nhận tư vấn mua gói Thành viên hoặc tải tài liệu Hotline hỗ trợ: 0936 120 169
Phân loại: Tài liệu Tính phí
Cường Tiểu Toán học

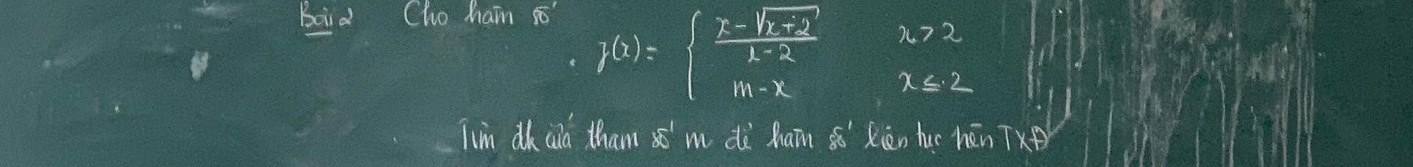
Tìm điều kiện của tham số m để hàm số liên tục trên tập xác định

giúp mình vs ạ

 

 

3
Xác thực tài khoản!

Theo Nghị định 147/2024/ND-CP, bạn cần xác thực tài khoản trước khi sử dụng tính năng này. Chúng tôi sẽ gửi mã xác thực qua SMS hoặc Zalo tới số điện thoại mà bạn nhập dưới đây:

Số điện thoại chưa đúng định dạng!
Số điện thoại này đã được xác thực!
Bạn có thể dùng Sđt này đăng nhập tại đây!
Lỗi gửi SMS, liên hệ Admin
3 Câu trả lời
  • Bánh Tét
    Bánh Tét

    \lim_{x\rightarrow 2^{+} } \frac{x-\sqrt{x+2}}{x-2} =\lim_{x\rightarrow 2^{+} } \frac{x^{2}-x-2 }{(x-2)(x+\sqrt{x+2})} =\lim_{x\rightarrow 2^{+} }\frac{x+1 }{(x+\sqrt{x+2})}=\frac{3}{4}

    \lim_{x\rightarrow2^{-}  } (m-x)=m-2

    f(2) = m - 2

    Để hàm số liên tục trên tập xác định:

    => m - 2 = 3/4

    => m = 11/4

    Trả lời hay
    4 Trả lời 17/03/23
  • Rùa Con
    Rùa Con

    Với x > 2, f\left(x\right)=\frac{x-\sqrt{x+2}}{x-2} là hàm đa thức => f(x) liên tục

    Với x < 2, f(x) = m - x là hàm đa thức => f(x) liên tục

    Để hàm số liên tục trên tập xác định

    => f(2) = \lim_{x\rightarrow 2^{+} } f(x)=\lim_{x\rightarrow 2^{-} } f(x)

    => \lim_{x\rightarrow 2^{+} }\frac{x-\sqrt{x+2} }{x-2}  = m-2

    => \frac{3}{4}=m-2

    => m = 11/4

    0 Trả lời 18/03/23
  • Phan Thị Nương
    Phan Thị Nương

    Tham khảo các bài toán tìm m để hàm số liên tục https://vndoc.com/xac-dinh-tham-so-de-ham-so-lien-tuc-202462

    0 Trả lời 18/03/23

Toán học

Xem thêm