Giao diện mới của VnDoc Pro: Dễ sử dụng hơn - chỉ tập trung vào lớp bạn quan tâm. Vui lòng chọn lớp mà bạn quan tâm: Lưu và trải nghiệm
Đóng
Điểm danh hàng ngày
  • Hôm nay +3
  • Ngày 2 +3
  • Ngày 3 +3
  • Ngày 4 +3
  • Ngày 5 +3
  • Ngày 6 +3
  • Ngày 7 +5
Bạn đã điểm danh Hôm nay và nhận 3 điểm!
Nhắn tin Zalo VNDOC để nhận tư vấn mua gói Thành viên hoặc tải tài liệu Hotline hỗ trợ: 0936 120 169

Trắc nghiệm Sinh học 12 bài 12

Lớp: Lớp 12
Môn: Sinh Học
Loại File: Word + PDF
Phân loại: Tài liệu Tính phí

Trắc nghiệm Sinh học 12 bài 12 là tài liệu tham khảo hữu ích hỗ trợ thầy cô trong quá trình giảng dạy, củng cố kiến thức trọng tâm bài học cho học sinh, đồng thời giúp các em làm quen với nhiều dạng câu hỏi trắc nghiệm Sinh trong chương trình học lớp 12. Mời quý thầy cô và các em cùng tham khảo chi tiết tại đây nhé.

VnDoc.com xin gửi tới bạn đọc bài viết Trắc nghiệm Sinh học 12 bài 12 Di truyền liên kết với giới tính và di truyền ngoài nhân để bạn đọc cùng tham khảo. Bài viết được tổng hợp gồm có 15 câu hỏi trắc nghiệm về bài 12 Di truyền liên kết với giới tính và di truyền ngoài nhân trong môn Sinh học lớp 12. Bài tập có đáp án và lời giải chi tiết kèm theo. Mời các bạn cùng tham khảo chi tiết và tải về tại đây nhé.`

Trắc nghiệm Sinh 12 Bài 12: Di truyền liên kết với giới tính và di truyền ngoài nhân

Câu 1: Ở những loài giao phối, tỉ lệ đực : cái luôn xấp xỉ 1 : 1 vì

A. số giao tử đực bằng với số giao tử cái.

B. số con cái và số con đực trong loài bằng nhau.

C. sức sống của các giao tử đực và cái ngang nhau.

D. cơ thể XY tạo giao tử X và Y với tỉ lệ ngang nhau.

Câu 2: Ở người, bệnh mù màu (đỏ và lục) do đột biến gen lặn nằm trên NST giới tính X gây nên (Xm). Nếu mẹ bình thường, bố bị mù màu thì con trai bị mù màu của họ đã nhận Xm từ

A. bố

B. bà nội

C. ông nội

D. mẹ

Câu 3: Ở tằm dâu, gen quy định màu sắc vỏ trứng nằm trêm NST giới tính X, không có alen trên Y. Alen A quy định trứng có màu sẫm, a quy định trứng có màu sáng. Cặp lai nào dưới đây đẻ trứng màu sẫm luôn nở ra tằm đực, còn trứng màu sáng luôn nở ra tằm cái?

A. XAXa x XaY

B. XAXa x XAY

C. XAXA x XaY

D. XaXa x XAY

Câu 4: Đặc điểm nào dưới đây là của hiện tượng di truyền qua tế bào chất?

A. Số lượng gen ngoài NST ở các tế bào con là giống nhau.

B. Không tuân theo các quy luật của thuyết di truyền NST.

C. Có đặc điểm di truyền giống như gen trên NST.

D. Có sự phân chia đồng đều gen ngoài NST cho các tế bào con.

Câu 5: Trong các phát biểu sau, có bao nhiêu phát biểu đúng khi nói về NST giới tính ở động vật?

(1) NST giới tính chỉ có ở tế bào sinh dục.

(2) NST giới tính chỉ chứa các gen quy định tính trạng giới tính.

(3) Hợp tử mang cặp NST giới tính XY bao giờ cũng phát triển thành cơ thể đực.

(4) NST giới tính có thể bị đột biến về cấu trúc và số lượng.

A. 1

B. 2

C. 3

D. 4

Câu 6: Trong quá trình giảm phân ở 1 cơ thể có kiểu gen AaBbXcDXEd đã xảy ra hoán vị gen giữa các alen D và d với tần số 20%. Cho biết không xảy ra đột biến, tính theo lí thuyết, tỉ lệ loại giao tử abXcd được tạo ra từ cơ thể này là

A. 2,5%

B. 5,0%

C. 10,0%

D. 7,5%

Câu 7: Dấu hiệu đặc trưng để nhận biết tính trạng do gen trên NST giới tính Y quy định là

A. được di truyền thẳng ở giới dị giao tử

B. luôn di truyền theo dòng bố

C. chỉ biểu hiện ở con cái

D. chỉ biểu hiện ở con đực

Câu 8: Ở ruồi giấm, gen quy định màu mắt nằm trên vùng không tương đồng của NST giới tính X có 2 alen, alen A quy định mắt đỏ, trội hoàn toàn so với alen a quy định mắt trắng. Lai ruồi cái mắt đỏ với ruồi đực mắt trắng (P) thu được F1 gồm 50% ruồi mắt đỏ, 50% ruồi mắt trắng. Cho F1 giao phối tự do với nhau thu được F2. Theo lí thuyết, trong tổng số ruồi F2, ruồi cái mắt đỏ chiếm tỉ lệ

A. 6,25%

B. 31,25%

C. 75%

D. 18,75%

Câu 9: Cho phép lai P: Trắc nghiệm Sinh học 12 bài 12, thu được F1. Trong tổng số cá thể F1, số cá thể không mang alen trội của các gen trên chiếm 3%. Biết rằng không xảy ra đột biến nhưng xảy ra hoán vị gen ở 2 giới với tần số bằng nhau. Theo lí thuyết, ở F1, số cá thể mang kiểu hình trội về cả 3 tính trạng trên chiếm tỉ lệ

A. 22%

B. 28%

C. 32%

D. 46%

Câu 10: Ở mèo, gen B quy định màu lông đen nằm trên NST giới tính X, gen b quy định màu lông hung, mèo cái dị hợp về gen này có màu lông tam thể do B trội không hoàn toàn. Lai mèo cái tam thể với mèo đực lông đen, màu lông của mèo con sẽ là:

A. Mèo cái toàn đen ; mèo đực 50% đen : 50% hung

B. Mèo cái 50% đen : 50% tam thể ; mèo đực 100% đen

C. Mèo cái 50% đen : 50% tam thể ; mèo đực 100% hung

D. Mèo cái 50% đen : 50% tam thể ; mèo đực 50% đen : 50% hung

Câu 11: Ở một loài động vật, alen quy định lông xám trội hoàn toàn só với alen a quy định lông hung; alen B quy định chân cao trội hoàn toàn so với alen b quy định chân thấp; alen D quy định mắt nâu trội hoàn toàn so với alen d quy định mắt đen. Phép lai P: Trắc nghiệm Sinh học 12 bài 12 thu được F1. Trong tổng số cá thể F1, số cá thể cái có lông hung, chân thấp, mắt đen chiểm tỉ lệ 1%. Biết quá trình giảm phân không xảy ra đột biến nhưng xảy ra hoán vị gen ở cả 2 giới với tần số như nhau. Theo lí thuyết, số cá thể lông xám dị hợp, chân thấp, mắt nâu ở F1 chiếm tỉ lệ

A. 8,5%

B. 17%

C. 2%

D. 10%

Câu 12: Trong quần thể của một loài động vật lưỡng bội, xét một locut có 3 alen nằm trên vùng tương đồng của NST giới tính X và Y. Biết rằng không xảy ra đột biến, theo lí thuyết, số loại kiểu gen tối đa về locut trên trong quần thể là

A. 12

B. 15

C. 6

D. 9

Câu 13: Một đột biến điểm ở gen nằm trong ti thể gây nên chứng động kinh ở người. Phát biểu nào sau đây không đúng khi nói về đặc điểm di truyền của bệnh trên?

A. Bệnh này chỉ gặp ở nữ giới mà không gặp ở nam giới.

B. Nếu mẹ bình thường, bố bị bệnh thì tất cả các con của họ đều bình thường.

C. Nếu mẹ bị bệnh, bố không bị bệnh thì các con của họ đều bị bệnh

D. Nếu mẹ bình thường, bố bị bệnh thì bà nội bị bệnh.

Câu 14: Khi lai cá vảy đỏ thuần chủng với cá vảy trắng (phép lai thuần) được F1 gồm 100% vảy đỏ. Cho các cá thể F1 giao phối với nhau được F2 gồm 2 loại kiểu hình với tỉ lệ: 3 cá vảy đỏ : 1 cá vảy trắng, trong đó cá vảy trắng gồm toàn cá cái. Cho rằng không có đột biến phát sinh. Nếu thực hiện phép lai nghịch với phép lai trên thì sự phân li về kiểu gen và kiểu hình ở F2 tương ứng là:

A. 1XAXA : 1XAXa : 1XAY : 1XaY; 3 vảy đỏ : 1 vảy trắng (toàn con cái)

B. 1XAXA : XaY; 1 đực vảy đỏ: 1 cái vảy trắng

C. 1XAXa : 1XaXa : 1XAY : 1XaY; 1 đực vảy đỏ : 1 đực vảy trắng : 1 cái vảy đỏ : 1 cái vảy trắng

D. 1XAXa : 1XaY; 1 đực vảy đỏ: 1 cái vảy trắng

Câu 15: Bệnh mù màu đỏ và lục ở người do gen đột biến lặn nằm trên NST X quy định, không có alen tương ứng trên Y. Bệnh bạch tạng lại do một gen lặn khác nằm trên NST thường quy định. Một cặp vợ chồng đều không mắc cả 2 bệnh trên, người chồng có bố và mẹ đều bình thường nhưng có cô em gái bị bạch tạng. Người vợ có bố bị mù màu và mẹ bình thường nhưng em trai thì bị bệnh bạch tạng.

Xác suất để cặp vợ chồng này sinh con trai mắc đồng thời cả 2 bệnh trên là

A. 1/12

B. 1/24

C. 1/36

D. 1/8

Đáp án - Hướng dẫn giải

1 - D

2 - D

3 - D

4 - B

5 - A

6 - A

7 - A

8 - B

9 - B

10 - D

11 - A

12 - B

13 - A

14 - C

15 - C

     

Câu 3:

Ở tằm (bướm), con đực: XX; con cái: XY → Đáp án D.

Câu 6:

Tỉ lệ loại giao tử abXed = 0,25ab x 0,1Xed = 0,025 = 2,5% → Đáp án A.

Câu 9:

Số cá thể không mang alen trội của các gen (aabb XdXd + aabb XdY) = 3% = aabb x (1/4 XdXd + 1/4 XdY) = 3% → aabb = 6% → A-B- = aabb + 50% = 56%.

Tỉ lệ cá thể mang kiểu hình trội về cả 3 tính trạng trên (A-B- XD-) ở F1 = 56% x 50%(XDXd + XDY) = 28% → Đáp án B.

Câu 11:

Cái hung, thấp, đen: ab//ab XdXd = 1% → ab x ab = 0,04 → con đực cho ab = 0,1 và con cái cho ab = 0,4 → f = 20%.

Số cá thể xám dị hợp, thấp, nâu: Ab//ab XD- = 0,4(Ab x 0,4ab + 0,1Ab x 0,1ab) x 1/2 = 8,5% → Đáp án A.

Câu 12:

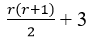
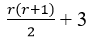
Ở giới cái, ta có 1 gen gồm 3 alen nên theo công thức r(r+1)/2 = 6 loại kiểu gen

Ở giới đực, vì nằm trên vùng tương đồng của X và Y do đó ta cũng theo công thức Trắc nghiệm Sinh học 12 bài 12 (đổi vị trí trên Y và X) = 9

→ Số loại kiểu gen tối đa về locut gen trên trong quần thể này là: 6 + 9 = 15.

Câu 15:

Chồng nhìn màu bình thường có kiểu gen XAY; vợ bình thường nhưng có bố bị mù màu → vợ có kiểu gen XAXa → P: XAY : XAXa → Tỉ lệ con trai mắc bệnh mù màu (XaY) = 1/4.

Cả vợ và chồng đều có da bình thường nhưng lại có em bị bạch tạng (bb) → cả vợ và chồng đều có kiểu gen với xác suất 1/3 BB : 2/3 Bb, đều cho giao tử tỉ lệ với: 2/3B : 1/3b → Xác suất sinh con mắc bệnh bạch tạng (bb) = 1/3 x 1/3 = 1/9.

Vậy xác suất sinh con trai mắc cả 2 bệnh = 1/4 x 1/9 = 1/36.

Trên đây VnDoc.com vừa giới thiệu tới các bạn Trắc nghiệm Sinh học 12 bài 12 Di truyền liên kết với giới tính và di truyền ngoài nhân, mong rằng qua bài viết này các bạn có thể học tập tốt hơn môn Sinh lớp 12. Mời các bạn cùng tham khảo thêm các môn Toán 12, Ngữ văn 12, tiếng Anh 12, đề thi học kì 1 lớp 12, đề thi học kì 2 lớp 12...

Mời bạn đọc cùng tham gia nhóm Tài liệu học tập lớp 12 của VnDoc.com để có thêm tài liệu học tập nhé

Chọn file muốn tải về:
Đóng Chỉ thành viên VnDoc PRO/PROPLUS tải được nội dung này!
Đóng
79.000 / tháng
Đặc quyền các gói Thành viên
PRO
Phổ biến nhất
PRO+
Tải tài liệu Cao cấp 1 Lớp
30 lượt tải tài liệu
Xem nội dung bài viết
Trải nghiệm Không quảng cáo
Làm bài trắc nghiệm không giới hạn
Mua cả năm Tiết kiệm tới 48%

Có thể bạn quan tâm

Xác thực tài khoản!

Theo Nghị định 147/2024/ND-CP, bạn cần xác thực tài khoản trước khi sử dụng tính năng này. Chúng tôi sẽ gửi mã xác thực qua SMS hoặc Zalo tới số điện thoại mà bạn nhập dưới đây:

Số điện thoại chưa đúng định dạng!
Số điện thoại này đã được xác thực!
Bạn có thể dùng Sđt này đăng nhập tại đây!
Lỗi gửi SMS, liên hệ Admin
Sắp xếp theo
🖼️

Trắc nghiệm Sinh học 12

Xem thêm
🖼️

Gợi ý cho bạn

Xem thêm