Bộ đề thi học kì 2 lớp 1 theo Thông tư 27
Bộ đề thi học kì 2 lớp 1 theo Thông tư 27 được VnDoc sưu tầm, tổng hợp trọn bộ 3 môn Toán, Tiếng Việt, Tiếng Anh có đáp án kèm theo. Các đề thi học kì 2 lớp 1 này sẽ giúp các em ôn tập, hệ thống, củng cố kiến thức chuẩn bị tốt cho các bài thi học kì 2. Đồng thời đây cũng là tài liệu tham khảo hữu ích cho các thầy cô khi ra đề thi học kì 2 chuẩn các mức cho các em học sinh. Sau đây mời thầy cô cùng các bạn học sinh tham khảo và tải về trọn bộ đề thi, đáp án.
Bộ đề thi học kì 2 lớp 1 theo Thông tư 27:
I. Bộ đề thi học kì 2 lớp 1 theo thông tư 27
1. Đề thi học kì 2 môn Toán lớp 1
Thời gian làm bài: 35 phút (Không kể thời gian giao đề)
Câu 1: Đọc là tờ lịch ngày hôm nay (0.5 điểm) (M1)

A. Thứ sáu, ngày 11
B. Thứ ba, ngày 11
C. Thứ tư, ngày 11
Câu 2: Viết số còn thiếu vào ô trống. (1.0 điểm) (M1)
a)
|
10 |
11 |
|
|
14 |
|
16 |
|
|
19 |
b)
|
10 |
20 |
|
40 |
|
|
70 |
|
|
100 |
Câu 3: Khoanh vào chữ cái đặt trước kết quả đúng: (1 điểm) (M1)
a. ☐ + 4 = 14 (0,5 điểm )
A. 10
B. 18
C. 20
D. 30
b. 88 ☐ 89 (0,5 điểm)
A. >
B. <
C. =
Câu 4: Đúng ghi Đ, sai ghi S vào ô trống. (1.0 điểm) (M2)
16 + 1 = 17 ☐
20 + 30 = 50 ☐
42 - 1 = 43 ☐
84 – 4 = 80 ☐
Câu 5: 20 + 40 – 30 = ? (0.5 điểm) (M3)
A. 20
B. 30
C. 40
Câu 6: Tính: (1.5 điểm) (M1)
10 + 10 = .........
50 – 20 = .........
9 – 5 + 2 = ...........
90 – 50 + 20 = ...........
Câu 7: Đặt tính rồi tính: (2.0 điểm) (M2)
|
11 + 45 90 – 20 |
22 + 5 36 – 10 |
Câu 8: (0,5 điểm) (M2)

Hình trên có...........hình tam giác
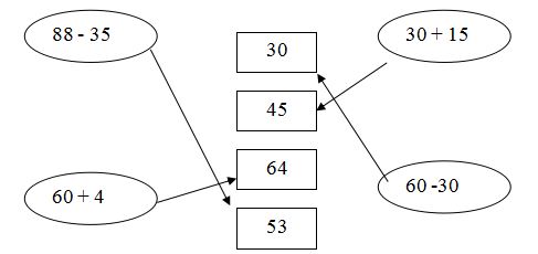
Câu 9: Nối đồng hồ với số chỉ giờ đúng. (1.0 điểm) (M1)

Câu 10: Mẹ có 50 quả cam. Mẹ cho bà 30 quả cam. Hỏi mẹ còn lại bao nhiêu quà cam. (1.0 điểm) (M3)
Viết phép tính:
|
|
|
|
Viết câu trả lời:
Mẹ còn lại ☐ quả cam.
Đáp án đề thi học kì 2 môn Toán lớp 1
Câu 1: (0,5 điểm) Khoanh đúng đáp án 0.5 điểm
Câu 2: (1.0 điểm) Viết đúng mỗi câu ghi 0.5 điểm
Câu 3: (1.0 điểm) Câu a: Khoanh đúng ghi 0.5 điểm
Câu b: Khoanh đúng ghi 0.5 điểm
Câu 4: (1.0 điểm) Điền đúng 1 bài ghi 0.25 điểm
Câu 5: (0,5 điểm) Khoanh đúng ghi 0.5 điểm
Câu 6: (1.5 điểm) Đúng mỗi bài 1 phép tính ghi 0.25 điểm
Đúng mỗi bài 2 phép tính ghi 0.5 điểm
Câu 7: (2.0 điểm ) Đúng mỗi bài ghi 0.5 điểm
Câu 8: (0,5 điểm) Đếm đúng 4 hình tam giác ghi 0.5 điểm
Câu 9: (1.0 điểm) Đúng mỗi câu ghi 0.5 điểm
Câu 10: (1.0 điểm) - Viết đúng phép tính 0.5 điểm
Tính đúng kết quả 0.5 điểm
2. Đề thi học kì 2 môn Tiếng Việt lớp 1
PHẦN I. KIỂM TRA ĐỌC (10 điểm):
1. Đọc thành tiếng. (6 điểm):
Cho HS bắt thăm đọc 1 trong 5 đoạn văn, thơ và trả lời câu hỏi
2. Đọc hiểu (4 điểm)
Bạn của Nai Nhỏ
Nai Nhỏ xin cha cho đi chơi xa cùng bạn.
Biết bạn của con khỏe mạnh, thông minh và nhanh nhẹn, cha Nai Nhỏ vẫn lo.
Khi biết bạn của con dám liều mình cứu người khác, cha Nai Nhỏ mới yên lòng cho con đi chơi với bạn.
Câu 1. (1 điểm): Trong bài Bạn của Nai Nhỏ có mấy câu? (Mức 1)
A. 3 câu
B. 5 câu
C. 4 câu
Câu 2: (1.0 điểm) Bài đọc kể về bạn của ai? (Mức 1)
A. Bạn của mẹ Nai Nhỏ
B. Bạn của Nai Nhỏ
C. Bạn của cha Nai Nhỏ
Câu 3. (1 điểm) Khi biết điều gì thì cha của Nai Nhỏ liền đồng ý cho con đi chơi với bạn? (Mức 2)
A. Khi biết bạn của Nai Nhỏ dám liều mình cứu người khác.
B. Khi biết bạn của Nai Nhỏ có rất nhiều bạn bè.
C. Khi biết bạn của Nai Nhỏ dám một mình bơi qua sông.
Câu 4. (1 điểm): Em hãy kể tên 4 con vật mà em biết? (Mức 2)
...................................................................................................................
...................................................................................................................
...................................................................................................................
PHẦN II. KIỂM TRA VIẾT (10 điểm)
I. CHÍNH TẢ (Nghe – viết): (6.0 điểm) 15 phút.
...................................................................................................................
...................................................................................................................
...................................................................................................................
II. BÀI TẬP: (4 điểm): 15 phút
Bài 1. (1 điểm) Em hãy điền vào chỗ trống chữ c hoặc k (Mức 1)


Bài 2. (1 điểm): Điền vào chỗ in nghiêng dấu hỏi hoặc dấu ngã (Mức 2)
nghi hè cưa sổ bé ve tranh chim go kiến
Bài 3. (1 điểm): Nối ô chữ ở cột A sang cột B cho phù hợp? (Mức 3)

Bài 4. (1 điểm) Em hãy viết 1 câu phù hợp với tranh sau:

...................................................................................................................
...................................................................................................................
...................................................................................................................
Đáp án đề thi học kì 2 môn Tiếng Việt lớp 1
PHẦN I. KIỂM TRA ĐỌC (10 điểm):
1. Đọc thành tiếng (6 điểm):
- GV làm phiếu cho HS bốc thăm và đọc các bài học đã học.
- Thao tác đọc đúng: tư thế, cách đặt sách vở, cách đưa mắt đọc, phát âm rõ các âm vần khó cần phân biệt: 1 điểm
- Đọc trơn, đúng tiếng từ, cụm từ, câu ( không đọc sai quá 10 tiếng): 1 điểm
- Âm lượng đọc vừa đủ nghe: 1 điểm
- Tốc độ đọc đạt yêu cầu ( 40 tiếng / phút): 1 điểm
- Ngắt nghỉ hơi đúng dấu câu: 1 điểm
- Trả lời đúng câu hỏi về nội dung đoạn đọc: 1 điểm
2. Đọc hiểu (4 điểm):
Câu 1: (1 điểm): A
Câu 2: (1 điểm): B
Câu 3: (1 điểm): A
Câu 4: (1điểm): HS kể đúng tên 1 con vật được 0,25 điểm.
PHẦN II: VIẾT (10 điểm)
1. Chính tả. (6 điểm):
- Tốc độ đạt yêu cầu: 2 điểm
- Chữ viết rõ ràng, viết đúng kiểu chữ thường, cỡ nhỏ: 1 điểm
- Viết đúng chính tả ( không mắc quá 5 lỗi): 2 điểm
- Trình bày đúng quy định, viết sạch đẹp: 1 điểm
2. Bài tập. (4 điểm):
Bài 1. 1 điểm (Điền đúng mỗi chỗ được 0,25 điểm)
Bài 2. 1 điểm (Điền đúng mỗi chỗ được 0,25 điểm)
Bài 3. 1 điểm (Điền đúng mỗi chỗ được 0,25 điểm)
Bài 4. 1 điểm HS viết được câu phù hợp với tranh
3. Đề thi học kì 2 môn Tiếng Anh lớp 1
I/ Look at the pictures and complete the words
![]() |
|
|
|
1. T _ u _ k |
2. _ r _ s _ r |
3. _ e _ t |
|
|
|
|
|
4. _ i t _ h _ n |
5. _ a l l _ _ n |
6. _ i _ e |
II/ Read and color
|
1. |
The ball is blue |
|
2. |
It is a black and white ball |
|
3. |
There is a yellow ball |
III/ Look at the picture and answer the questions
|
1. |
What is it? It’s a _____________ |
|
2. |
Is it a doll? __________________ |
|
3. |
Is it a car? __________________ |
|
4. |
How many crayons? __________________ |
|
5. |
Where is your mother? __________________ |
Đáp án đề thi Tiếng Anh lớp 1 học kì 2
I/ Look at the pictures and complete the words
|
1. truck |
2. eraser |
3. feet |
|
4. kitchen |
5. balloon |
6. kite |
II/ Read and color
Hướng dẫn: Đọc và tô màu quả bóng theo nội dung từng câu
1. Quả bóng này màu xanh da trời
2. Nó là một quả bóng màu trắng và đen
3. Có một quả bóng màu vàng
III/ Look at the picture and answer the questions
1. It is a desk
2. No, is isn’t
3. Yes, it is
4. Six
5. In the living room
II. Bộ đề ôn thi học kì 2 lớp 1
1. Đề thi học kì 2 môn Toán lớp 1
Đề 1
A. Trắc nghiệm
Hãy khoanh tròn vào chữ cái đặt trước kết quả đúng:
1. Số liền sau của số 19 là:
A. 18
B. 20
C. 10
D. 11
2. Số lớn nhất có hai chữ số là:
A. 9
B. 90
C. 99
D. 10
3. Số 55 đọc là:
A. Năm mươi lăm
B. Năm lăm
C. Năm mươi năm.
4. Kết quả của phép tính: 24 + 4 - 4 là:
A. 27
B. 28
C. 24
D. 20
5. Số “Ba mươi tám” viết là:
A. 38
B. 8 và 3
C. 83
D. 3 và 8.
6. Số lớn nhất có một chữ số cộng với số bé nhất có hai chữ số bằng:
A. 19
B. 10
C. 99
D. 29
7. Dấu điền vào chỗ chấm của 47 ……. 40 + 7 là:
A. >
B. <
C. =
8. Một tuần lễ + 2 ngày, vậy tổng có mấy ngày:
A. 5 ngày
B. 6 ngày
C. 9 ngày
D. 24 ngày
9. Tổ em có 19 bạn, trong đó có 5 bạn nữ, hỏi tổ em có mấy bạn nam?
A. 14 bạn
B. 24 bạn
C. 19 bạn
10. Lớp em có 21 bạn gái và 14 bạn trai. Hỏi lớp em có tất cả bao nhiêu bạn?
A. 35 bạn
B. 34 bạn
C. 32 bạn
B. Tự luận:
Bài 1:
a) Đặt tính rồi tính:
62 + 23 25 + 41 87 – 5 78 – 23
b) Tính: 40 cm + 16 cm = ……….. 19 cm – 9 cm = ………..
Bài 2: Viết các số: 34, 27, 91, 58.
- Theo thứ tự từ bé đến lớn: ………..………..………..………..………..………..………..
- Theo thứ tự từ lớn đến bé: ………..………..………..………..………..………..………..
Bài 3: Viết số thích hợp vào chỗ chấm:

Trong hình vẽ bên có:
a) ……….. hình vuông.
b) ……….. hình tam giác.
Bài 4: Lan có sợi dây dài 72 cm, Lan cắt đi 30 cm. Hỏi sợi dây còn lại bao nhiêu xăng-ti-mét?
Bài giải:
.................................................................................................................................................
.................................................................................................................................................
.................................................................................................................................................
.................................................................................................................................................
Bài 5: Trên sân có 35 con gà và 2 chục con vịt. Hỏi trên sân có tất cả bao nhiêu con gà và vịt?
Bài giải:
.................................................................................................................................................
.................................................................................................................................................
.................................................................................................................................................
.................................................................................................................................................
Bài 6: +, -?
52 ..... 13 = 65 55 ..... 23 = 32
Đáp án Đề thi học kì 2 môn Toán lớp 1
A. Trắc nghiệm
1. Đáp án B
2. Đáp án C
3. Đáp án A
4. Đáp án C
5. Đáp án A
6. Đáp án B
7. Đáp án C
8. Đáp án C
9. Đáp án A
10. Đáp án A
B. Tự luận:
Bài 1: a,
62 + 23 = 85
25 + 41 = 66
87 – 5 = 82
78 – 23 = 55
b) 40 cm + 16 cm = 56 cm
19 cm – 9 cm = 10 cm
Bài 2: Viết các số: 34, 27, 91, 58.
- Theo thứ tự từ bé đến lớn: 27, 34, 58, 91
- Theo thứ tự từ lớn đến bé: 91, 58, 34, 27
Bài 3:
a) 3 hình vuông.
b) 17 hình tam giác.
Bài 4:
Sợ dây còn lại số xăng-ti-mét là:
72 - 30 = 42 (cm)
Đáp số: 42 cm
Bài 5:
Trên sân có tất cả số con gà và vịt là:
35 + 20 = 55 (con)
Đáp số: 55 con
Bài 6:
52 + 13 = 65
55 - 23 = 32
Đề 2
|
Chủ đề |
Mức 1 |
Mức 2 |
Mức 3 |
Mức 4 |
Tổng |
|||||
|
TN |
TL |
TN |
TL |
TN |
TL |
TN |
TL |
|||
|
Số học |
Số câu |
2 |
|
2 |
|
2 |
2 |
|
1 |
9 |
|
Câu số |
1,2 |
|
3,5 |
|
6,7 |
8,9 |
|
10 |
|
|
|
Điểm |
2 |
|
2 |
|
2 |
2 |
|
1 |
9 |
|
|
Yếu tố hình học |
Số câu |
|
|
1 |
|
|
|
|
|
1 |
|
Câu số |
|
|
4 |
|
|
|
|
|
|
|
|
Điểm |
|
|
1 |
|
|
|
|
|
1 |
|
|
Tổng |
Số câu |
2 |
|
3 |
|
2 |
2 |
|
1 |
10 |
|
Điểm |
2 |
|
3 |
|
2 |
2 |
|
1 |
10 |
|
Đề thi học kì 2 môn Toán lớp 1
Khoanh tròn vào chữ cái trước câu trả lời đúng:
Câu 1: (1 điểm) (Mức 1)
a/ Số tròn chục bé nhất là:
A. 80
B. 90
C. 60
D. 10
b/ Số 90 đứng liền sau số nào?
A. 89
B. 98
C. 91
D. 92
Câu 2: (1 điểm) Kết quả đúng của phép tính: 39cm + 50cm =…..? (Mức 1)
A. 79cm
B. 89cm
C. 90cm
D. 69 cm
Câu 3: (1 điểm) Trong mỗi tuần lễ em đi học các ngày: (Mức 2)
A. Thứ bảy, chủ nhật
B. Thứ hai, thứ ba, thứ tư
C. Thứ hai, thứ ba, thứ tư, thứ năm
D. Thứ hai, thứ ba, thứ tư, thứ năm, thứ sáu
Câu 4: (1 điểm) Có…. điểm ở trong hình tròn (Mức 2)

A. 2
B. 3
C. 4
D. 5
Câu 5: (1 điểm) Số thích hợp điền vào ô trống là: 20 + 65 = ... + 20 (Mức 2)
A. 15
B. 25
C. 35
D. 65
Câu 6: (1 điểm) Đúng ghi Đ, sai ghi S vào ô trống: (Mức 3)
a) 66 – 33 = 51
b) 47 – 2 = 45
c) 44 – 22 = 22
d) 8 + 11 = 18
Câu 7: (1 điểm) Nối phép tính với kết quả đúng: (Mức 3)

Câu 8: (1 điểm) Đặt tính rồi tính (Mức 3)
a) 68 – 23
b) 65 + 13
c) 8 + 11
d) 79 - 19
Câu 9: (1 điểm) Giải bài toán (Mức 3)
Cây bưởi nhà Nam có 65 quả, bố đã hái xuống 34 quả để bán. Hỏi trên cây bưởi nhà Nam còn bao nhiêu quả?
Bài giải
…………………………………………………………
…………………………………………………………
…………………………………………………………
…………………………………………………………
Câu 10: ( 1 điểm) Điền số thích hợp vào chỗ chấm (Mức 4)
a/ 98 – … = 45
b/ 35 + … = 99
Đáp án Đề thi học kì 2 môn Toán lớp 1 - đề 2
+ Từ câu 1 đến câu 5 mỗi câu đúng được 1 điểm
|
Câu |
1 |
2 |
3 |
4 |
5 |
|
Ý |
a) D b) A |
B |
D |
B |
D |
Câu 6: (1 điểm) Đúng ghi Đ, sai ghi S vào ô trống:
a) S
b) Đ
c) Đ
d) S
Câu 7: (1 điểm) Nối đúng mỗi phép tính đạt 0,25 điểm

Câu 8: (1 điểm) Mỗi phép tính đúng đạt 0,25 điểm

Câu 9: (1 điểm)
Bài giải
Số quả trên cây bưởi nhà Nam còn là: (0,5 điểm)
65 – 34 = 31 (quả) (0,25 điểm)
Đáp số: 31 quả (0,25 điểm)
Câu 10: (1 điểm) Điền số thích hợp vào chỗ chấm (Mức 4)
a/ 98 – 53 = 45
b/ 35 + 64 = 99.
Đề 3
Câu 1: (1 điểm – M1): Khoanh vào chữ cái trước kết quả đúng:
a) Trong các số: 51, 19, 90, 59 số nào bé nhất
A. 51
B. 19
C. 90
D. 59
b) Trong các số: 10, 30, 50, 99 số tròn chục lớn nhất là.
A. 10
B. 30
C. 50
D. 99
Câu 2: (1 điểm – M1): Khoanh vào chữ cái trước kết quả đúng:
a) Số liền sau của 86 là:
A. 82
B. 85
C. 87
D. 81
b) Số liền trước của 90 là:
A. 79
B. 68
C. 89
D. 84
Câu 3: (1 điểm – M2): Điền số thích hợp vào ô trống:
14 + □ = 68
A. 54
B. 74
C. 44
D. 52
Câu 4: (1 điểm – M2): Tính
a) 15 + 34 – 37 =
b) 38 – 13 + 24 =
Câu 5: (1 điểm – M3): Đặt tính rồi tính:
6 + 53
67- 35
27 + 42
60 - 50
Câu 6: (1 điểm – M1): Khoanh vào chữ cái trước kết quả đúng:
Túi thứ nhất có 15 cái kẹo túi thứ hai có 21 cái kẹo. Hỏi cả hai túi có bao nhiêu cái kẹo.
A. 36 cái kẹo
B. 37 cái kẹo
C. 39 cái kẹo
D. 26 cái kẹo
Câu 7: (1 điểm – M1): Khoanh vào chữ cái trước kết quả đúng
Các số 73, 99, 89, 80 Theo thứ tự từ bé đến lớn
A: 73, 80, 89, 99
B: 99, 89, 80,73
C: 73, 89, 80,99
D: 80, 73, 89, 90
Câu 8: (1 điểm – M2): Khoanh vào chữ cái trước kết quả đúng:
38 – 32 + 32 = ...........
A: 37
B: 38
C: 40
D: 39
Câu 9: (1 điểm – M3):
Hồng vẽ được 50 bông hoa, Mai vẽ hơn Hồng 9 bông hoa. Hỏi Mai vẽ được bao nhiêu bông hoa?
Giải
................................................................................................................................
................................................................................................................................
.................................................................................................................................
..................................................................................................................................
Câu 10: (1 điểm – M4): Khoanh vào chữ cái đặt trước câu trả lời đúng

a) Có mấy hình tam giác.
A. 3
B. 4
C. 6
D. 5
b) Có mấy hình vuông
A. 5
B. 4
C. 6
D. 3
Đáp án Đề thi học kì 2 môn Toán lớp 1 - Đề 3
Câu 1: Khoanh vào chữ cái trước kết quả đúng: M1
a) Ý B b) Ý C (Đúng mỗi ý cho 0,5 điểm)
Câu 2: Khoanh vào chữ cái trước kết quả đúng: M1
a) Ý C b) Ý C (Đúng mỗi ý cho 0,5 điểm)
Câu 3: M2
Ý A (Đúng cho 1 điểm)
Câu 4: Tính M2
a) 15 + 34 - 37 = 49 - 37
= 12
b) 38 - 13 + 24 = 25 +24 (Đúng mỗi ý cho 0,5 điểm)
= 49
Câu 5: Đặt tính rồi tính:
(Đúng mỗi ý cho 0,25 điểm)

Câu 6: Khoanh vào chữ cái trước kết quả đúng: M1
Ý A (Đúng cho 1 điểm)
Câu 7: Khoanh vào chữ cái trước kết quả đúng: M1
Ý A (Đúng cho 1 điểm)
Câu 8: Khoanh vào chữ cái trước kết quả đúng: M2
Ý B (Đúng cho 1 điểm)
Câu 9: M3
Bài giải
Mai vẽ được số bông hoa là (Đúng 0,3 điểm)
50 + 9 = 59 ( bông hoa) (Đúng 0,4 điểm)
Đáp số: 59 bông hoa (Đúng 0,3 điểm)
Câu 10: Khoanh vào chữ cái đặt trước câu trả lời đúng M4
a) Ý C b) Ý A (Đúng mỗi ý cho 0,5 điểm)
2. Đề thi học kì 2 môn Tiếng Việt lớp 1
I. PHẦN ĐỌC THÀNH TIẾNG:
Học sinh bốc thăm rồi đọc thành tiếng và trả lời 1 câu hỏi về nội dung bài đọc (7 điểm)
1. Bàn tay mẹ (Sách TV 1/tập 2-trang 55)
2. Hoa ngọc lan (Sách TV 1/tập 2-trang 64)
3. Đầm sen (Sách TV 1/tập 2-trang 91)
4. Hồ Gươm (Sách TV 1/tập 2-trang 118)
II. PHẦN ĐỌC HIỂU:
Đọc thầm và trả lời câu hỏi (40 phút - 3 điểm)
CÂY BÀNG
Ngay giữa sân trường, sừng sững một cây bàng.
Mùa đông, cây vươn dài những cành khẳng khiu, trụi lá. Xuân sang, cành trên cành dưới chi chít những lộc non mơn mởn. Hè về, những tán lá xanh um che mát một khoảng sân trường. Thu đến, từng chùm quả chín vàng trong kẽ lá.
Theo Hữu Tưởng
- Học sinh đọc thầm bài Cây bàng (sách Tiếng Việt 1 - tập 2- trang 127) chọn và khoanh vào ý đúng nhất trong các câu sau:
Câu 1: Tìm tiếng trong bài có vần oang? (0,5 điểm) M1
.........................
Câu 2: Tìm tiếng ngoài bài có vần oang? (0,5 điểm) M1
.........................
Câu 3: Đoạn văn tả cây bàng được trồng ở đâu? (0,5 điểm) M2
A. Ngay giữa sân trường
B. Trồng ở ngoài đường
C. Trồng ở trong vườn điều
D. Trên cánh đồng
Câu 4: Xuân sang cây bàng thay đổi như thế nào? (0,5 điểm) M2
A. Cây vươn dài những cành khẳng khiu, trụi lá.
B. Cành trên cành dưới chi chít những lộc non mơn mởn.
C. Từng chùm quả chín vàng trong kẽ lá.
D. Lá vàng rụng đầy sân.
Câu 5: Viết câu chứa tiếng có vần oang. (1 điểm) M3
.................................................................................................
III. KIỂM TRA VIẾT: (10 điểm)
1. Chính tả: (7 điểm): Nhìn viết bài "Đi học"
Viết 2 khổ thơ đầu
Hôm qua em tới trường
Mẹ dắt tay từng bước
Hôm nay mẹ lên nương
Một mình em tới lớp
Trường của em be bé
Nằm lặng giữa rừng cây
Cô giáo em tre trẻ
Dạy em hát rất hay.
2. Bài tập: (3 điểm)
Bài 1: Điền vào chỗ trống (1 điểm) (M1)
a) Điền vần: ăn hay ăng?
Bé ngắm tr....... Mẹ mang ch.... ra phơi n.....
b) Điền chữ ng hay ngh?
....ỗng đi trong ....õ ...é .....e mẹ gọi
Câu 2: Nối các từ ở cột A phù hợp với lời giải nghĩa ở cột B: (1 điểm) (M2)

Câu 3: Hằng ngày ai đưa em tới trường? (1 điểm) (M3)
...................................................................................................
Ma trận Đề thi hoc kì 2 môn Tiếng Việt lớp 1

Ma trận câu hỏi đề kiểm tra môn Tiếng Việt
|
CHỦ ĐỀ |
Số câu và số điểm |
Mức 1 |
Mức 2 |
Mức 3 |
Mức 4 |
Tổng |
||||
|
|
|
TN |
TL |
TN |
TL |
TN |
TL |
TN |
TL |
|
|
1. Đọc hiểu văn bản |
Số câu |
2 |
|
2 |
|
|
1 |
|
|
5 |
|
|
Số điểm |
1 |
|
1 |
|
|
1 |
|
|
3 |
|
2. Kiến thức tiếng việt |
Số câu |
1 |
|
2 |
|
|
1 |
|
|
3 |
|
|
Số điểm |
1,5 |
|
1,5 |
|
|
1 |
|
|
3 |
|
3. Tổng |
Số câu |
3 |
|
4 |
|
|
2 |
|
|
9 |
|
|
Số điểm |
1,5 |
|
2 |
|
|
2 |
|
|
6 |
III. Đề thi học kì 2 lớp 1 Tải nhiều
- Đề ôn tập Toán học kì II lớp 1
- Bộ đề thi học kì 2 lớp 1 môn Tiếng Việt Hay chọn lọc
- Bộ đề thi cuối học kì 2 môn Toán lớp 1
- 3 Đề thi học kì 2 môn Tiếng Anh lớp 1 năm 2020 - 2021
- 30 đề thi cuối học kì 2 lớp 1 môn Toán
- 63 đề thi cuối học kì 2 lớp 1 môn Toán năm 2020 - 2021
- 3 Đề thi học kì 2 môn Tiếng Anh lớp 1 năm 2020 - 2021
Ngoài Bộ đề thi học kì 2 lớp 1 theo Thông tư 27 trên, các em học sinh lớp 1 còn có thể tham khảo đề thi học kì 1 lớp 1 hay đề thi học kì 2 lớp 1 mà VnDoc.com đã sưu tầm và chọn lọc. Hy vọng với những tài liệu này, các em học sinh sẽ học tốt môn Toán lớp 1 và môn Tiếng Việt lớp 1, Tiếng Anh lớp 1 hơn.











