31 bài tập ôn thi học sinh giỏi Toán lớp 7
31 bài tập ôn thi học sinh giỏi Toán lớp 7
Với kỳ vọng của cha mẹ, thầy cô, bạn bè trong kì thi HSG khiến các em học sinh gặp rất nhiều áp lực. Hiểu được điều đó, chúng tôi đã sưu tầm và tổng hợp nên tài liệu: 31 bài tập ôn thi học sinh giỏi Toán lớp 7 giúp các em tham khảo, ôn tập dễ dàng hơn. Hi vọng đây sẽ là tài liệu tham khảo hữu ích cho các em học sinh và quý thầy cô giáo.
Tài liệu ôn thi học sinh giỏi môn Toán lớp 7 phần hình học
100 câu hỏi ôn tập môn Toán lớp 7
Đề thi học sinh giỏi môn Toán lớp 7 trường THCS Hoằng Phụ, Thanh Hóa năm học 2016 - 2017
Dạng 1: Tỉ lệ thức:
Bài 1: Thay tỉ số giữa các số hữu tỉ bằng tỉ số giữa các số nguyên:
a) 1,5 : 2,16

Bài 2: Chỉ rõ ngoại tỉ và trung tỉ của các tỉ lệ thức sau:

c) -0,375 : 0,875 = -3,63 : 8,47
Bài 3: Các tỉ số sau đây có lập thành tỉ lệ thức không?
a) (-0,3) : 2,7 và (-1,71) : 15,39;
b) 4,86 : (-11,34) và (-9,3) : 21,6.
Bài 4: Có thể lập được tỉ lệ thức từ các số sau đây không? Nếu lập được hãy viết các tỉ lệ thức đó.
a) 1,05; 30; 42; 1,47
b) 2,2; 4,6; 3,3; 6,7
Bài 5: Lập tất cả tỉ lệ thức có thể được từ các đẳng thức sau:
a) 7. (-28) = (-49) . 4
b) 0,36 . 4,25 = 0,9 . 1,7
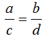
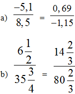
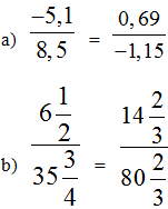
Bài 6: Lập tất cả các tỉ lệ thức có thể được từ tỉ lệ thức sau:

Bài 7: Lập tất cả các tỉ lệ thức có thể được dùng từ các số sau: 5; 25; 125; 625
Bài 8: Chứng minh rằng từ đẳng thức ad = bc (c, d ≠ 0), ta có thể suy ra được tỉ lệ thức 
Bài 9: Hãy lập tất cả các tỉ lệ thức từ bốn trong nắm số sau: 4; 16; 64; 256; 1024
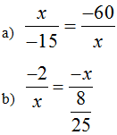
Bài 10: Tìm x, biết:

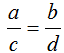
Bài 11: Tìm x trong các tỉ lệ thức sau:
