Trắc nghiệm Sinh học 12 bài 43
Bài tập trắc nghiệm Sinh học 12 bài 43
Trắc nghiệm Sinh học 12 bài 43: Trao đổi vật chất trong hệ sinh thái là tài liệu tham khảo hữu ích hỗ trợ thầy cô trong quá trình giảng dạy, củng cố kiến thức trọng tâm bài học cho học sinh, đồng thời giúp các em làm quen với nhiều dạng câu hỏi trắc nghiệm Sinh trong chương trình học lớp 12. Mời quý thầy cô và các em cùng tham khảo chi tiết tại đây nhé.
VnDoc.com xin gửi tới bạn đọc bài viết Trắc nghiệm Sinh học 12 bài 43 Trao đổi vật chất trong hệ sinh thái để bạn đọc cùng tham khảo. Bài viết được tổng hợp gồm có 20 câu hỏi trắc nghiệm về bài 43 Trao đổi vật chất trong hệ sinh thái trong môn Sinh học lớp 12. Bài tập có đáp án đi kèm theo. Mời các bạn cùng tham khảo chi tiết và tải về tại đây nhé.
Trắc nghiệm Sinh 12 Bài 43: Trao đổi vật chất trong hệ sinh thái
Câu 1: Lưới thức ăn
A. gồm nhiều chuỗi thức ăn
B. gồm nhiều loài sinh vật có quan hệ dinh dưỡng với nhau
C. gồm nhiều chuỗi thức ăn có các mắt xích chung
D. gồm nhiều loài sinh vật trong đó có sinh vật sản xuất, sinh vật tiêu thụ và sinh vật phân giải
Câu 2: Chuỗi và lưới thức ăn biểu thị mối quan hệ
A. giữa sinh vật sản xuất với sinh vật tiêu thụ và sinh vật phân giải
B. dinh dưỡng
C. động vật ăn thịt và con mồi
D. giữa thực vật với động vật
Câu 3: Mối quan hệ có ý nghĩa quan trọng nhất đối với sự hình thành chuỗi thức ăn và lưới thức ăn trong hệ sinh thái là
A. quan hệ cạnh tranh
B. quan hệ đối kháng
C. quan hệ vật ăn thịt – con mồi
D. quan hệ hợp tác
Câu 4: Sinh vật nào dưới đây được gọi là sinh vật sản xuất?
A. Con chuột
B. Vi khuẩn
C. Trùng giày
D. Cây lúa
Câu 5: Có những dạng tháp sinh thái nào?
A. Tháp số lượng và tháp sinh khối
B. Tháp sinh khối và tháp năng lượng
C. Tháp năng lượng và tháp số lượng
D. Tháp số lượng, tháp sinh khối và tháp năng lượng
Câu 6: Chuỗi thức ăn của hệ sinh thái dưới nước thường dài hơn hệ sinh thái trên cạn vì
A. hệ sinh thái dưới nước có độ đa dạng cao
B. môi trường nước không bị ánh nắng mặt trời đốt nóng
C. môi trường nước có nhiệt độ ổn định hơn
D. môi trường nước giàu chất dinh dưỡng hơn môi trường trên cạn
Câu 7: Trong hệ sinh thái, nếu sinh khối của thực vật ở các chuỗi là bằng nhau thì trong số các chuỗi thức ăn sau, chuỗi thức ăn cung cấp năng lượng cao nhất cho con người là:
A. thực vật → thỏ → người
B. thực vật → người
C. thực vật → động vật phù du → cá → người
D. thực vật → cá → vịt → người
Câu 8: Trong chuỗi thức ăn: Cỏ → cá → vịt → người thì một loài động vật bất kì trong chuỗi có thể được xem là
A. sinh vật tiêu thụ
B. sinh vật dị dưỡng
C. sinh vật phân hủy
D. sinh vật sản xuất
Câu 9: Trong một chuỗi thức ăn, nhóm sinh vật nào có sinh khối lớn nhất?
A. động vật ăn thực vật
B. thức vật
C. động vật ăn động vật
D. sinh vật phân giải
Câu 10: Câu nào sau đây là sai?
A. Trong lưới thức ăn, một loài sinh vật có thể tham gia nhiều vào chuỗi thức ăn
B. Trong chuỗi thức ăn được mở đầu bằng thực vật thì sinh vật thì sinh vật sản xuất có sinh khối lớn nhất
C. Quần xã sinh vật có độ đa dạng càng cao thì lưới thức ăn trong quần xã càng phức tạp
D. Các quần xã trưởng thành có lưới thức ăn đơn giản hơn so với quần xã trẻ hay suy thoái
Câu 11: Giả sử có 5 sinh vật: cỏ, rắn, châu chấu, vi khuẩn và gà. Theo mối quan hệ dinh dưỡng thì trật tự nào sau đây là đúng để tạo thành 1 chuỗi thức ăn?
A. Cỏ → châu chấu → rắn → gà → vi khuẩn
B. Cỏ → vi khuẩn → châu chấu → gà → rắn
C. Cỏ → châu chấu → gà → rắn → vi khuẩn
D. Cỏ → rắn → gà → châu chấu → vi khuẩn
Câu 12: Tháp sinh thái nào luôn có dạng chuẩn?
A. Tháp số lượng
B. Tháp sinh khối
C. Tháp năng lượng
D. Cả A, B và C
Câu 13: Câu nào sau đây là đúng?
A. Mọi tháp sinh thái trong tự nhiên luôn luôn có dạng chuẩn
B. Mỗi loài sinh vật chỉ có thể tham gia vào 1 chuỗi thức ăn
C. Lưới thức ăn gồm nhiều chuỗi thức ăn không có mắt xích chung
D. Quần xã sinh vật càng đa dạng về thành phần loài thì lưới thức ăn trong quần xã càng phức tạp
Câu 14: Sản lượng sinh vật sơ cấp do nhóm sinh vật nào tạo ra?
A. sinh vật dị dưỡng
B. sinh vật tiêu thụ bậc 2
C. sinh vật phân giải
D. sinh vật sản xuất
Câu 15: Tháp năng lượng được xây dựng dựa trên
A. số năng lượng được tích lũy trên một đơn vị thể tích, trong 1 đơn vị thời gian, ở mỗi bậc dinh dưỡng
B. số năng lượng được tích lũy trên một đơn vị thời gian, ở mỗi bậc dinh dưỡng
C. số năng lượng được tích lũy trên một đơn vị diện tích, trong 1 đơn vị thời gian, ở mỗi bậc dinh dưỡng
D. số năng lượng được tích lũy trên một đơn vị diện tích hay thể tích, trong 1 đơn vị thời gian, ở mỗi bậc dinh dưỡng
Câu 16: Cho chuỗi thức ăn sau:
Tảo lục đơn bào → Tôm → Cá rô → Chim bói cá.
Chuỗi thức ăn này được mở đầu bằng
A. sinh vật dị dưỡng
B. sinh vật tự dưỡng
C. sinh vật phân giải chat hữu cơ
D. sinh vật hóa tự dưỡng
Câu 17: Cho các chuỗi thức ăn sau: Lúa → Cào cào → Ếch → Rắn → Đại bàng. Trong chuỗi thức ăn trên, sinh vật nào thuộc bậc dinh dưỡng cấp 3?
A. Cào cào B. Ếch
C. Rắn D. Đại bàng
Câu 18: Sự giàu dinh dưỡng của các hồ thường làm giảm hàm lượng oxi tới mức nguy hiểm. Nguyên nhân chủ yếu của sự khử oxi tới mức này là do
A. sự tiêu dùng oxi của các quần thể cá, tôm
B. các chất dinh dưỡng
C. sự tiêu dùng oxi của các quần thể thực vật
D. sự oxi hóa của các chất mùn bã
Câu 19: Giả sử có 1 mạng lưới dinh dưỡng như sau:

Kết luận nào sau đây không đúng?
A. Cào cào là mắt xích chung của 2 chuỗi thức ăn
B. Cá rô được xếp vào bậc dinh dưỡng cấp 2
C. Nếu cào cào bị tiêu diệt thì ếch và cá rô có nguy cơ bị chết
D. Đại bang là bậc dinh dưỡng cấp 5
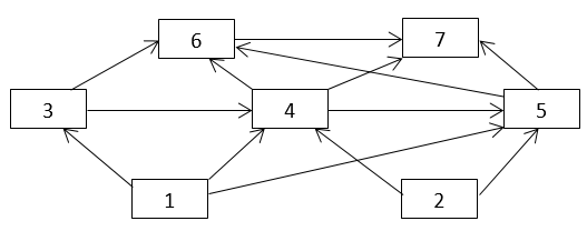
Câu 20: Trong lưới thức ăn được mô tả ở hình bên, khi bậc dinh dưỡng đầu tiên bị nhiễm kim loại nặng thì sinh vật nào sẽ tích tụ hàm lượng kim loại nặng lớn nhất?

A. Sinh vật số 1
B. Sinh vật số 4
C. Sinh vật số 6
D. Sinh vật số 7
Đáp án - Hướng dẫn giải
|
1 - C |
2 - B |
3 - C |
4 - D |
5 - D |
6 - C |
7 - B |
8 - A |
9 - B |
10 - D |
|
11 - C |
12 - C |
13 - D |
14 - D |
15 - D |
16 - B |
17 - B |
18 - D |
19 - B |
20 - D |
Trên đây VnDoc.com vừa giới thiệu tới các bạn Trắc nghiệm Sinh học 12 bài 43 Trao đổi vật chất trong hệ sinh thái, mong rằng qua bài viết này các bạn có thể học tập tốt hơn môn Sinh lớp 12. Mời các bạn cùng tham khảo thêm các môn Toán 12, Ngữ văn 12, tiếng Anh 12, đề thi học kì 1 lớp 12, đề thi học kì 2 lớp 12...
Mời bạn đọc cùng tham gia nhóm Tài liệu học tập lớp 12 của VnDoc.com để có thêm tài liệu học tập nhé