Giao diện mới của VnDoc Pro: Dễ sử dụng hơn - chỉ tập trung vào lớp bạn quan tâm. Vui lòng chọn lớp mà bạn quan tâm: Lưu và trải nghiệm
Đóng
Điểm danh hàng ngày
  • Hôm nay +3
  • Ngày 2 +3
  • Ngày 3 +3
  • Ngày 4 +3
  • Ngày 5 +3
  • Ngày 6 +3
  • Ngày 7 +5
Bạn đã điểm danh Hôm nay và nhận 3 điểm!
Nhắn tin Zalo VNDOC để nhận tư vấn mua gói Thành viên hoặc tải tài liệu Hotline hỗ trợ: 0936 120 169

Bài tập trắc nghiệm sự đồng biến và nghịch biến của hàm số

Lớp: Lớp 12
Môn: Toán
Loại File: PDF
Phân loại: Tài liệu Tính phí

Câu hỏi trắc nghiệm sự đồng biến và nghịch biến của hàm số

Tài liệu gồm 36 trang với nội dung gồm 2 phần: Phần 1. Bài toán khảo sát sự đồng biến, nghịch biến của hàm số; Phần 2. Bài toán tìm tham số để hàm số đồng biến, nghịch biến. Mời các bạn cùng tham khảo để ngày càng học tập tốt hơn môn Toán và có kết quả cao trong các kì thi. Mời các bạn cùng tham khảo chi tiết tại đây nhé.

Bài tập trắc nghiệm sự đồng biến và nghịch biến của hàm số vừa được VnDoc.com sưu tập và xin gửi tới bạn đọc cùng tham khảo. Bài viết được tổng hợp bộ câu hỏi trắc nghiệm về sự đồng biến và nghịch biến của hàm số. Bài tập trắc nghiệm có đáp án chi tiết kèm theo. Mời các bạn cùng tham khảo chi tiết và tải về tại đây nhé.

Phần 1. Bài toán khảo sát sự đồng biến, nghịch biến của hàm số.

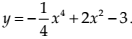
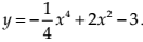
Câu 1. Cho hàm số Bài tập trắc nghiệm sự đồng biến và nghịch biến của hàm sốMệnh đề nào dưới đây đúng?

A. Hàm số nghịch biến trên khoảng (- ∞; - 1)

B. Hàm số đồng biến trên khoảng (- ∞; - 1)

C. Hàm số đồng biến trên khoảng (- ∞; + ∞)

D. Hàm số nghịch biến trên khoảng (- 1; + ∞)

Trích Đề Minh Họa 3 Năm 2017 Của Bộ Giáo Dục

Câu 2. Cho hàm số y = x3 - 6x2 + 9x - 2. Mệnh đề nào dưới đây đúng?

A. Hàm số nghịch biến trên khoảng (3; + ∞)

B. Hàm số đồng biến trên khoảng (1; 3)

C. Hàm số đồng biến trên khoảng (- ∞; + ∞)

D. Hàm số đồng biến trên khoảng (- ∞; 1)

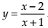
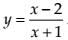
Câu 3. Cho hàm số Bài tập trắc nghiệm sự đồng biến và nghịch biến của hàm số Mệnh đề nào dưới đây đúng?

A. Hàm số nghịch biến trên khoảng (0; 2)

B. Hàm số đồng biến trên khoảng (- ∞; - 2)

C. Hàm số đồng biến trên khoảng (2; + ∞)

D. Hàm số đồng biến trên khoảng (- 2; 0)

Câu 4. Phát biểu nào sau dây sai về tính đơn điệu của hàm số?

A. Hàm số y = f(x) được gọi là đồng biến trên miền D <=> ∀x1, x2 ∈ D và x1 < x2, ta có f(x1) < f(x2)

B. Hàm số y = f(x) được gọi là đồng biến trên miền D <=> ∀x1, x2 ∈ D và x1 < x2, ta có f(x1) > f(x2)

C. Nếu f'(x) > 0, ∀x ∈ (a;b) thì hàm số f(x) đồng biến trên (a;b)

D. Hàm số f(x) đồng biến trên (a;b) khi và chỉ khi f'(x) ≥ 0; ∀x ∈ (a;b)

Câu 5. Cho hàm số y = f(x) là hàm số xác định trên khoảng (a;b). Phát biểu nào đúng?

A. Hàm số y = f(x) được gọi là đồng biến trên (a;b) khi và chỉ khi ∀x1, x2 ∈ (a;b) : x1 > x2 <=> f(x1) < f(x2)

B. Hàm số y = f(x) được gọi là nghịch biến trên (a;b) khi và chỉ khi ∀x1, x2 ∈ (a;b) : x1 > x2 <=> f(x1) > f(x2)

C. Hàm số y = f(x) được gọi là đồng biến trên (a;b) khi và chỉ khi ∀x1, x2 ∈ (a;b) : x1 < x2 <=> f(x1) < f(x2)

D. Hàm số y = f(x) được gọi là nghịch biến trên (a;b) khi và chỉ khi ∀x1, x2 ∈ (a;b) : x1 < x2 <=> f(x1) < f(x2)

Câu 6. Cho hàm số y = f(x) có đạo hàm trên khoảng (a;b). Phát biểu nào sau đây đúng?

A. Hàm số y = f(x) được gọi là đồng biến trên (a;b) khi và chỉ khi f'(x) < 0, ∀x ∈ (a;b)

B. Hàm số y = f(x) được gọi là đồng biến trên (a;b) khi và chỉ khi f'(x) ≤ 0, ∀x ∈ (a;b)

C. Hàm số y = f(x) được gọi là đồng biến trên (a;b) khi và chỉ khi f'(x) ≥ 0, ∀x ∈ (a;b)

D. Hàm số y = f(x) được gọi là đồng biến trên (a;b) khi và chỉ khi f'(x) ≥ 0, ∀x ∈ (a;b) và f'(x) = 0 tại hữu hạn giá trị x ∈ (a;b)

Câu 7. Cho hàm số y = f(x) có đạo hàm trên khoảng (a,b). Phát biểu nào sau đây đúng?

A. Hàm số y = f(x) được gọi là nghịch biến trên (a,b) khi và chỉ khi f'(x)>0, ∀x∈(a,b)

B. Hàm số y = f(x) được gọi là nghịch biến trên (a,b) khi và chỉ khi f'(x)≥0,∀x∈(a,b)

C. Hàm số y = f(x) được gọi là nghịch biến trên (a,b) khi và chỉ khi f'(x)≤0, ∀x∈(a,b)

D. Hàm số y = f(x) được gọi là nghịch biến trên (a,b) khi và chỉ khi f'(x)≤0, ∀x∈(a,b) và f'(x) = 0 tại hữu hạn giá trị x ∈ (a,b)

Tài liệu vẫn còn, mời các bạn tải về

Trên đây VnDoc.com vừa giới thiệu tới các bạn Bài tập trắc nghiệm sự đồng biến và nghịch biến của hàm số, mong rằng qua bài viết này các bạn có thể học tập tốt hơn môn Toán lớp 12. Mời các bạn cùng tham khảo thêm các môn Ngữ văn 12, tiếng Anh 12, đề thi học kì 1 lớp 12, đề thi học kì 2 lớp 12...

Mời bạn đọc cùng tham gia nhóm Tài liệu học tập lớp 12 để có thêm tài liệu học tập nhé

Chọn file muốn tải về:
Đóng Chỉ thành viên VnDoc PRO/PROPLUS tải được nội dung này!
Đóng
79.000 / tháng
Đặc quyền các gói Thành viên
PRO
Phổ biến nhất
PRO+
Tải tài liệu Cao cấp 1 Lớp
30 lượt tải tài liệu
Xem nội dung bài viết
Trải nghiệm Không quảng cáo
Làm bài trắc nghiệm không giới hạn
Mua cả năm Tiết kiệm tới 48%

Có thể bạn quan tâm

Xác thực tài khoản!

Theo Nghị định 147/2024/ND-CP, bạn cần xác thực tài khoản trước khi sử dụng tính năng này. Chúng tôi sẽ gửi mã xác thực qua SMS hoặc Zalo tới số điện thoại mà bạn nhập dưới đây:

Số điện thoại chưa đúng định dạng!
Số điện thoại này đã được xác thực!
Bạn có thể dùng Sđt này đăng nhập tại đây!
Lỗi gửi SMS, liên hệ Admin
Sắp xếp theo
🖼️

Toán 12

Xem thêm
🖼️

Gợi ý cho bạn

Xem thêm