Bộ đề thi học kì 1 lớp 2 theo Thông tư 22 Hay nhất
Bộ đề thi học kì 1 lớp 2 theo Thông tư 22 là bộ đề thi cuối học kì 1 lớp 1 mới nhất gồm môn Toán, Tiếng Việt có đáp án và bảng ma trận kèm theo chuẩn kiến thức, kỹ năng, đánh giá theo Thông tư 22 giúp các em ôn tập, hệ thống, củng cố kiến thức chuẩn bị tốt cho các bài thi học kì 1 lớp 1. Đồng thời đây cũng là tài liệu tham khảo hữu ích cho các thầy cô khi ra đề thi học kì cho các em học sinh.
Bộ đề thi học kì 1 lớp 2
Đề thi học kì 1 lớp 2 môn Toán - Đề 1
1. Ma trận Đề thi học kì 1 lớp 2 môn Toán - Đề 1


2. Đề thi học kì 1 lớp 2 môn Toán - Đề 2
| PHÒNG GD&ĐT .............. |
BÀI KIỂM TRA CUỐI HỌC KỲ I NĂM HỌC ............ MÔN: TOÁN LỚP 2 |
| TRƯỜNG TIỂU HỌC .............. | Thời gian 40 phút (không kể thời gian giao đề) |
I. PHẦN TRẮC NGHIỆM (6,0 điểm)
Khoanh vào chữ cái A, B, C trước câu trả lời đúng trong câu 1, câu 2, câu 3 sau:
Câu 1: (1,0 điểm):
a, Số liền trước số: 66 là:
A. 65
B. 66
C. 67
b, Số liền sau của số: 45 là:
A. 43
B. 44
C. 46
Câu 2: (1,0 điểm)
a, Số: 8 + 7 = ?
A. 15
B. 16
C. 17
b, Số:15 - 8 = ?
A. 10
B. 8
C. 7
Câu 3: (1,0 điểm) Một phép cộng có tổng là 30, số hạng thứ nhất là 10, số hạng thứ hai là:
A. 10
B. 20
C. 30
Câu 4: X + 16 = 20. Em hãy viết phép tính và kết quả thích hợp vào chỗ chấm:
X = 20….16
X =……….
Câu 5: (1,0 điểm): Đúng ghi (Đ), sai ghi (S)
- Em đi học lúc 7 giờ.
- Em đi học lúc 19 giờ.
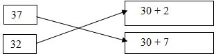
Câu 6: (1,0 điểm): Nối kết quả đúng:

II. PHẦN TỰ LUẬN (4,0 điểm)
Câu 7: (1 điểm) Đặt tính rồi tính:
47 + 25
70 – 32
Câu 8:
a. Một ngày có................ giờ?
b. 8 giờ tối hay còn gọi ............. giờ?
Câu 9: ( 1,0 điểm): Hình bên có mấy hình tam giác?

…………………………………………………
…………………………………………………
………………………………………………..
Câu 10: (1,0 điểm) Bài toán:
Hòa có 22 nhãn vở, Hòa cho bạn 9 nhãn vở. Hỏi Hòa còn lại bao nhiêu nhãn vở?
Bài giải
.....................................................................................................................
.....................................................................................................................
.....................................................................................................................
.....................................................................................................................
3. Đáp án Đề thi học kì 1 lớp 2 môn Toán - Đề 1
I. PHẦN TRẮC NGHIỆM (6,0 điểm)
Khoanh vào chữ cái A, B, C trước câu trả lời đúng trong câu 1, câu 2, câu 3 sau:
Câu 1: (1,0 điểm): a, Số liền trước số: 66 là:
65
b, Số liền sau của số: 45 là:
46
Câu 2: (1,0 điểm)
a, Số: 8 + 7 =?
là 15
b, Số: 15 - 8 =?
là 7
Câu 3: ( 1,0 điểm) Một phép cộng có tổng là 30, số hạng thứ nhất là 10, số hạng thứ hai là:
20
Câu 4: X + 16 = 20 Em hãy viết phép tính và kết quả thích hợp vào chỗ chấm:
X = 20 - 16
X = 4
Câu 5: (1,0 điểm): Đúng ghi (Đ), sai ghi (S)
- Em đi học lúc 7 giờ. Đ
- Em đi học lúc 19 giờ. S
Câu 6: (1,0 điểm): Nối kết quả đúng:

II. PHẦN TỰ LUẬN (4,0 điểm)
Câu 7: (1 điểm) Đặt tính rồi tính:
46 + 25 = 72
70 - 32 = 38
Câu 8: (1 điểm)
a. Một ngày có 24 giờ.
b. 8 giờ tối hay còn gọi 20 giờ.
Câu 9: (1,0 điểm):
Hình bên có 4 hình tam giác
Câu 10: (1,0 điểm):
Bài giải
Hòa còn lại số nhãn vở là:
22 - 9 = 13 nhãn vở
Đáp số: 13 nhãn vở
Đề thi học kì 1 lớp 2 môn Tiếng Việt - Đề 1
1. Đề thi học kì 1 lớp 2 môn Tiếng Việt - Đề 1
|
PHÒNG GD&ĐT .............. |
ĐỀ KIỂM TRA CUỐI HỌC KỲ I NĂM HỌC .......... MÔN: TIẾNG VIỆT - LỚP 2 |
|
TRƯỜNG TH .............. |
Thời gian: 35 phút (không kể thời gian giao đề) |
A. Kiểm tra đọc (10 điểm)
I. Đọc thành tiếng đoạn văn dưới (trích Bài đọc: Hai anh em (SGK Tiếng Việt 2, tập 1, trang 112) (4,0 điểm).
I . Đọc thầm và làm bài tập: (6,0 điểm) . Cho văn bản sau:
Hai anh em
Ở cánh đồng nọ, có hai anh em cày chung một đám ruộng. Ngày mùa đến, họ gặt rồi bó lúa chất thành hai đống bằng nhau, để cả ở ngoài đồng.
Đêm hôm ấy, người em nghĩ: “Anh mình còn phải nuôi vợ con. Nếu phần lúa của mình cũng bằng phần của anh thì thật không cân bằng.” Nghĩ vậy, người em ra đồng lấy lúa của mình bỏ thêm vào phần của anh.
Cũng đêm ấy, người anh bàn với vợ: “Em ta sống một mình vất vả. Nếu phần lúa của ta cũng bằng phần chú ấy thì thật không công bằng.” Thế rồi anh ra đồng lấy lúa của mình bỏ thêm vào phần của em.
Sáng hôm sau, hai anh em đều ra đồng. Họ rất đỗi ngạc nhiên khi thấy hai đống lúa vẫn bằng nhau.
Cho đến một hôm, hai anh em đều ra đồng, rình xem vì sao có sự kì lạ đó. Họ bắt gặp nhau, mỗi người đang ôm trên tay những bó lúa định bỏ thêm cho người kia. Cả hai xúc động, ôm chầm lấy nhau.
*Khoanh tròn vào chữ cái trước ý trả lời đúng ở các câu 1,2,3,4,5,6 dưới đây.
Câu 1: (0,5 điểm) Bài văn trên nói về:
A. Chia lúa
B. Tình anh em
C. Mùa gặt
Câu 2: (0,5 điểm) Việc gì xảy ra khi hai anh em cùng ra đồng vào sáng hôm sau?
A. Hai đống lúa không còn nữa.
B. Một đống lúa to, một đống lúa bé.
C. Hai đống lúa vẫn bằng nhau.
Câu 3: (0,5 điểm) Người em nghĩ như thế nào?
A. Anh còn vất vả giống mình.
B. Anh mình vất vả nuôi vợ con.
C. Anh mình còn phải nuôi vợ con.
Câu 4: (0,5 điểm) Người anh nghĩ như thế nào?
A. Em ta sống một mình rất tốt.
B. Em ta sống một mình vất vả.
C. Em ta sống một mình sung sướng.
Câu 5: (0,5 điểm) Dòng nào dưới đây chỉ việc làm của người em?
A. Ra đồng rình xem.
B. Lấy lúa của mình bỏ thêm vào phần của anh.
C. Gặt lúa rồi bó lúa
Câu 6: (0,5 điểm) “Anh của mình còn phải nuôi vợ con” là câu theo kiểu:
A. Ai? Làm gì?
B. Cái gì? Thế nào?
C. Con gì? Thế nào?
Câu 7: (1,0 điểm) Em hãy đặt một câu theo kiểu câu: Ai? Làm gì?
….……………………………………………………………………….
Câu 8: (1,0 điểm) Tác giả cho ta thấy được ý nghĩa của hai anh em khi gặp nhau trên cánh đồng như thế nào?
….……………………………………………………………………….
….……………………………………………………………………….
….……………………………………………………………………….
Câu 9: (1,0 điểm) Theo em vì sao tác giả lại kể về việc làm của hai anh em?
B. KIỂM TRA VIẾT: (10 điểm)
1, Chính tả (4,0 điểm): (Nghe – viết) Thời gian 15 phút
Hai anh em
Đêm hôm ấy, người em nghĩ: “Anh mình còn phải nuôi vợ con. Nếu phần lúa của mình cũng bằng phần của anh thì thật không cân bằng.” Nghĩ vậy, người em ra đồng lấy lúa của mình bỏ thêm vào phần của anh.
2, Tập làm văn (6,0 điểm ): Thời gian 25 phút
Đề bài: Viết một đoạn văn ngắn (khoảng 4 đến 5 câu) kể về một người mà em yêu quý nhất.
Gợi ý: Người em kể tên là gì? Làm gì? Ở đâu? Tình cảm đối với em như thế nào?
...............................................................................................................................
...............................................................................................................................
...............................................................................................................................
...............................................................................................................................
...............................................................................................................................
2. Ma trận Đề thi học kì 1 lớp 2 môn Tiếng Việt

3. Đáp án Đề thi học kì 1 lớp 2 môn Tiếng Việt
A. Phần hiểu văn bản
Câu 1: (0,5 điểm) Bài văn trên nói về:
B. Tình anh em
Câu 2: (0,5 điểm) Việc gì xảy ra khi hai anh em cùng ra đồng vào sáng hôm sau?
C. Hai đống lúa vẫn bằng nhau.
Câu 3: (0,5 điểm) Người em nghĩ như thế nào?
C. Anh mình còn phải nuôi vợ con.
Câu 4: (0,5 điểm) Người anh nghĩ như thế nào?
B. Em ta sống một mình vất vả.
Câu 5: (0,5 điểm) Dòng nào dưới đây chỉ việc làm của người em?
B. Lấy lúa của mình bỏ thêm vào phần của anh.
Câu 6: (0,5 điểm) “Anh của mình còn phải nuôi vợ con” là câu theo kiểu:
A. Ai? Làm gì?
Câu 7: (1,0 điểm) Em hãy đặt một câu theo kiểu câu: Ai? Làm gì?
Ví dụ:
1, Học sinh đi lao động
2, Lớp 2A trực tuần
Câu 8: (1,0 điểm) Tác giả cho ta thấy được ý nghĩa của hai anh em khi gặp nhau trên cánh đồng như thế nào?
Cả hai xúc động, ôm chầm lấy nhau
Câu 9: (1,0 điểm) Theo em vì sao tác giả lại kể về việc làm của hai anh em?
Nói lên tình cảm anh em phải biết nhường nhịn, yêu thương nhau.
B. Phần viết
1. Chính tả: (4,0 điểm) Giáo viên đọc cho học sinh viết bài:
Hai anh em
Đêm hôm ấy, người em nghĩ: “Anh mình còn phải nuôi vợ con. Nếu phần lúa của mình cũng bằng phần của anh thì thật không cân bằng.” Nghĩ vậy, người em ra đồng lấy lúa của mình bỏ thêm vào phần của anh.
* Đánh giá cho điểm:
- Bài viết không mắc lỗi chính tả, chữ viết rõ ràng trình bày đúng đoạn văn xuôi: 4,0 điểm
- Mỗi lỗi chính tả trong bài viết (sai - lẫn phụ âm đầu hoặc vần thanh; không viết hoa đúng quy định), trừ 0,5 điểm.
* Lưu ý: nếu chữ viết không rõ ràng, sai về độ cao, khoảng cách, kiểu chữ hoặc trình bày bẩn,... bị trừ 0,5 điểm toàn bài.
2. Tập làm văn: (6,0 điểm)
- Đảm bảo các yêu cầu sau:
+ Viết được đoạn văn kể về một người mà em yêu quý nhất, khoảng 4-5 câu trở lên.
+ Viết câu đúng ngữ pháp, dùng từ đúng.
+ Chữ viết rõ ràng, không mắc lỗi chính tả. Trình bày bài viết sạch sẽ. - Tuỳ theo mức độ sai sót về ý, về cách diễn đạt, chữ viết có thể cho các mức điểm: 6,0; 5,5; 4,0; 3,5; 3,0; 2,5; 2,0; 1,5; 1,0; 0,5; 0.
Tham khảo:
Mẫu 1:
Ông ngoại của em năm nay sáu mươi hai tuổi. Ông làm nghề thợ điện, giờ đã nghỉ hưu. Trước đây, hàng ngày, ông cùng các chú công nhân khác phải trèo lên những cột điện cao để sửa chữa đường dây điện, lắp đặt công tơ. Ông em rất dũng cảm. Nhờ có ông mà những người dân có điện để thắp sáng và ông còn kiếm được tiền để mua quần áo mới, sách vở thưởng cho em mỗi khi em được học sinh giỏi. Em rất yêu quý và tự hào về ông.
Mẫu 2:
Trong gia đình, người em luôn kính trọng và tin yêu nhất là bố. Bố em năm nay ngoài ba mươi tuổi. Bố là bộ đội, cũng là kỹ sư giỏi. Mái tóc đen nhánh của bố luôn được cắt gọn gàng. Bố thường mặc những chiếc áo phông trông rất trẻ trung. Những lúc mặc quân phục, trông bố rất oai phong, Bố em là người tận tụy trong công việc. Nhìn những cây cầu mới được dựng lên, em càng thấy hiểu về công việc của bố và càng tự hào về bố hơn. Mặc dù công việc bận rộn nhưng bố vẫn luôn chăm lo cho gia đình. Không chỉ giúp mẹ việc nhà, bố còn dạy em học mỗi tối. Bố đúng là người bố tuyệt vời của em.
Đề thi học kì 1 lớp 2 môn Toán - Đề 2
1. Ma trận Đề thi học kì 1 lớp 2 môn Toán
|
Chủ đề |
Mức 1 (Nhận biết) |
Mức 2 (Thông hiểu) |
Mức 3 (Vận dụng) |
Mức 4 (Vận dụng nâng cao) |
Tổng |
|||||
|
TN |
TL |
TN |
TL |
TN |
TL |
TN |
TL |
|||
|
1. Số học |
Số câu |
3 |
1 |
2 |
2 |
08 |
||||
|
Số điểm |
1.5 |
1 |
3 |
3 |
||||||
|
Tỉ lệ % |
15% |
10% |
30% |
30% |
||||||
|
2. Hình học |
Số câu |
1 |
1 |
|||||||
|
Số điểm |
0.5 |
1 |
||||||||
|
Tỉ lệ % |
5% |
10% |
||||||||
|
Tổng số câu |
4 |
1 |
2 |
2 |
1 |
|||||
|
4 |
3 |
2 |
1 |
10 |
||||||
|
Tổng số điểm |
2 |
4 |
3 |
1 |
10 |
|||||
|
Tỉ lệ % |
20% |
10% |
30% |
10% |
100% |
|||||
|
PHÒNG GD&ĐT …………………… Trường Tiểu học: ..................................... Họ và tên:……………………………….. Phân trường:…………………………….. |
KIỂM TRA CUỐI HỌC KÌ I NĂM HỌC 2018 - 2019 Môn: Toán lớp 2 Thời gian: 60 phút |
2. Đề thi học kì 1 lớp 2 môn Toán
|
Điểm .................................. |
Lời nhận xét của giáo viên ............................................................. ............................................................. |
Phần I: Trắc nghiệm:
Khoanh vào chữ cái ghi trước đáp án đúng nhất:
Câu 1: Số liền trước của 88 là:
A. 85 B. 86 C. 87 D. 89
Câu 2: Phép tính nào dưới đây có kết quả bé hơn 7
A. 13 - 7 B. 13 - 6 C. 13 - 5 D. 13 - 4
Câu 3: “Năm mươi lăm đề - xi – mét” viết là:
A. 35 cm B. 35dm C. 55 cm D. 55 dm
Câu 4: Thứ năm tuần này là ngày 20 tháng 12, vậy thứ năm tuần sau là ngày nào?
A. Ngày 26 B. Ngày 27 C. Ngày 28 D. Ngày 29
Câu 5: Nêu tên ba điểm thẳng hàng:
Cho các điểm sau:

A. Ba điểm A, O, D là ba điểm thẳng hàng
B. Ba điểm A, O, C là ba điểm thẳng hàng
C. Ba điểm C, O, D là ba điểm thẳng hàng
D. Ba điểm B, O, D là ba điểm thẳng hàng
II. Phần tự luận: Hoàn thành các bài tập sau:
Câu 6: Đặt tính rồi tính:
a, 56 + 23 b, 8 + 56 c, 89 - 24 d, 100 - 64
…………………………………………………………………………………………
…………………………………………………………………………………………
…………………………………………………………………………………………
Câu 7: Tìm x:
a) 45 + x = 71 b) 90 – x = 37
…………………………………………………………………………………………
…………………………………………………………………………………………
…………………………………………………………………………………………
Câu 8: Trong phòng họp có 84 cái ghế, người ta mang ra khỏi phòng 18 cái ghế. Hỏi trong phòng họp đó còn bao nhiêu cái ghế?
Bài giải:
…………………………………………………………………………………………
…………………………………………………………………………………………
…………………………………………………………………………………………
Câu 9: Điền dấu > < =
30 - 10 ........ 10 35 + 5 ......... 38
60 + 20 .........79 9 + 51 ........70
Câu 10: Kẻ thêm một đoạn thẳng trong hình sau để được ba hình tứ giác.

3. Đáp án Đề thi học kì 1 lớp 2 môn Toán
I. Trắc nghiệm:
Câu 1: Số liền trước của 88 là: (M1 – 0.5đ)
C. 87
Câu 2: Phép tính nào dưới đây có kết quả bé hơn 7 (M1 – 0.5đ)
A. 13 - 7
Câu 3: “Năm mươi lăm đề - xi – mét” viết là: (M1 – 0.5đ)
D. 55 dm
Câu 4: Thứ năm tuần này là ngày 20 tháng 12, vậy thứ năm tuần sau là ngày nào? (M2 – 1đ)
B. Ngày 27
Câu 5: Nêu tên ba điểm thẳng hàng: (M1 – 0.5đ)
A. Ba điểm A, O, D là ba điểm thẳng hàng
II. Tự luận:
Câu 6: Đặt tính rồi tính: (M2 - 2đ)

Câu 7: Tìm x: (M3 – 1đ)
a) 45 + x = 71 b) 90 – x = 37
x = 71 – 45 x = 90 - 37
x = 26 x = 53
Câu 8: HS giải đúng bài toán có lời văn. (M3 – 2đ)
Bài giải:
Trong phòng họp đó còn số cái ghế là: (0, 5 điểm)
84 - 18 = 66 (cái ghế) (1 điểm)
Đáp số: 66 cái ghế (0, 5 điểm)
Câu 9: Câu 9: Điền dấu > < = (M2 – 1đ)
30 - 10 > 10 35 + 3 = 38
60 + 20 > 79 9 + 51 < 70
Câu 10: Kẻ thêm một đoạn thẳng trong hình sau để được ba hình tứ giác
(M4 – 1đ)

(HS có thể kẻ theo cách khác để được hình có ba hình tứ giác.
Đề thi học kì 1 lớp 2 môn Toán - Đề 3
1. Đề thi học kì 1 lớp 2 môn Toán
Câu 1: Nối phép tính với kết quả đúng: (1 điểm)

Câu 2: Xem tờ lịch tháng 9 rồi chọn từ trong ngoặc điền vào chỗ chấm: (1 điểm)
|
Thứ hai |
Thứ ba |
Thứ tư |
Thứ năm |
Thứ sáu |
Thứ bảy |
Chủ nhật |
|
|
9 |
1 |
2 |
3 |
4 |
5 |
6 |
|
|
7 |
8 |
9 |
10 |
11 |
12 |
13 |
|
|
14 |
15 |
16 |
17 |
18 |
19 |
20 |
|
|
21 |
22 |
23 |
24 |
25 |
26 |
27 |
|
|
28 |
29 |
30 |
(tư, năm, sáu, bảy)
Ngày 5 tháng 9 là thứ …..
Câu 3: Tính (1 điểm)
18kg – 9kg = 52l – 4l =
37 + 5 = 64cm + 8cm =
Câu 4: Điền dấu <, >, = vào chỗ chấm: (1 điểm)
35 + 15 .... 80 – 10 - 15
Câu 5: Quan sát hình rồi khoanh vào đáp án đúng: (1 điểm)
Trong hình vẽ trên có mấy hình tam giác?

A. 2 hình B. 3 hình C. 4 hình D. 5 hình
Câu 6: Đặt tính rồi tính: (1 điểm)
24 + 16 37 + 55 97 – 9 51 – 28
Câu 7. Điền Đ hoặc S vào ô trống: (1 điểm)
A. 100 – 80 = 20 □
B. 10 + 5 – 7 = 9 □
C. 30 + 20 = 50 □
D. 12 – 4 – 2 = 7 □
Câu 8: Tìm x: (1 điểm)
a, x + 48 = 63 b, x – 24 = 16
Câu 9: Nhà chú Ba nuôi 100 con gà. Nhà cô Tư nuôi ít hơn nhà chú Ba 17 con gà. Hỏi nhà cô Tư nuôi bao nhiêu con gà? (1 điểm)
Bài giải:
……………………………………………………………………………
……………………………………………………………………………
……………………………………………………………………………
Câu 10. Em hãy tính hiệu của số nhỏ nhất có hai chữ số và số lớn nhất có một chữ số. (1 điểm)
………………………………………………………………………………...
…………………………………………………………………………………
…………………………………………………………………………………
2. Đáp án Đề thi học kì 1 lớp 2 môn Toán
Câu 1. (1 điểm: mỗi phép tính nối đúng 0,25 điểm)

Câu 2. (1 điểm)
Ngày 5 tháng 9 là thứ bảy.
Câu 3: (1 điểm: mỗi phép tính đúng 0,25 điểm)
18 kg – 9kg = 9kg 52l – 4l = 48l
37 + 5 = 43 64cm + 8cm = 72cm
Câu 4. (1 điểm) >
Câu 5. ( 1 điểm) B
Câu 6. (1 điểm: mỗi phép tính đúng 0,25 điểm)

Câu 7. (1 điểm: mỗi ý đúng 0,25 điểm)
A- Đ; B-S; C- Đ; D - S
Câu 8. (1 điểm: mỗi câu đúng 0,5điểm)
a, x + 48 = 63
x = 63 – 48
x = 15
b, x – 24 = 16
x = 16 + 24
x = 40
Câu 9. (1 điểm)
Bài giải:
Số con gà nhà cô Tư nuôi là: (0,25 điểm)
100 – 17 = 83 (con gà) (0,5 điểm)
Đáp số: 83 con gà. (0,25 điểm)
Câu 10. (1 điểm)
Số nhỏ nhất có hai chữ số là: 10 (0,25 điểm)
Số lớn nhất có một chữ số là: 9 (0,25 điểm)
Hiệu là: 10 – 9 = 1 (0,5 điểm)
3. Ma trận Đề thi học kì 1 lớp 2 môn Toán
|
Mạch kiến thức |
Mức 1 |
Mức 2 |
Mức 3 |
Mức 4 |
Tổng |
|||||
|
TN |
TL |
TN |
TL |
TN |
TL |
TN |
TL |
|||
|
1. Số học: - Các dạng phép tính cộng, trừ (có nhớ) trong phạm vi 100. |
Số câu |
1 |
1 |
1 |
1 |
1 |
1 |
1 |
7 |
|
|
Câu số |
1 |
3 |
4 |
6 |
7 |
8 |
10 |
7 |
||
|
Số điểm |
1 |
1 |
1 |
1 |
1 |
1 |
1 |
7 |
||
|
2. Các đơn vị đo thời gian: - Ngày, tháng, giờ. |
Số câu |
1 |
1 |
|||||||
|
Câu số |
2 |
1 |
||||||||
|
Số điểm |
1 |
1 |
||||||||
|
3. Hình học: - Nhận diện hình chữ nhật, hình tứ giác, đường thẳng. |
Số câu |
1 |
1 |
|||||||
|
Câu số |
5 |
1 |
||||||||
|
Số điểm |
1 |
1 |
||||||||
|
4. Giải các bài toán có lời văn: - Giải và trình bày lời giải các bài toán bằng 1 phép tính cộng, trừ hoặc BT về ít hơn, nhiều hơn. |
Số câu |
1 |
1 |
|||||||
|
Câu số |
9 |
1 |
||||||||
|
Số điểm |
1 |
1 |
||||||||
|
Tổng số câu |
03 |
03 |
03 |
01 |
10 |
|||||
|
Tổng số điểm |
03 |
03 |
03 |
01 |
10 |
|||||
Ngoài Bộ đề thi học kì 1 lớp 2 theo Thông tư 22, các bạn tham khảo luyện tập, củng cố các dạng bài tập Toán 2 và Tiếng Việt lớp 2 để chuẩn bị cho bài thi cuối học kì 1 lớp 2 được VnDoc sưu tầm, chọn lọc chi tiết và liên tục cập nhật cho các thầy cô, các bậc phụ huynh cho con em mình ôn tập.
Đề cương ôn thi học kì 1 lớp 2 Sách mới
- Đề cương ôn tập học kì 1 lớp 2 môn Toán năm 2021-2022 sách Kết nối
- Đề cương ôn tập học kì 1 lớp 2 (Sách mới)
- Đề cương ôn tập học kì 1 môn Toán lớp 2 (Sách mới)
- Đề cương ôn tập học kì 1 môn Tiếng Việt lớp 2 (Sách mới)
Đề thi học kì 1 lớp 2 Tải nhiều
- 40 đề thi học kì 1 lớp 2 môn Toán Hay chọn lọc (Sách mới)
- Bộ 148 đề thi học kì 1 môn Toán lớp 2
- 20 đề thi học kì 1 môn Tiếng Việt lớp 2 có đáp án Tải nhiều
- Đề thi học kỳ 1 môn tiếng Anh lớp 2 có đáp án
- 58 đề ôn tập học kì 1 môn Toán lớp 2 Tải nhiều
- Bộ đề thi học kì 1 lớp 2 môn Toán năm 2021-2022 theo Thông tư 27 (Sách mới)
- Bộ đề thi học kì 1 lớp 2 môn Tiếng Việt năm 2021-2022 theo Thông tư 27 (Sách mới)
Đề thi học kì 1 lớp 2 sách Cánh Diều theo Thông tư 27
Đề thi học kì 1 lớp 2 môn Tiếng Việt năm 2021-2022
- Đề thi học kì 1 lớp 2 môn Tiếng Việt năm 2021-2022 sách Cánh Diều - Đề 1
- Đề thi học kì 1 lớp 2 môn Tiếng Việt năm 2021-2022 sách Cánh Diều - Đề 2
- Đề thi học kì 1 lớp 2 môn Tiếng Việt năm 2021-2022 sách Cánh Diều - Đề 3
- Bộ đề thi học kì 1 lớp 2 môn Tiếng Việt năm 2021-2022 sách Cánh Diều
Đề thi học kì 1 lớp 2 môn Toán năm 2021-2022
- Đề thi học kì 1 lớp 2 môn Toán năm 2021-2022 sách Cánh Diều - Đề 1
- Đề thi học kì 1 lớp 2 môn Toán năm 2021-2022 sách Cánh Diều - Đề 2
- Đề thi học kì 1 lớp 2 môn Toán năm 2021-2022 sách Cánh Diều - Đề 3
- Bộ đề thi học kì 1 lớp 2 môn Toán năm 2021-2022 sách Cánh Diều
Đề thi học kì 1 lớp 2 môn Tiếng Anh năm 2021-2022
- Đề thi Tiếng Anh lớp 2 học kỳ 1 sách Cánh Diều
Đề thi học kì 1 lớp 2 sách Kết nối tri thức theo Thông tư 27
Đề thi học kì 1 lớp 2 năm 2021 - 2022 môn Toán
- Đề thi học kì 1 lớp 2 môn Toán năm 2021-2022 theo Thông tư 27 sách Kết nối - Đề 1
- Đề thi học kì 1 lớp 2 môn Toán năm 2021-2022 theo Thông tư 27 sách Kết nối - Đề 2
- Đề thi học kì 1 lớp 2 môn Toán năm 2021-2022 theo Thông tư 27 sách Kết nối - Đề 3
- Đề thi học kì 1 lớp 2 môn Toán năm 2021-2022 theo Thông tư 27 sách Kết nối - Đề 4
- Đề thi học kì 1 lớp 2 môn Toán năm 2021-2022 theo Thông tư 27 sách Kết nối - Đề 5
- Bộ đề thi học kì 1 lớp 2 môn Toán năm 2021-2022 theo Thông tư 27 sách Kết nối
Đề thi học kì 1 lớp 2 năm 2021 - 2022 môn Tiếng Việt
- Đề thi học kì 1 lớp 2 môn Tiếng Việt năm 2021-2022 theo Thông tư 27 sách Kết nối - Đề 1
- Đề thi học kì 1 lớp 2 môn Tiếng Việt năm 2021-2022 theo Thông tư 27 sách Kết nối - Đề 2
- Đề thi học kì 1 lớp 2 môn Tiếng Việt năm 2021-2022 theo Thông tư 27 sách Kết nối - Đề 3
- Đề thi học kì 1 lớp 2 môn Tiếng Việt năm 2021-2022 theo Thông tư 27 sách Kết nối - Đề 4
- Đề thi học kì 1 lớp 2 môn Tiếng Việt năm 2021-2022 theo Thông tư 27 sách Kết nối - Đề 5
- Bộ đề thi học kì 1 lớp 2 môn Tiếng Việt năm 2021-2022 theo Thông tư 27 sách Kết nối
Đề thi học kì 1 lớp 2 năm 2021 - 2022 môn Tiếng Anh
- Đề thi Tiếng Anh lớp 2 học kì 1 sách Kết nối tri thức - Đề 1
- Đề thi Tiếng Anh lớp 2 học kì 1 sách Kết nối tri thức - Đề 2
Đề thi học kì 1 lớp 2 sách Chân trời sáng tạo theo Thông tư 27
Đề thi học kì 1 lớp 2 môn Toán sách Chân trời sáng tạo
- Đề thi học kì 1 lớp 2 môn Toán năm 2021-2022 sách Chân trời - Đề 1
- Đề thi học kì 1 lớp 2 môn Toán năm 2021-2022 sách Chân trời - Đề 2
- Đề thi học kì 1 lớp 2 môn Toán năm 2021-2022 sách Chân trời - Đề 3
- Bộ đề thi học kì 1 lớp 2 môn Toán năm 2021-2022 sách Chân trời
Đề thi học kì 1 lớp 2 môn Tiếng Việt sách Chân trời sáng tạo
- Đề thi học kì 1 lớp 2 môn Tiếng Việt năm 2021-2022 sách Chân trời - Đề 1
- Đề thi học kì 1 lớp 2 môn Tiếng Việt năm 2021-2022 sách Chân trời - Đề 2
- Đề thi học kì 1 lớp 2 môn Tiếng Việt năm 2021-2022 sách Chân trời - Đề 3
- Bộ đề thi học kì 1 lớp 2 môn Tiếng Việt năm 2021-2022 sách Chân trời
Đề thi học kì 1 lớp 2 môn Tiếng Anh sách Chân trời sáng tạo
- Đề thi Tiếng Anh lớp 2 học kì 1 sách Chân trời sáng tạo
Bộ đề thi học kì 1 lớp 2 năm học 2021-2022 theo Thông tư 27
- Đề thi cuối kì 1 lớp 2 môn Toán, Tiếng Việt theo Thông tư 27 sách Cánh Diều
- Bộ đề thi học kì 1 lớp 2 năm 2021-2022 sách Cánh Diều (Các môn)
- Bộ đề thi học kì 1 lớp 2 năm 2021-2022 theo Thông tư 27 sách Kết nối
- Bộ đề thi học kì 1 lớp 2 năm 2021-2022 sách Kết nối tri thức (các môn)
- Bộ đề thi học kì 1 lớp 2 năm 2021 - 2022 sách Chân trời sáng tạo (Các môn)
- Bộ đề thi học kì 1 lớp 2 năm học 2021-2022 (Sách mới)