Giải SBT Sinh học 12: Bài tập có lời giải trang 5
Giải SBT Sinh học 12 bài trang 5
- Bài 1 trang 5 Sách bài tập (SBT) Sinh 12 - Bài tập có lời giải
- Bài 2 trang 6 Sách bài tập (SBT) Sinh 12 - Bài tập có lời giải
- Bài 3 trang 6 Sách bài tập (SBT) Sinh 12 - Bài tập có lời giải
- Bài 4 trang 7 Sách bài tập (SBT) Sinh 12 - Bài tập có lời giải
- Bài 5 trang 8 Sách bài tập (SBT) Sinh 12 - Bài tập có lời giải
- Bài 6 trang 8 Sách bài tập (SBT) Sinh 12 - Bài tập có lời giải
VnDoc xin giới thiệu tới thầy cô và các bạn học sinh tài liệu Giải SBT Sinh học 12: Bài tập có lời giải trang 5, tài liệu được cập nhật chi tiết và chính xác sẽ giúp các bạn học tốt hơn môn Sinh học 12. Mời các bạn học sinh tham khảo chi tiết bài viết dưới đây nhé.
- Đề thi thử THPT quốc gia môn Sinh học trường THPT TX Quảng Trị (Lần 2)
- Đề thi thử THPT quốc gia môn Sinh học trường THPT Hậu Lộc 1 - Thanh Hóa (Lần 3)
- Đề thi thử THPT quốc gia môn Sinh học trường THPT TH Cao Nguyên - ĐH Tây Nguyên (Lần 3)
Giải SBT Sinh học 12: Bài tập có lời giải trang 5 vừa được VnDoc.com sưu tập và xin gửi tới bạn đọc cùng tham khảo. Bài viết được tổng hợp gồm có lời giải của 6 bài tập trong sách bài tập môn Sinh học lớp 12. Bài viết cho bạn đọc thấy được cách xác định tỉ lệ %, cách xác định đột biến gen của NST... Mời các bạn cùng tham khảo chi tiết và tải về bài viết tại đây nhé.
Sinh học 12: Bài tập có lời giải trang 5
Bài 1 trang 5 Sách bài tập (SBT) Sinh 12 - Bài tập có lời giải
Trong một phân tử mARN ở E. coli, tỉ lệ % các loại nuclêôtit như sau:
U = 20%, X = 22%, A = 28%.
a) Xác định tỉ lệ % từng loại nuclêôtit trong vùng mã hoá của gen đã tổng hợp nên phân tử mARN trên.
b) Trong phân tử mARN trên, nếu số nuclêôtit loại ađênin là 560 thì đoạn ADN làm khuôn để tổng hợp nên nó có chiểu dài bao nhiêu A?
Lời giải :
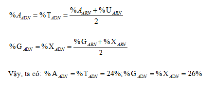
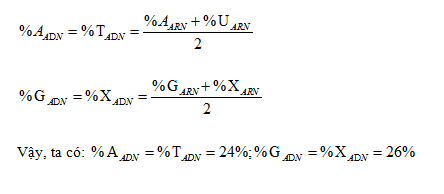
a) Theo cơ chế phiên mã của gen ta có sơ đồ:

Sơ đồ tổng hợp thành phần các nuclêôtit của đoạn mã hoá của gen khi một mạch của nó là 100%. Từ sơ
đồ trên ta thấy:

a) Số nuclêôtit của mARN : (560 ×100) : 28 = 2000 nuclêôtit.
Số nuclêôtit của mARN bằng số nuclêôtit trên mạch khuôn thuộc vùng mã hoá của gen. Vậy, chiều dài đoạn ADN mã gốc tổng hợp nên phân tử mARN là:
2000 × 3,4 Å = 6800 Å
Bài 2 trang 6 Sách bài tập (SBT) Sinh 12 - Bài tập có lời giải
Vùng mã hoá của gen xác định chuỗi pôlipeptit ở E. coli dài 30 axit amin có trình tự phêninalanin và tirôzin sắp xếp luân phiên nhau. Xác định trình tự nuclêôtit đúng với trình tự axit amin này trong các trường hợp sau:
a) Mạch ADN được đọc để tạo ra mARN, cho rằng UUU mã hoá phêninaỉanin và UAU mã hoá tirôzin trong mARN.
b) Mạch ADN không được phiên mã.
c) Các cụm đối mã của các tARN tương ứng.
Lời giải:
a) 3’ TAXAAAATAAAAATAAAAATAAAAATA... 5’
(foocmin mêtiônin hay mêtiônin mở đầu bị tách ra khỏi chuỗi pôlipeptit sau dịch mã mARN).
b) 5’ ATGTTTTATTTTTATTTTTATTTTTAT... 3*
c) 3’ AAA 5’ là cụm đối mã của tARN vận chuyển phêninalanin và 3’AUA 5’ là cụm đối mã của tARN vận chuyển tirôzin.
Bài 3 trang 6 Sách bài tập (SBT) Sinh 12 - Bài tập có lời giải
Đoạn mARN ở tế bào nhân sơ có trình tự nuclêồtit như sau:
...UUUAAGAAUXUUGX...
a) Xác định trình tự nuclêôtit của mạch ADN mã gốc đã tạo ra đoạn mARN này.
b) Xác định 4 axit amin có thể được dịch mã từ điểm bắt đầu của đoạn mARN này.
c) Cho rằng thay thế nuclêôtit xảy ra ở ADN và nuclêôtit thứ ba (U) của mARN được thay thế bằng G.
Xác định trình tự axit amin là kết quả của đột biến này.
d) Nếu việc thêm nuclêôtit xảy ra trong ADN để G được thêm vào giữa nuclêôtit thứ ba và thứ tư.
Xác định trình tự axit amin là kết quả của đột biến này.
e) Trên cơ sở những thông tin ở (c) và (d), hãy xác định loại đột biến nào trong ADN có hiệu quả sâu rộng hơn tới prôtêin khi dịch mã gen? Giải thích.
Lời giải :
Trình tự mARN: ...UUUAAGAAUXUUGX…
a) Trình tự nuclêôtit của mặch ADN mã gốc đã tạo ra đoạn mARN trên:
…AAATTXTTAGAAXG...
b) Bốn axit amin có thể được dịch mã:
Phe - Lys - Asn - Leu
c) Đột biến thay thế trong ADN -> nuclêôtit thứ ba (U) trong mARN được thay thế bằng G, tức là:
...UUG* AAG AAU XUU GX…
Trình tự axit amin là kết quả của đột biến:
... Leu - Lys - Asn – Leu..
d) Đột biến thêm G vào giữa nuclêôtit thứ ba và thứ tư, tức là:
...UUUG*AAGAAUXUUGX..
Trình tự axit amin là kết quả của đột biến:
...Phe - Glu - Glu - Ser - Cys...
e) Trên cơ sở những thông tin ở mục c và d cho thấy đột biến thêm 1 nuclêôtit vào ADN => có ảnh hưởng sâu rộng hơn tới prôtêin được tổng hợp, do từ vị trí thêm 1 nuclêôtit, khung đọc dịch chuyển đi 1 nuclêôtit => tất cả các côđon từ đó sẽ thay đổi => thay đổi lớn đến thành phần axit amin của prôtêin hơn so với loại đột biến thay thế 1 nuclêôtit (thường chỉ ảnh hưởng đến 1 axit amin trong prôtêin).
Bài 4 trang 7 Sách bài tập (SBT) Sinh 12 - Bài tập có lời giải
Nhiễm sắc thể (NST) bình thường có trình tự gen như sau

Hãy xác định dạng đột biến NST được minh hoạ trong các trường hợp sau:

Lời giải:
a, Đảo đoạn DEF.
b, Lặp đoạn EF
c, Mất đoạn
Bài 5 trang 8 Sách bài tập (SBT) Sinh 12 - Bài tập có lời giải
Nếu tế bào lưỡng bội bình thường có 2n NST. Sô NST có trong tế bào của những trường hợp sau là bao nhiêu?
a, Thể không d, thể ba kép
b, Thể một e, thể tứ bội
c, thể ba f, thể lục bội
Lời giải:
a, 2n - 2 d, 2n + 1 + 1
b, 2n-1 e, 4n
c, 2n+1 f, 6n
Bài 6 trang 8 Sách bài tập (SBT) Sinh 12 - Bài tập có lời giải
Những sắp xếp gen sau đây trên 1 NST đã thấy ở ruồi giấm D. melanogaster tại các vùng địa lí khác nhau:
a) ABCDEFGHI
d) ABFCGHEDI
b) HEFBAGCDI
e) ABFEHGCDI
c) ABFEDCGHI
Cho rằng sắp xếp ở a là sắp xếp ban đầu, các đảo đoạn khác nhau có thể xuất hiện theo trình tự nào?
Lời giải:
Một chuỗi các đảo đoạn có thể xuất hiện tuần tự là:

Các vùng đảo đoạn ở mỗi bước được minh hoạ như sau

Trên đây VnDoc.com đã giới thiệu tới bạn đọc tài liệu: Giải SBT Sinh học 12: Bài tập có lời giải trang 5. Để có kết quả cao hơn trong học tập, VnDoc xin giới thiệu tới các bạn học sinh tài liệu Sinh học lớp 12, Vật lý lớp 12, Hóa học lớp 12, Toán lớp 12 mà VnDoc tổng hợp và đăng tải.
Mời bạn đọc cùng tham gia nhóm Tài liệu học tập lớp 12 của VnDoc.com để có thêm tài liệu học tập nhé