Hàm lượng iron( II) sulfate ( FeSO4) có thể được xác định bằng phản ứng oxi hóa – khử với potassium permanganate ( KMnO4) trong môi trường axit:
Xét các phát biểu sau:
a. Phương trình hóa học cân bằng của phản ứng là:
10FeSO4 + 2KMnO4 + 8H2SO4 → 5Fe2(SO4)3 + K2SO4 + 2MnSO4 + 8H2O. Đúng||Sai
b. Trong phản ứng trên, KMnO4 là chất oxi hóa còn FeSO4 là chất khử. Đúng||Sai
c. Số mol FeSO4 có trong 20 mL dung dịch 0,10 M là 0,002 mol. Đúng||Sai
d. Thể tích dung dịch KMnO4 0,02 M cần dùng để phản ứng vừa đủ với dung dịch trên là 100 mL. Sai||Đúng
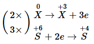
Hàm lượng iron( II) sulfate ( FeSO4) có thể được xác định bằng phản ứng oxi hóa – khử với potassium permanganate ( KMnO4) trong môi trường axit:
![]()
Xét các phát biểu sau:
a. Phương trình hóa học cân bằng của phản ứng là:
10FeSO4 + 2KMnO4 + 8H2SO4 → 5Fe2(SO4)3 + K2SO4 + 2MnSO4 + 8H2O. Đúng||Sai
b. Trong phản ứng trên, KMnO4 là chất oxi hóa còn FeSO4 là chất khử. Đúng||Sai
c. Số mol FeSO4 có trong 20 mL dung dịch 0,10 M là 0,002 mol. Đúng||Sai
d. Thể tích dung dịch KMnO4 0,02 M cần dùng để phản ứng vừa đủ với dung dịch trên là 100 mL. Sai||Đúng
FeSO4 là chất khử, KMnO4 là chất oxi hóa
Quá trình oxi hóa:
Quá trình khử:
10FeSO4 + 2KMnO4 + 8H2SO4 → 5Fe2(SO4)3 + K2SO4 + 2MnSO4 + 8H2O
a. Đúng
b. Đúng
c. Đúng
n = C× V = 0,10. 0,020 = 0,002 mol
d. Sai
Theo tỉ lệ phản ứng:
